Mit der Spatial Analyst-Lizenz verfügbar.
Mit der Image Analyst-Lizenz verfügbar.
Bei einer Zonenstatistikoperation werden für Zellenwerte eines Rasters (das sog. Wert-Raster) in den Zonen, die durch ein anderes Dataset definiert werden, Statistiken berechnet. Es sind zwei Werkzeuge verfügbar, mit denen Statistiken nach Zonen berechnet werden: Zonale Statistiken und Zonale Statistiken als Tabelle.
Das Werkzeug Zonale Statistiken berechnet jeweils nur eine Statistik und erstellt eine Raster-Ausgabe. Der berechnete Wert stellt in der Raster-Ausgabe den Zellenwert der Zellen, die der jeweiligen Zone entsprechen, dar. Enthält ein Zonen-Feature überlappende Zonen, wird die Statistik nur für eine Zone berechnet, da eine Zelle im Ausgabe-Raster nur jeweils einen Wert darstellen kann.
Das Werkzeug Zonale Statistiken als Tabelle berechnet entweder alle Statistiken oder aus einer vordefinierten Teilmenge eine oder mehrere Statistiken und erstellt eine Tabellenausgabe. Wie bei Zonale Statistiken ergibt sich eine Statistik, die einen einzelnen Wert für jede Zone darstellt. Die Ausgabetabelle enthält pro Zone einen Datensatz. Die Statistikwerte werden in vordefinierten Feldern erfasst. Wenn es sich bei der Zoneneingabe um ein Feature handelt, das überlappende Zonen enthält, werden für alle Zonen Statistiken berechnet, und die Ausgabe wird für jede Zone in einzelnen Datensätzen erfasst.
Aus dem Eingabe-Zonen-Layer ergeben sich Form, Werte und Position der Zonen, bei denen es sich um Raster oder Features handeln kann. Im Rahmen der zonalen Operation werden Feature-Daten zunächst in ein Raster konvertiert. Liegen Raster-Daten vor, besteht eine Zone aus allen Zellen, die den gleichen Wert aufweisen, unabhängig davon, ob sie zusammenhängend sind. Jede Zone muss eine eindeutige Identität aufweisen. Handelt es sich um ein Raster, muss eine Zone den Datentyp "Integer" aufweisen. Ein beliebiges Ganzzahl- oder Zeichenfolgenfeld mit Einzelwerten in der Zoneneingabe kann angegeben werden, um die Zonen zu definieren.
Das Eingabewert-Raster enthält die Werte, die beim Berechnen der Ausgabestatistik für jede Zone verwendet werden. Das Raster kann den Datentyp "Integer" oder "Float" aufweisen.
In der folgenden Abbildung wird für jede Zone der Mittelwert der Werteingabe ermittelt.

Ermittlung von Zellen in einem Wert-Raster für eine Raster-Zone
Zur Berechnung einer Statistik extrahiert das Werkzeug zunächst für alle Zellen, die jeweils in einer Zone liegen, die Zellenwerte aus dem Wert-Raster. Die Ermittlung von Zellen in einem Wert-Raster, die innerhalb einer Zone liegen, erfolgt durch die Überlagerung von Zonen im Wert-Raster. Wenn die Zonen- und Werteingaben Raster derselben Zellengröße darstellen und die Zellen aneinander ausgerichtet sind, werden die Zonenwerte des Wert-Rasters, das das Zonen-Raster überlagert, extrahiert und die Statistiken berechnet.

Unterscheidet sich entweder die Zellengröße oder die Ausrichtung des Zonen-Rasters von der des Wert-Rasters, können die Zellen zwischen dem Zonen- und dem Wert-Raster nicht exakt miteinander überlagert werden. Daraufhin wird eines der Raster oder auch beide Raster intern vom Werkzeug angepasst, um eine exakte Überlagerung der Zellen zu erzielen. Die Anpassung erfolgt nach einigen einfachen Regeln. Bei Abweichungen der Zellengröße zwischen Zonen-Raster und Wert-Raster entspricht die Ausgabezellengröße dem Maximum der Eingabedaten. In diesem Fall wird das Wert-Raster intern als Fang-Raster verwendet. Wenn die Zellengröße übereinstimmt, die Zellen jedoch nicht ausgerichtet sind, wird das Wert-Raster intern als Fang-Raster verwendet. In beiden Fällen wird ein internes Resampling ausgelöst, bevor die zonale Operation ausgeführt wird.
Ist Zellengröße, Fang-Raster, Ausgabekoordinatensystem oder eine Kombination dieser Werte in den Einstellungen der Geoverarbeitungsumgebung angegeben, wird die zonale Operation in einem Analysefenster ausgeführt, in dem diese Einstellungen berücksichtigt werden. Weitere Informationen finden Sie unter Bestimmen des Analysefensters in Spatial Analyst.
Ermittlung von Zellen in einem Wert-Raster für eine Feature-Zone
Eine zonale Operation ist im Prinzip eine Raster-Analyse, die für zwei Raster ausgeführt wird. Dabei stellt ein Raster die Zone dar und das andere den Wert. Wenn die Zonen durch Features definiert sind, erfolgt eine interne Konvertierung der Features in Raster. Bei der internen Konvertierung einer Polygonzone wird die Methode "Zellenmittelpunkt" des Werkzeugs Polygon in Raster verwendet, um die Eingabe unter Verwendung der Zellengröße und des Fang-Rasters des Wert-Rasters zu rastern. Dies führt u. U. zu fehlenden Zonen in der Ausgabe, wenn keiner der Zellenmittelpunkte des Rasterungs-Gitternetzes in der Feature-Zone liegen sollte. Dies kann bei Zonen auftreten, die kleiner als die Fläche einer Zelle des internen Zonen-Rasters sind, jedoch auch bei größeren Zonen.
Im nachstehenden Beispiel stellt Abbildung (1) die Eingabe-Feature-Zone, das Eingabe-Werte-Raster und den Zellenmittelpunkt dar. Die Eingabe-Features weisen drei Zonen (gelbe Formen) auf, für die Folgendes gilt:
- zone1 ist größer als eine einzelne Zelle.
- zone2 und zone3 sind kleiner als eine Zelle.
- Ein Zellenmittelpunkt liegt außerhalb von zone2, aber innerhalb von zone3.
Bei der Zonenrasterung in Abbildung (2) wird nur zone3 gerastert, da keine Zellenmittelpunkte in zone1 und zone2 liegen. Die anderen beiden Zonen verschwinden sozusagen.

Um zu vermeiden, dass Zonen aus der Ausgabe verschwinden, müssen Sie sicherstellen, dass jede Zone mindestens einen Zellenmittelpunkt aus dem Wert-Raster enthält. Dazu können Sie weitere Zellenmittelpunkte erstellen, indem Sie in der Umgebung eine kleinere Zellengröße angeben. Standardmäßig entspricht die Zellengröße für die Analyse der Zellengröße des Wert-Rasters. Wenn Sie in der Analyseumgebung jedoch eine Zellengröße angeben, die kleiner als die Zellengröße des Wert-Rasters ist, können wie in Abbildung (3) gezeigt mehr Zonen erfasst werden. Denken Sie jedoch daran, dass die Angabe einer kleineren Zellengröße ein größeres Ausgabe-Raster zur Folge hat. Die Ausgabe in einer höheren Auflösung ergibt nicht zwangsläufig ein qualitativ hochwertiges Ergebnis, da die zusätzlichen Details nicht tatsächlich im Eingabe-Wert-Raster vorhanden sind.
Nachdem eine Feature-Zone mithilfe der Zellengröße und Zellenausrichtung des Wert-Rasters in eine Raster-Zone konvertiert wurde, erfolgt die Extraktion von Zellen aus einem Wert-Raster in einer Zone durch die Überlagerung der Zonen auf dem Wert-Raster.
Ist Zellengröße, Fang-Raster, Ausgabekoordinatensystem oder eine Kombination dieser Werte in den Einstellungen der Geoverarbeitungsumgebung angegeben, wird die zonale Operation zusammen mit der internen Feature-in-Raster-Konvertierung in einem diesen Einstellungen entsprechenden Analysefenster ausgeführt. Weitere Informationen finden Sie unter Bestimmen des Analysefensters in Spatial Analyst.
Berechnen von arithmetischen und zirkulären Statistiken
Bei Daten wie der Höhe kann das Berechnen eines Mittelwerts durch Summieren aller Zellenwerte und anschließendes Dividieren durch die Anzahl der Zellen möglicherweise funktionieren. Wenn es sich bei Ihren Daten jedoch um zyklische Größen wie Ausrichtung (Kompassrichtung von 0 Grad bis 360 Grad in Grad) oder Stunden eines Tages (0 bis 24 Stunden) handelt, führt die Berechnung des arithmetischen Mittelwertes zu einer falschen Ausgabe, da der Minimalwert und der Maximalwert dieselbe Größe darstellen. Für diese Art von Daten sollten Sie zirkuläre Statistiken berechnen.
Wenn Sie z. B. den Mittelwert der zwei Zellenwerten 0 Grad und 360 Grad berechnen, beträgt der arithmetische Mittelwert 180 Grad. Das ist falsch, weil 0 Grad und 360 Grad die gleiche Kompassrichtung darstellen. Die richtige Statistik erhalten Sie, wenn Sie den zirkulären Mittelwert berechnen, der 0 Grad ergibt.
Sie können die Berechnung der zirkulären Statistik festlegen, indem Sie den Parameter Zirkuläre Statistiken berechnen (circular_calculation = "CIRCULAR" in Python) aktivieren. Achten Sie bei der Berechnung der zirkulären Statistik auf den niedrigsten und den höchsten Wert für die Darstellung der zyklischen Daten. Für den niedrigsten Wert wird 0 angenommen. Der höchste Wert kann als Parameter Umbruchwert für Verteilung auf Einheitskreis (circular_wrap_value in Python) angegeben werden. Der Standardwert für diesen Parameter ist 360.
Wählen Sie je nach Typ Ihrer Daten die passende statistische Berechnung und einen geeigneten Umbruchwert für die Verteilung auf den Einheitskreis bei zirkulären Statistiken aus, um die richtige Ausgabe zu erhalten. Es werden die folgenden zirkulären Statistiken unterstützt: Mittelwert, Mehrheit, Minderheit, Standardabweichung und Varianz.
Berechnen von Zonenstatistiken mit multidimensionalen Rastern
Multidimensionale Raster-Daten stellen räumliche Daten dar, die zu mehreren Zeitpunkten und in mehreren Tiefen bzw. Höhen erfasst werden. Dieser Datentyp wird im Allgemeinen in der Atmosphärenforschung, Ozeanografie und Geowissenschaft verwendet. Die Daten werden über Überwachungsplattformen oder Satelliten erfasst oder aus numerischen Simulationsmodellen erstellt. Bei letzter Methode werden die Daten mit verschiedenen statistischen Techniken verarbeitet, aggregiert bzw. interpoliert. Weitere Informationen zu multidimensionalen Rastern finden Sie unter Überblick über multidimensionale Raster-Daten.
Von den Werkzeugen Zonale Statistiken und Zonale Statistiken als Tabelle werden multidimensionale Zonen- und Wert-Raster-Daten als Eingabe unterstützt. Zonenstatistiken werden für alle Ausschnitte eines multidimensionalen Rasters berechnet, wenn der Parameter Als multidimensional verarbeiten aktiviert ist (ALL_SLICES im Parameter process_as_multidimensional in Python). Wenn der Parameter Als multidimensional verarbeiten deaktiviert ist (CURRENT_SLICES in Python), wird nur der aktuelle Ausschnitt verarbeitet.
Nachfolgend finden Sie einige Beispiele zur Zonenstatistikanalyse mit multidimensionalen Daten:
- Ein Meteorologe benötigt Erkenntnisse zur Bewegung eines Hurrikans und der Niederschlagsverteilung entlang der Hurrikan-Spur in einem bestimmten Zeitraum. Anhand der multidimensionalen Verarbeitung durch das Werkzeug Zonale Statistiken kann der Meteorologe für alle Zeitintervalle der Hurrikanzonen, in denen Veränderungen vorlagen, den durchschnittlichen Niederschlag bestimmen.
- Ein Ökologe möchte mithilfe von Daten zur maximalen täglichen Regenmenge in den letzten 30 Jahren die Verteilung von Extremereignissen für ein bestimmtes Flussbecken untersuchen. Wird das Werkzeug Zonale Statistiken als Tabelle mit dem Statistiktyp "Perzentil" für eine Liste mit Perzentilwerten verwendet, kann damit in den Zeitseriendaten die Verteilung der Daten zur maximalen täglichen Regenmenge im Rahmen der multidimensionalen Verarbeitung untersucht werden.
Zu den unterstützten Typen von multidimensionalen Raster-Daten zählen multidimensionale Raster-Layer, multidimensionale Mosaike, Image-Services und das Cloud Raster Format (CRF) von Esri.
Um einen multidimensionalen Raster-Layer in ArcGIS Pro hinzuzufügen, klicken Sie auf der Registerkarte Karte in der Gruppe Layer unter Daten hinzufügen auf die Option Multidimensionaler Raster-Layer. Alternativ können Sie das Werkzeug Multidimensionalen Raster-Layer erstellen verwenden. Wählen Sie die entsprechende Variable für die zonale Operation aus, und erstellen Sie einen multidimensionalen Raster-Layer.
Multidimensionale Ausgabe von "Zonale Statistiken"
Wenn Sie angeben, dass die Eingabe vom Werkzeug Zonale Statistiken als multidimensional verarbeitet werden soll, wird vom Werkzeug eine multidimensionale Raster-Ausgabe erstellt. Die zonale Operation erfolgt Ausschnitt für Ausschnitt zwischen den Ausschnitten des Zonen-Rasters und den Ausschnitten der aktuellen Variable des Wert-Rasters. Die berechneten Statistikwerte werden in einer multidimensionalen Variable gespeichert. Deren Name ist eine Kombination aus dem Variablennamen des Wert-Rasters und der berechneten Statistik. Die Anzahl an Dimensionen in der Ausgabevariable und die Anzahl an Ausschnitten sind abhängig von den Zonen- und Wert-Raster-Eingaben.
Sie können die multidimensionalen Daten der Raster-Ausgabe im Eigenschaftenbereich analysieren.
In ArcPy können Sie ebenfalls über die Eigenschaft mdinfo des Objekts Raster weitere Informationen zu den Dimensionen, der Anzahl an Dimensionswerten und der Gesamtanzahl an Ausschnitten in der Variable erhalten.
Wenn Sie für das Werkzeug Zonale Statistiken als Tabelle angeben, dass die Daten als multidimensional verarbeitet werden sollen, wird eine flache Tabellenausgabe mit den für alle Zonen und Ausschnitte berechneten Statistiken erstellt. In dieser Tabelle sind zusätzliche Felder enthalten, in denen der Variablenname, die Dimensionsnamen und deren Werte sowie die für jede Zone berechneten Statistiken angegeben sind.
Da die multidimensionale Verarbeitung Ausschnitt für Ausschnitt zwischen Zonen- und Wert-Raster erfolgt, hängen die Anzahl der Ausschnitte im multidimensionalen Ausgabe-Raster des Werkzeugs Zonale Statistiken und die Anzahl der Datensätze in der Ausgabetabelle des Werkzeugs Zonale Statistiken als Tabelle vom Typ der Eingabe-Raster und deren Anzahl an Ausschnitten ab. In den folgenden Unterabschnitten sind Beispiele beschrieben.
Multidimensionale Zonen- und Wert-Raster mit den gleichen Dimensionen
Für die Bestimmung des maximalen Salzgehalts in unterschiedlichen Meerestiefen und im jeweiligen Temperaturbereich ist es erforderlich, Zonenstatistiken aus einer multidimensionalen Zone, die die Temperaturzonen darstellt, und einem multidimensionalen Wert-Raster zum Salzgehalt zu erstellen. Die zonale Operation wird für jeden Zonenausschnitt mit dem entsprechenden Ausschnitt aus dem Wert-Raster ausgeführt. Das multidimensionale Ausgabe-Raster weist dieselbe Anzahl an Ausschnitten wie das Wert-Raster auf.
In der folgenden Abbildung weisen die Variablen im Zonen- und im Wert-Raster dieselben drei Dimensionen (X, Y und D) sowie dieselbe Anzahl an Ausschnitten bei den Dimensionswerten d0, d1 und d2 auf. Die Variable im multidimensionalen Ausgabe-Raster wird ebenfalls über die drei Dimensionen X, Y und D sowie die gleiche Anzahl an Ausschnitten bei den Dimensionswerten d0, d1 und d2 verfügen.

Um die Gesamtzahl der Datensätze in der Ausgabe von Zonale Statistiken als Tabelle zu bestimmen, wird die Zonenanzahl der einzelnen Ausschnitte addiert. Liegen in den Tiefen d0, d1 und d2 jeweils 5, 4 und 3 Zonen vor, ergibt sich eine Gesamtanzahl von 12 Datensätzen (5 + 4 + 3 = 12).
Multidimensionale Zonen- und Wert-Raster mit unterschiedlichen Dimensionen
Ein geeignetes Positions-Zeit-Fenster für die Bereitstellung von Assets wie ferngesteuerten Fahrzeugen kann mit Zonenstatistiken aus einer multidimensionalen Zone, die potenzielle Positionen für ferngesteuerte Fahrzeuge zu unterschiedlichen Zeiten darstellt, und einem multidimensionalen Wert-Raster wie der Ausgabe des HYCOM-Modells (Hybrid Coordinate Ocean Model), das die Ozeanströmung bei unterschiedlichen Tiefen und zu verschiedenen Zeiten darstellt, ermittelt werden.
Die zonale Operation wird für jeden Ausschnitt des Zonen-Rasters mit jedem Ausschnitt des Wert-Rasters ausgeführt. Die Anzahl der Ausschnitte im multidimensionalen Ausgabe-Raster wird durch Multiplikation der Anzahl der Ausschnitte im Zonen-Raster mit der Anzahl der Ausschnitte im Wert-Raster bestimmt.
In der folgenden Abbildung weist die Variable im Zonen-Raster drei Dimensionen (X, Y und D) sowie drei Ausschnitte bei den Dimensionswerten d0, d1 und d2 auf. Die Variable im Wert-Raster weist drei Dimensionen (X, Y und T) sowie drei Ausschnitte bei den Dimensionswerten t0 und t1 auf. Die Variable im multidimensionalen Ausgabe-Raster weist ebenfalls vier Dimensionen (X, Y, D und T) auf.

Die Gesamtanzahl der Ausschnitte in der Ausgabe des Werkzeugs Zonale Statistiken ergibt sich durch Multiplikation der Anzahl der Tiefen im Zonen-Raster mit der Anzahl der Zeitschritte im Wert-Raster. In diesem Fall sind dies 6 (3 Tiefen x 2 Zeiten = 6). Um die Gesamtzahl der Datensätze in der Ausgabe von Zonale Statistiken als Tabelle zu bestimmen, wird die Zonenanzahl der einzelnen Ausschnitte multipliziert. Liegen 5 Zonen vor, ergibt sich in diesem Fall eine Gesamtanzahl von 30 Datensätzen (5 Zonen x 3 Tiefen x 2 Zeiten = 30).
Nur ein multidimensionales Wert-Raster
Um die maximale Temperatur in jedem County für jeden Tag des Jahres zu bestimmen, müssen Zonenstatistiken aus einem multidimensionalen Wert-Raster mit Tagestemperaturen und einem Zonen-Raster mit Countys erstellt werden. Die zonale Operation wird für jeden Ausschnitt des Wert-Rasters mit demselben Zonen-Raster ausgeführt. Das multidimensionale Ausgabe-Raster weist dieselbe Anzahl an Ausschnitten wie das Wert-Raster auf.
In der folgenden Abbildung weisen die Variablen im Wert-Raster drei Dimensionen (X, Y und T) sowie drei Ausschnitte bei den Dimensionswerten t0, t1 und t2 auf. Die Variable im multidimensionalen Ausgabe-Raster wird ebenfalls über die drei Dimensionen X, Y und T sowie die gleiche Anzahl an Ausschnitten bei den Dimensionswerten t0, t1 und t2 verfügen.

Um die Gesamtzahl der Datensätze in der Ausgabe von Zonale Statistiken als Tabelle zu bestimmen, wird die Anzahl der Zonen mit der Anzahl der Ausschnitte im Wert-Raster multipliziert. Liegen 5 Zonen vor, ergibt sich eine Gesamtanzahl von 15 Datensätzen (5 x 3 = 15).
Nur ein multidimensionales Zonen-Raster
Um den Mittelwert der maximalen Niederschlagsmenge in einem Zehnjahreszeitraum für jede zeitabhängige Zonenkategorie eines Überschwemmungsgebiets, in dem es im Laufe der Zeit aufgrund ökologischer Landschaftsplanung zu Veränderungen kommt, zu bestimmen, müssen Zonenstatistiken aus einem multidimensionalen Zonen-Raster, das die Überschwemmungsgebietszonen darstellt, und einem Wert-Raster für die maximale Niederschlagsmenge im Zehnjahreszeitraum erstellt werden. Die zonale Operation wird für jeden Ausschnitt des Zonen-Rasters mit demselben Wert-Raster ausgeführt. Das multidimensionale Ausgabe-Raster weist dieselbe Anzahl an Ausschnitten wie das Zonen-Raster auf.
In der folgenden Abbildung weisen die Variablen im Zonen-Raster drei Dimensionen (X, Y und T) sowie drei Ausschnitte bei den Dimensionswerten t0, t1 und t2 auf. Die Variable im multidimensionalen Ausgabe-Raster wird ebenfalls über die drei Dimensionen X, Y und T sowie die gleiche Anzahl an Ausschnitten bei den Dimensionswerten t0, t1 und t2 verfügen.

Um die Gesamtzahl der Datensätze in der Ausgabe von Zonale Statistiken als Tabelle zu bestimmen, wird die Anzahl der Zonen mit der Anzahl der Ausschnitte im Zonen-Raster multipliziert. Liegen 5 Zonen vor, ergibt sich eine Gesamtanzahl von 15 Datensätzen (5 x 3 = 15).
Statistiken
Nachfolgend sind die verfügbaren Statistiktypen für die Berechnung von Zonenstatistiken aufgeführt. Sie finden ebenfalls zusätzliche Informationen und eine Abbildung mit den Ergebnissen der einzelnen Optionen für eine Beispieleingabe.
Mehrheit
- Allen Zellen in dieser Zone wird der am häufigsten auftretende Wert in jeder Zone zugewiesen.
- Wenn es einen Gleichstand beim häufigsten Wert in einer Zone gibt, wird der Ausgabe für alle Zellenpositionen in der Zone der niedrigste dieser Werte zugewiesen.
Beispiel:
Maximum
- Allen Zellen in dieser Zone wird der höchste auftretende Wert in jeder Zone zugewiesen.
Beispiel: 
Mittelwert
- Allen Zellen in dieser Zone wird der Mittelwert der Werte in jeder Zone zugewiesen.
- Die Formel zur Berechnung des arithmetischen Mittelwertes lautet wie folgt:

Dabei gilt:
- x̄ = Mittelwert
- xi = beobachtete Werte
- N = Anzahl der Beobachtungen
- Die Formel zur Berechnung des zirkulären Mittelwertes lautet wie folgt:

Dabei gilt:
- x̄ = zirkulärer Mittelwert
- xi = beobachtete Werte
- N = Anzahl der Beobachtungen
Falls sowohl Σsin xi als auch Σcos xi gleich Null sind, wird der Sonderwert -1 verwendet, womit der Hinweis geliefert wird, dass der zirkuläre Mittelwert nicht optimal definiert ist.
Beispiel:
Medianwert
- Allen Zellen in dieser Zone wird der Medianwert in jeder Zone zugewiesen.
- Die Werte des Statistiktyps werden mit der Methode Q1 von Hyndman und Fan (1996) berechnet. Liegen zwei sortierte Werte in derselben Entfernung vom Zielmedianwert, wird der kleinere der beiden Werte ausgewählt.
- Um den Medianwert zu berechnen, werden alle Zellen in einer Zone geordnet. Wenn es n-Zellen in der Zone gibt und n ungerade ist, wird der mittlere Wert ((n+1)/2) in jede Zelle in der Zone geschrieben. Wenn es eine gerade Anzahl von Zellen gibt, wird der Wert (n/2) ausgegeben.
Beispiel:
Minimum
- Allen Zellen in dieser Zone wird der niedrigste auftretende Wert in jeder Zone zugewiesen.
Beispiel:
Minderheit
- Allen Zellen in dieser Zone wird der am seltensten auftretende Wert in jeder Zone zugewiesen.
- Wenn es einen Gleichstand beim seltensten Wert in einer Zone gibt, wird der Ausgabe für alle Zellenpositionen in der Zone der niedrigste dieser Werte zugewiesen.
Beispiel:
Perzentil
- Allen Zellen in dieser Zone wird der Perzentilwert in jeder Zone zugewiesen.
- Der Wert des Statistiktyps wird mit der Methode Q1 von Hyndman und Fan (1996) berechnet. Liegen zwei sortierte Werte in derselben Entfernung vom Zielmedianwert, wird der kleinere der beiden Werte ausgewählt.
- Zur Berechnung des Perzentils wird die Rangfolge aller Zellen in einem Wert-Raster mit der folgenden Formel bestimmt: R = P/100 x (n - 1) +1, wobei P für das gewünschte Perzentil und n für die Anzahl der Zellen steht.
Beispiel:
Bereich
- Allen Zellen in dieser Zone wird der Unterschied zwischen dem Maximum und den Minimalwerten in jeder Zone zugewiesen.
- Der Bereich wird wie folgt definiert:
Zonaler Bereich = Zonenmaximum - Zonenminimum
Beispiel:
Standardabweichung
- Allen Zellen in dieser Zone wird die Standard-Abweichung in jeder Zone zugewiesen.
- Für die arithmetische Standard-Abweichung gilt die folgende Formel:

Dabei gilt:
- σ = Standardabweichung
- xi = beobachtete Werte
- x̄ = Mittelwert
- N = Anzahl der Beobachtungen
Hinweis:
Die Standardabweichung wird für die gesamte Bevölkerung berechnet (die N-Methode) und nicht auf Grundlage einer Auswahl geschätzt (die N-1-Methode). Zum Vergleich entspricht die Berechnung der Standardabweichung dem STDEVP, nicht STDEV, Methode in Microsoft Excel.
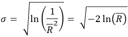
- Für die kreisförmige Standard-Abweichung gilt die folgende Formel:

Dabei gilt:
- σ = Zirkuläre Standardabweichung
- R̄ = Mittlere resultierende Länge des

In einer Stichprobe von n Winkeln in Grad werden die Winkel a1, a2, …, an zusammengefasst, und jeder Winkel wird durch einen Einheitsvektor,
dargestellt, der in die Richtung der entsprechenden Beobachtung zeigt.
Beispiel:
Summe
- Allen Zellen in dieser Zone wird die Summe aller Zellenwerte in dieser Zone zugewiesen.
- Der Datentyp des Ausgabe-Rasters ist Floating Point. Der Grund dafür ist, dass die Summe häufig sehr groß ist, und es eventuell mit einem Ganzzahlwert nicht möglich ist, diese darzustellen.
Betrachten Sie, z. B. eine Zone, die 2.500 Zeilen und Spalten mit Zellen enthält, und der Wert jeder Zelle beträgt 1.000. Die Summe für diese Zone wäre 2.500 X 2.500 X 1.000 = 6,25 Milliarden. Wenn eine Ganzzahlausgabe erforderlich ist und der Bereich innerhalb von ± 2,147 Milliarden ist, können Sie das Werkzeug Int anwenden.
Beispiel:
Varianz
- Allen Zellen in dieser Zone wird die Anzahl der Einzelwerte in dieser Zone zugewiesen.
Beispiel:
Ausgabedatentyp
Der Ausgabe-Datentyp (Integer oder Float) ergibt sich aus der durchgeführten zonalen Berechnung sowie dem Raster-Typ für die Eingabewerte. In der folgenden Tabelle werden die erwarteten Datentypen des Ausgabe-Rasters identifiziert:
| Statistiken | Werteingabetyp | Ausgabe |
|---|---|---|
Mehrheit | Integer* | Integer |
Maximum | Integer, Float | Gleich dem Wert |
Mittelwert | Integer, Float | Float |
Medianwert | Integer, Float | Integer |
Minimum | Integer, Float | Gleich dem Wert |
Minderheit | Integer* | Integer |
Perzentil | Integer, Float | Integer |
Bereich | Integer, Float | Gleich dem Wert |
Standardabweichung | Integer, Float | Float |
Summe | Integer, Float | Float |
Varianz | Integer* | Integer |
Hinweis:
* Nur ganze Zahl wird unterstützt.
Wenn irgendeine Zellenposition im Zonen-Dataset einen NoData-Wert aufweist, wird dieser Position in der Ausgabe "NoData" zugewiesen.
Referenzen
Rob J. Hyndman und Yanan Fan (1996) "Sample Quantiles in Statistical Packages" The American Statistician, Vol. 50, No. 4 (Nov., 1996): S. 361-365.