Durch das Messen der Kompaktheit einer Verteilung kann ein Einzelwert ermittelt werden, der die Verteilung von Features um den Mittelpunkt darstellt. Da der Wert eine Entfernung ist, kann die Kompaktheit eines Satzes an Features auf einer Karte dargestellt werden, indem ein Kreis oder eine Kugel mit einem Radius gezeichnet wird, der dem Standardentfernungswert entspricht. Mit dem Werkzeug Standardentfernung wird ein Kreispolygon oder eine Multipatch-Kugel erstellt, wenn die Daten Z-aktiviert sind.
Berechnungen
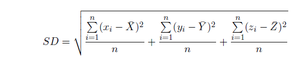
Die Standardentfernung wird folgendermaßen angegeben:

Wobei x i , y i und z i die Koordinaten für das Feature i bilden, {x̄, ȳ, z̄} den arithmetischen Mittelwert der Features darstellen und n der Gesamtzahl der Features entspricht.
Die gewichtete Standardentfernung erstreckt sich auf Folgendes:

Wobei "wi " die Gewichtung des Features i und {x w, y w, z w} den gewichteten arithmetischen Mittelpunkt darstellt.
Ausgabe
Für zweidimensionale Daten erstellt das Werkzeug Standardentfernung eine neue Feature-Class, die ein Kreispolygon enthält, das auf den arithmetischen Mittelpunkt zentriert ist (ein Mittelpunkt und ein Kreis pro Fall, wenn ein Untersuchungsfeld angegeben ist). Jedes Kreispolygon wird mit einem Radius gezeichnet, der dem Standardentfernungswert entspricht. Attributwerte für jedes Kreispolygon sind die X-Koordinate des Kreismittelpunktes, die Y-Koordinate des Mittelpunkts und die Standardentfernung (Kreisradius).
Für dreidimensionale Daten erstellt das Werkzeug Standardentfernung eine neue Feature-Class, die eine Multipatch-Kugel enthält, die auf den arithmetischen Mittelpunkt zentriert ist (ein Mittelpunkt und eine Kugel pro Fall, wenn ein Untersuchungsfeld angegeben ist). Jede Multipatch-Kugel wird mit einem Radius gezeichnet, der dem Standardentfernungswert entspricht. Attributwerte für jede Multipatch-Kugel sind die X-Koordinate des arithmetischen Mittelpunkts, die Y-Koordinate des arithmetischen Mittelpunkts, die Z-Koordinate des arithmetischen Mittelpunkts, die Kugelfläche, das Volumen der Kugel und die Standardentfernung (Kugelradius).

Potenzielle Anwendungsbereiche
- Sie können die Werte für mindestens zwei Verteilungen verwenden, um sie zu vergleichen. Bei einer Kriminalitätsanalyse kann beispielsweise die Kompaktheit von Anschlägen und Autodiebstählen verglichen werden. Die Kenntnis der Verteilung von verschiedenen Verbrechensarten kann die Polizei bei der Entwicklung von Strategien zur Verbrechensbekämpfung unterstützen. Wenn die Verteilung von Verbrechen in einem bestimmten Bereich kompakt ist, kann die Stationierung eines einzelnen Fahrzeugs im Mittelpunkt des Bereichs ausreichend sein. Bei einer weit gestreuten Verteilung kann durch den Einsatz mehrerer patroullierender Einsatzfahrzeuge in diesem Bereich möglicherweise effektiver auf Verbrechen reagiert werden.
- Sie können den gleichen Feature-Typ auch über verschiedene Zeiträume vergleichen – bei einer Kriminalitätsanalyse können beispielsweise Einbrüche bei Tag und bei Nacht verglichen werden, um zu ermitteln, ob Einbrüche am Tag gestreuter oder kompakter auftreten als in der Nacht.
- Sie haben außerdem die Möglichkeit, die Verteilungen von Features mit stationären Features zu vergleichen. Sie können beispielsweise für jede Feuerwache in einer Region die Verteilung von Notrufen über mehrere Monate messen und sie vergleichen, um zu sehen, welche Feuerwachen ein größeres Gebiet abdecken.
Zusätzliche Quellen
Mitchell, Andy. The ESRI Guide to GIS Analysis, Volume 2. Esri Press, 2005.