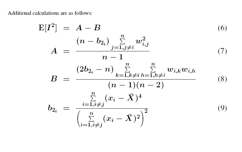
Local Moran's I Additional Math

Additional mathematics for the Local Moran's I statistic