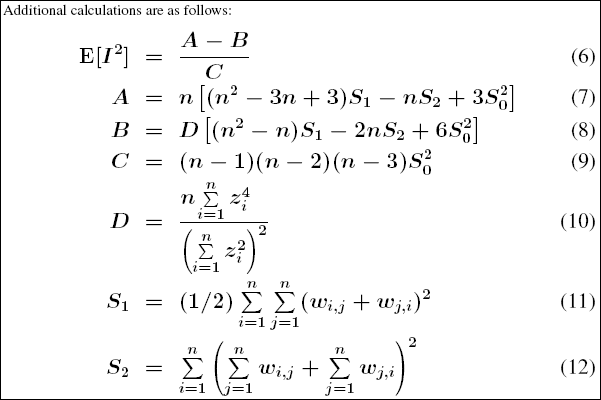
Global Moran's I Additional Math

Additional mathematics for the Global Moran's I statistic