Mit der Geostatistical Analyst-Lizenz verfügbar.
Beim Indicator Kriging wird vom folgenden Modell ausgegangen:
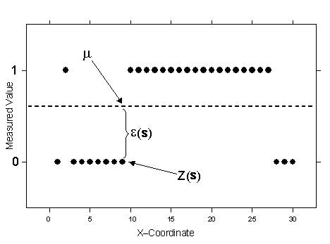
I(s) = µ + ε(s)
Dabei ist µ eine unbekannte Konstante und I(s) eine binäre Variable. Für die Erstellung der binären Daten kann ein Schwellenwert für kontinuierliche Daten verwendet werden. Es kann auch sein, dass die beobachteten Daten 0 oder 1 entsprechen. So kann beispielsweise eine Stichprobe aus Informationen dazu bestehen, ob es sich bei einem Punkt um einen Wald oder nicht um einen Wald als Lebensraum handelt. Dabei gibt die binäre Variable die Klassenzugehörigkeit an. Mithilfe von binären Variablen verläuft Indicator Kriging genau wie Ordinary Kriging.
In der folgenden Abbildung wurden die Daten mit dem in Schwellenwerte gezeigten Schwellenwert in binäre Werte konvertiert.

Die beobachteten binären Daten werden mit den offenen Quadraten dargestellt. Der unbekannte Mittelwert µ für alle Indikatorvariablen wird mit der gestrichelten Linie angezeigt. Dies ist mit Ordinary Kriging vergleichbar. Wie beim Kriging mit der Option "Ordinary" nehmen Sie an, dass ε(s) autokorreliert ist. Da die Indikatorvariablen 0 oder 1 lauten, ergeben sich Interpolationen zwischen 0 und 1, und Vorhersagen aus dem Indicator Kriging können interpretiert werden als Wahrscheinlichkeiten, dass die Variable 1 entspricht oder der mit 1 angegebenen Klasse angehört. Wenn zum Erstellen der Indikatorvariablen ein Schwellenwert verwendet wurde, werden in der resultierenden Interpolationskarte die Wahrscheinlichkeiten der Überschreitung (oder Unterschreitung) des Schwellenwertes angezeigt.
Sie können mehrere Indikatorvariablen für das gleiche Dataset erstellen, indem Sie mehrere Schwellenwerte auswählen. In diesem Fall wird durch einen Schwellenwert die primäre Indikatorvariable erstellt, und die anderen Indikatorvariablen werden als sekundäre Variablen für CoKriging verwendet.
Für Indicator Kriging können Semivariogramme oder Kovarianzen verwendet werden. Dies sind die mathematischen Ausdrucksformen für Autokorrelation.