| Beschriftung | Erläuterung | Datentyp |
Geostatistischer Eingabe-Layer | Der geostatistische Layer, der analysiert werden soll. | Geostatistical Layer |
Ausgabe-Point-Feature-Class (optional) | Speichert die Statistiken zur Kreuzvalidierung an jeder Position im geostatistischen Layer. | Feature Class |
Abgeleitete Ausgabe
| Beschriftung | Erläuterung | Datentyp |
| Anzahl | Gesamtzahl der verwendeten Stichproben. | Long |
| Mean Error | Mean Error: Die gemittelte Differenz zwischen den gemessenen und den vorhergesagten Werten. | Double |
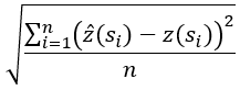
| Root Mean Square | Root Mean Square Error: Gibt an, wie gut Ihr Modell die gemessenen Werte vorhersagt. | Double |
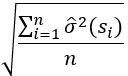
| Average Standard | Average Standard Error: Der Durchschnitt der Standardfehler der Vorhersage. | Double |
| Mean Standardized | Mean Standardized Error: Der Durchschnitt der standardisierten Fehler. | Double |
| Root Mean Square Standardized | Root Mean Square Standardized Error. Dieser Wert sollte nahe 1 sein, wenn die Standardfehler der Vorhersage gültig sind. | Double |
| Prozent im 90-%-Intervall | Prozent im 90-%-Intervall: Der Prozentsatz der Punkte, die in einem 90-prozentigen Konfidenzintervall der Kreuzvalidierung liegen. Dieser Wert sollte ungefähr 90 betragen. | Double |
| Prozent im 95-%-Intervall | Prozent im 95-%-Intervall: Der Prozentsatz der Punkte, die in einem 95-prozentigen Konfidenzintervall der Kreuzvalidierung liegen. Dieser Wert sollte ungefähr 95 betragen. | Double |
| Average CRPS | Average CRPS: Der durchschnittliche Continuous Ranked Probability Score (CRPS) aller Punkte. Der CRPS ist ein Diagnoseinstrument, das die Abweichung von der prädiktiven kumulativen Verteilungsfunktion zu jedem beobachteten Datenwert misst. Dieser Wert sollte so klein wie möglich sein. Dieses Diagnoseinstrument hat Vorteile gegenüber anderen Diagnoseinstrumenten für Kreuzvalidierungen, da es die Daten mit einer vollständigen Verteilung anstatt mit Einzelpunktvorhersagen vergleicht. Die Berechnung dieser Statistik beinhaltet Simulationen und kann daher nicht in einer einfachen Formel ausgedrückt werden. | Double |




