| Label | Explanation | Data Type |
Input Table | The table containing the field with the values that will be standardized. | Table View; Raster Layer; Mosaic Layer |
Field to Standardize
| The fields containing the values that will be standardized. For each field, an output field name can be specified. If no output field name is provided, the tool will create an output field name using the field name and selected method. | Value Table |
Standardization Method
(Optional) | Specifies the method that will be used to standardize the values contained in the specified fields.
| String |
Minimum Value
(Optional) | The value that will be used by the Minimum-maximum method of the Standardization Method parameter to specify the minimum value in the scale of the provided output values. | Double |
Maximum Value
(Optional) | The value that will be used by the Minimum-maximum method of the Standardization Method parameter to specify the maximum value in the scale of the provided output values. | Double |
Derived Output
| Label | Explanation | Data Type |
| Updated Input Table | The table that contains the new encoded fields. | Table View |

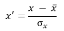
, where x' is the standardized value, x is the original value, x̄ is the mean (average), and σx is the standard deviation.
, where x' is the standardized value, x is the original value, min(x) is the minimum of the data, max(x) is the maximum of the data, a is the user-specified minimum, and b is the user-specified maximum.
, where x' is the standardized value, x is the original value, and max(|x|) is the maximum of the absolute values of the data.
, where x' is the standardized value, x is the original value, median(x) is the median of the data, and IQR(x) is the interquartile range of the data.