Kernelinterpolation ist eine Variante der Lokalen Polynominterpolation erster Ordnung, bei der mithilfe einer Methode ähnlich der bei der Ridge-Regression zur Schätzung der Regressionskoeffizienten verwendeten Methode eine Instabilität in den Berechnungen vermieden wird. Wenn die Schätzung lediglich eine geringe Verzerrung aufweist und weitaus präziser ist als bei einer nicht verzerrenden Schätzmethode, kann sie durchaus die bevorzugte Schätzmethode sein. Einzelheiten zur Ridge-Regression können z. B. bei Hoerl und Kennard (1970) nachgelesen werden.
Ein bei der Lokalen Polynominterpolation entstehender Vorhersagefehler wird in der Annahme geschätzt, dass das Modell richtig ist, d. h. der räumliche Bedingungswert ist überall sehr gering. Gegen diese Annahme wird häufig verstoßen, und der räumliche Bedingungswert hebt Flächen hervor, bei denen die Vorhersagen und die Standardfehler der Vorhersage instabil sind. Beim Kernel-Glättungsmodell wird das Problem mit übermäßig großen Standardfehlern der Vorhersage und fragwürdigen Vorhersagen mit dem Ridge-Parameter gelöst, indem den Gleichungen eine geringfügige Verzerrung hinzugefügt wird. Dadurch wird die Karte des räumlichen Bedingungswertes nicht mehr benötigt. Somit bietet die Kernelinterpolation für den Ausgabe-Oberflächentyp lediglich die Vorhersage und den Standardfehler der Vorhersage. Da mit dem Ridge-Parameter eine Verzerrung hinzufügt wird, um die Vorhersagen zu stabilisieren, sollte dieser so klein wie möglich sein und gleichzeitig die Modellstabilität gewährleisten. Einzelheiten dieses Prozesses finden sich in "Local Polynomials for Data Detrending and Interpolation in the Presence of Barriers", Gribov und Krivoruchko (2010).
Ein weiterer Unterschied zwischen den beiden Modellen besteht darin, dass das Kernelinterpolationsmodell die kürzeste Entfernung zwischen Punkten verwendet, sodass Punkte an den Seiten der angegebenen nicht transparenten (absoluten) Barriere durch eine Reihe von geraden Linien verbunden werden.
Bei der Kernelinterpolation kommen die folgenden radial symmetrischen Kernel zum Einsatz: Exponentiell, Gauß, Quartic, Epanechnikov, Polynomial der 5. Ordnung und Konstante. Die Bandbreite des Kernels wird durch ein Rechteck um die Beobachtungen herum festgelegt.
Der Epanechnikov-Kernel ergibt in der Regel bessere Ergebnisse, wenn Polynome der 1. Ordnung verwendet werden. Je nachdem, welche Daten verwendet werden, legen die Kreuzvalidierungs- und Validierungsdiagnosen jedoch u. U. einen anderen Kernel nahe, Fan und Gijbels (1996).
Die Vorhersagen der Kernelinterpolation mit Barrieren mit absoluten Barrieren (links) und ohne absolute Barrieren (rechts) werden nachfolgend verglichen. Beachten Sie, wie sich die Konturlinien in der Grafik links an den Barrieren abrupt ändern, während die Konturlinien in der Grafik rechts geschmeidig über die die Barrieren fließen.


Modelle, die auf der kürzesten Entfernung zwischen Punkten basieren, werden in hydrologischen und meteorologischen Anwendungen bevorzugt.
Kernelfunktionen
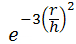
Kernelfunktionen: In allen nachfolgenden Formeln ist r ein auf Punkt s zentrierter Radius, und h ist die Bandbreite.
- Exponential:

- Gauß'sch:

- Quartic:

- Epanechnikov:

- PolynomialOrder5

- Konstante:

Dabei ist I(Ausdruck) eine Indikatorfunktion mit dem Wert 1, wenn der Ausdruck wahr ist, und dem Wert 0, wenn der Ausdruck falsch ist.
Der Bandbreitenparameter gilt für alle Kernelfunktionen mit Ausnahme der Kernelfunktion Konstante. Die Kernelfunktionen Exponentiell, Gauß und Konstante unterstützen darüber hinaus eine geglättete Suchnachbarschaft, um den Bereich des Kernels zu begrenzen.
Referenzliste und weitere Informationen
Fan, J. und Gijbels, I. (1996). Local Polynomial Modelling and Its Applications, Chapman & Hall. London.
Hoerl, A.E. und Kennard, R.W. (1970), Ridge regression: biased estimation for nonorthogonal problems, Technometrics, 12, 55–67.
Yan, Xin. (2009) Linear regression analysis : theory and computing. Veröffentlicht von World Scientific Publishing Co. Pte. Ltd. 5 Toh Tuck Link, Singapur 596224.