A common way of measuring the trend for a set of points or areas is to calculate the standard distance separately in the x-, y- and z-dimensions. These measures define the axes of an ellipse (or ellipsoid) encompassing the distribution of features. The ellipse is referred to as the standard deviational ellipse, since the method calculates the standard deviation of the x-coordinates and y-coordinates from the mean center to define the axes of the ellipse. In 3D, the standard deviation of the z-coordinates from the mean center are also calculated and the result is referred to as a standard deviational ellipsoid. The ellipse or ellipsoid allows you to see whether the distribution of features is elongated and hence has a particular orientation.
While you can get a sense of the orientation by drawing the features on a map, calculating the standard deviational ellipse makes the trend clear. You can calculate the standard deviational ellipse using either the locations of the features or the locations influenced by an attribute value associated with the features. The latter is termed a weighted standard deviational ellipse.
Calculations
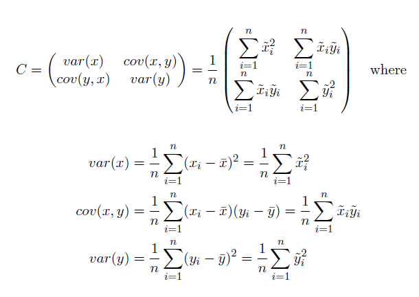
The standard deviational ellipse is calculated with the following formulas:

Where x and y are the coordinates for feature i, {x̄, ȳ} represent the Mean Center for the features and n is equal to the total number of features.
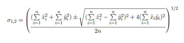
The sample covariance matrix is factored into a standard form which results in the matrix being represented by its eigenvalues and eigenvectors. The standard deviations for the x- and y-axis are then:

These equations can be extended to solutions for three-dimensional data.
Output and interpretation
Standard deviations help you understand the dispersion or spread of your data. When working with normally distributed data in one dimension, 68 percent, 95 percent, and 99.7 percent of the data values will fall within one, two, and three standard deviations, respectively. However, when working with higher-dimensional spatial data (x, y, and z variables), these percentages are not correct. For example, with normally distributed data in two dimensions, one standard deviational ellipse will cover approximately 63 percent of the features, two standard deviations will contain approximately 98 percent of the features, and three standard deviations will cover approximately 99.9 percent of the features. Similarly, for three dimensions, the percentages are 61, 99, and 100.
For this reason, the standard deviations are scaled by an adjustment factor to produce an ellipse or ellipsoid that contains 68, 95, and 99 percent of the features for 2D and 3D data (assuming the data follows a spatial normal distribution). These adjustment factors for the variances (the squares of the standard deviations) are provided in the following table:
| 1-dimensional data | 2-dimensional data | 3-dimensional data | |
|---|---|---|---|
1 standard deviation | 1.00 | 1.41 | 1.73 |
2 standard deviations | 2.00 | 2.83 | 3.46 |
3 standard deviations | 3.00 | 4.24 | 5.20 |
For two-dimensional data, the Directional Distribution (Standard Deviational Ellipse) tool creates a new feature class containing an elliptical polygon centered on the mean center for all features (or for all cases when a value is specified for the Case Field parameter). The attribute values for these output ellipse polygons include two standard distances (long and short axes), the orientation of the ellipse, and the case field, if specified. The orientation represents the rotation of the long axis measured clockwise from noon. You can also specify the number of standard deviations to represent (1, 2, or 3) to cover different percentages of the features.
For three-dimensional point data (your data is z enabled and contains 3D attribute information such as elevation), this tool creates a new feature class containing an ellipsoid multipatch centered on the mean center for all features (or for all cases when using a case field). The attribute values for these output ellipsoids include three standard distances (long, short, and height axes); information regarding the angle, tilt, and roll of the ellipsoid; and the case field, if specified. The values for the angle, tilt, and roll of the ellipsoid describe the orientation of the ellipsoid in 3D space. You can also specify the number of standard deviations to represent (1, 2, or 3) to cover different percentages of the features.

Potential applications
- Mapping the distributional trend for a set of crimes might identify a relationship to particular physical features (a string of bars or restaurants, a particular boulevard, and so on).
- Mapping groundwater well samples for a particular contaminant might indicate how the toxin is spreading and, consequently, may be useful in deploying mitigation strategies.
- Comparing the size, shape, and overlap of ellipses for various racial or ethnic groups may provide insights regarding racial or ethnic segregation.
- Plotting ellipses for a disease outbreak over time may be used to model its spread.
- Examining the distribution of elevations for storms of a certain category would be a useful factor to consider when investigating the relationship between atmospheric conditions and aircraft accidents.
Additional resources
Chew, Victor. "Confidence, prediction, and tolerance regions for the multivariate normal distribution." Journal of the American Statistical Association. 61.315 (1966): 605-617. https://doi.org/10.1080/01621459.1966.10480892.
Fisher, N. I., T. Lewis, and B. J. J. Embleton. 1987. "Statistical Analysis of Spherical Data". First edition. Cambridge: Cambridge University Press. Cambridge Books Online. Web. 26 April 2016. https://doi.org/10.1017/CBO9780511623059.
Levine, Ned. "CrimeStat III: a spatial statistics program for the analysis of crime incident locations (version 3.0)." Houston (TX): Ned Levine & Associates/Washington, DC: National Institute of Justice (2004). https://doi.org/10.3886/ICPSR02824.v1.
Wang, Bin, Wenzhong Shi, and Zelang Miao. 2015. "Confidence Analysis of Standard Deviational Ellipse and Its Extension into Higher Dimensional Euclidean Space". PLoS ONE. 10(3), e0118537. https://doi.org/10.1371/journal.pone.0118537.