Disponible con una licencia de Spatial Analyst.
La herramienta Densidad de kernel espaciotemporal amplía los cálculos de densidad kernel a partir del análisis de la posición relativa y la magnitud de las entidades de entrada para incluir otras dimensiones como el tiempo y la profundidad (elevación). El resultado identifica el área de magnitud por unidad utilizando múltiples funciones kernel para ajustar una superficie suavemente cónica a cada punto de entrada.
Comparación con otras herramientas de densidad
El análisis de densidad es clave para una serie de análisis espaciales y análisis geoestadísticos. Los ejemplos incluyen lo siguiente:
- Estudios demográficos
- Investigaciones sobre concentración, exposición y resiliencia
- Elaboración de políticas para ayudar a determinar la necesidad de servicios específicos en cualquier ubicación o comunidad específica, como instalaciones de atención sanitaria, servicios de emergencia, infraestructura y redes de carreteras
Hay otras herramientas disponibles para calcular la densidad, como Densidad kernel, Densidad de puntos y Densidad de líneas. Estas herramientas calculan la densidad de entidades (puntos o líneas) en una vecindad alrededor de entidades. Sin embargo, no consideran otras dimensiones.
La herramienta Densidad de kernel espaciotemporal analiza la densidad de los eventos o incidentes que ocurren tanto en el espacio como en el tiempo, además de poder tener en cuenta la elevación. Al incorporar la elevación y el tiempo en la ecuación, la herramienta amplía la comprensión de las distribuciones, patrones y tendencias espaciales y temporales del fenómeno bajo consideración.
Beneficios clave de Densidad de kernel espaciotemporal
La herramienta Densidad de kernel espaciotemporal combina los conceptos de estimación de la densidad kernel con análisis temporales para proporcionar una comprensión integral de los patrones. Algunos de los beneficios que ofrece esta herramienta sobre otras formas de estimar la densidad incluyen la capacidad de:
- Analizar las dimensiones espaciales y temporales de eventos simultáneamente en diferentes elevaciones. Esto proporciona una comprensión más holística de los patrones y ayuda a identificar áreas con concentraciones altas o bajas de eventos a lo largo del tiempo, en el espacio y en la elevación.
- Tener en cuenta el aspecto temporal para analizar cómo cambia la densidad de eventos con el tiempo. Esto resulta especialmente útil para estudiar fenómenos dinámicos, como patrones delictivos, brotes de enfermedades o flujos de transporte.
- Tener en cuenta tanto la elevación como el aspecto temporal juntos, lo que le permitirá analizar cómo cambia la densidad de eventos a lo largo del tiempo en diferentes elevaciones. Esto es particularmente útil para estudiar fenómenos dinámicos en geociencias, como la presión del aire, la densidad del ozono, los contaminantes, la composición del aire y el agua, la salinidad del agua, el nivel de oxígeno disuelto, la conductividad del agua, la presión del agua y la temperatura.
- Proporcionar flexibilidad en la selección de parámetros, incluida la elección del tipo de kernel, radio de búsqueda (ancho de banda), elevación y unidad de tiempo. Esto le permite adaptar el análisis a necesidades y características de datos específicas, lo que genera resultados más precisos y significativos.
- Aprovechar las capacidades existentes de ArcGIS Pro para analizar y visualizar datos ráster multidimensionales y proporcionar varias opciones de visualización con el formato de ráster de nube (CRF) de Esri para datos multidimensionales como el ráster de salida predeterminado. Esto es especialmente beneficioso para aislar cualquier dimensión específica o para visualizar y ayudar a identificar puntos críticos, tendencias y patrones dentro de los datos en el espacio y el tiempo, lo que permite una mejor toma de decisiones y comprensión de las relaciones espacio-temporales.
Esta herramienta ofrece una comprensión más matizada de los patrones de eventos. Se puede aplicar en diversos campos, incluido el análisis de delitos, la representación cartográfica de enfermedades, la planificación del transporte, el monitoreo ambiental y las ciencias oceanográficas y atmosféricas. Su capacidad para analizar tanto el espacio como el tiempo la convierte en una herramienta versátil para comprender fenómenos complejos. Sin embargo, sus beneficios específicos y su idoneidad pueden variar dependiendo de la naturaleza de los datos y los objetivos del análisis.
Cómo se calcula la Densidad de kernel espaciotemporal
La herramienta Densidad de kernel espaciotemporal utiliza entidades de puntos con datos de elevación y tiempo para calcular la densidad kernel de las entidades de puntos alrededor de cada celda ráster de salida.
Conceptualmente, se ajusta una superficie curva uniforme sobre cada punto. La técnica se parece a cómo funciona la herramienta Densidad kernel para la entrada de puntos. El valor de la superficie en la ubicación del punto es el más alto y sigue disminuyendo a medida que aumenta la distancia desde la ubicación del punto, alcanzando cero en el valor de distancia desde el punto del parámetro Radio de búsqueda. Dado que el tipo de datos de entrada es puntual, solo es posible una vecindad circular. El volumen bajo la superficie es igual al valor del parámetro Campo de población del punto, o 1 si se especifica NONE. Para calcular la densidad de cada celda ráster de salida, se agregan los valores de todas las superficies de kernel en donde se superponen con el centro de la celda ráster. La función kernel se basa en la función kernel cuártica que se describió en Silverman (1986, p. 76, ecuación 4.5).
La fórmula es la siguiente:

Donde:
- i = 1,…,n son los puntos de entrada.
- f(j) es la densidad del centro de cada celda.
- dij es la distancia entre el punto del incidente y el centro de la celda.
- h es el radio de búsqueda.
Si se utiliza una configuración para el parámetro Campo de población que no sea NONE, el valor de cada elemento determina la cantidad de veces que se va a contar el punto. Por ejemplo, un valor de 3 hará que el punto se cuente como tres puntos. Los valores pueden ser de tipo entero o punto flotante.
De forma predeterminada, una unidad se selecciona según la unidad lineal de la definición de proyección de los datos de la entidad de punto de entrada o como se haya especificado en la configuración del entorno del Sistema de coordenadas de salida.
Si se selecciona un factor para el parámetro Unidades de área de salida, la densidad que se calculó para la celda se multiplica por el factor apropiado antes de que se escriba en el ráster de salida. Por ejemplo, si las unidades de entrada son metros, las unidades de área de salida serán Kilómetros cuadrados de manera predeterminada. El resultado final de la comparación de un factor de escala de unidades de metros a kilómetros tendrá como resultado que los valores serán diferentes por un multiplicador de 1.000.000 (1.000 metros × 1.000 metros).
Predecir la densidad de una ubicación
La densidad prevista en una nueva ubicación (x,y) se determina con esta fórmula:

Donde:
- i = 1,…,n son los puntos de entrada. Para disti < radius, solo debe incluir puntos en la suma si están dentro de la distancia de radio de la ubicación (x,y).
- popi es el valor de campo de población del punto i. Es un parámetro opcional.
- disti es la distancia entre el punto i y la ubicación (x,y).
- radius es el radio de búsqueda definido alrededor de la ubicación (x,y).
Posteriormente, la densidad calculada se multiplica por el número de puntos o la suma del campo de población si se proporcionó alguno. Esta corrección hace que el integral espacial sea igual que el número de puntos (o la suma o el campo de población) en lugar de que siempre sea igual que 1. Esta implementación usa una función kernel cuártica tal como se describe en Silverman (1986). La fórmula se calculará para cada ubicación en la que desee estimar la densidad. Puesto que se está creando un ráster, los cálculos se aplican al centro de cada celda en el ráster de salida.
Tiempo y elevación
La densidad puede calcularse a lo largo del tiempo, de la elevación o de ambos. Utilice la dimensión temporal para analizar patrones y tendencias a lo largo del tiempo en un intervalo de tiempo definido. Utilice la dimensión de elevación para tener en cuenta la influencia de la topografía en la distribución de eventos.
En las secciones siguientes se proporciona más información sobre los parámetros correspondientes a estas dimensiones y las fórmulas que se utilizan.
Densidad kernel a lo largo del tiempo en puntos (x,y)
Para incluir la dimensión de tiempo en el cálculo de esta herramienta, es necesario establecer el momento de inicio, el momento de finalización y el intervalo de tiempo.
El parámetro Momento de inicio especifica el comienzo del período de tiempo para el cual desea calcular la densidad. Puede ser una fecha específica (por ejemplo, 31/12/2023), una hora (3:45:45 p.m.) o una fecha y hora juntas (31/12/2023 3:45:45 p.m.). El momento de inicio establece el límite inferior de la ventana de tiempo de búsqueda (ventana_t) para el cálculo.
El parámetro Momento de finalización especifica el final del período de tiempo para el cálculo de la densidad. De manera similar al momento de inicio, puede ser una fecha y hora específicas o una fecha y una hora juntas. El momento de finalización establece el límite superior de la ventana de tiempo de búsqueda (ventana_t) para el cálculo.
El parámetro Intervalo de tiempo especifica la granularidad de los intervalos de tiempo utilizados en el análisis. Especifica la duración de cada intervalo de tiempo, como 1 hora, 1 día o 1 mes. El intervalo de tiempo divide el rango de tiempo entre el momento de inicio y finalización en segmentos más pequeños para el cálculo de la densidad. La unidad de intervalo puede ser segundo, minuto, hora, día o semana.
Según el momento de inicio, el momento de finalización y el intervalo de tiempo especificados, la herramienta calcula la densidad de eventos dentro de cada intervalo de tiempo y en todo el rango de tiempo especificado. Al dividir el rango de tiempo entre el momento de inicio y el momento de finalización en segmentos más pequeños según el intervalo de tiempo especificado, la herramienta calcula la densidad de eventos dentro de cada intervalo de tiempo. Esto permite un análisis más detallado de cómo la densidad de eventos varía con el tiempo. Por ejemplo, si el intervalo de tiempo se establece en 1 hora y el rango de tiempo es de 9:00 a.m. a 5:00 p.m., la herramienta calculará la densidad de eventos dentro de cada hora (9:00-10:00 a.m., 10:00-11:00 a.m., etc.) para proporcionar información sobre los patrones temporales de ocurrencia de eventos.
Para calcular la densidad kernel a lo largo del tiempo en puntos (x,y), se utilizan un kernel espacial, k(x,y), y un kernel temporal, k(t). Esto da como resultado la siguiente fórmula para la densidad kernel a lo largo del tiempo:

Donde:
- Para disti < radius, solo debe incluir puntos en la suma si están dentro de la distancia de radio de la ubicación (x,y).
- Para ti < t_window, solo debe incluir el tiempo en el cálculo si está dentro de la ventana de tiempo de búsqueda.
- popi es el valor de campo de población del punto i. Es un parámetro opcional.
- disti es la distancia entre el punto i y la ubicación (x,y).
- radius es el radio de búsqueda definido alrededor de la ubicación (x,y).
- ti es el tiempo en cada intervalo calculado dentro de la ventana de tiempo (ventana_t).
- t_window es la ventana de tiempo de búsqueda.
Densidad kernel en diferentes elevaciones sobre (x,y)
Los parámetros de elevación se utilizan para analizar la densidad de eventos o fenómenos que ocurren tanto en el espacio como en la elevación. La herramienta tiene en cuenta la ubicación espacial de los eventos, así como la elevación a la que ocurren. Para calcular la dimensión de elevación en esta herramienta, debe especificar tres parámetros: elevación mínima, elevación máxima e intervalo de elevación.
El parámetro Elevación mínima especifica el valor de elevación más bajo dentro del rango de elevaciones que desea tener en cuenta para el cálculo de la densidad. Establece el límite inferior del rango de elevación para el análisis.
El parámetro Elevación máxima especifica el valor de elevación más alto dentro del rango de elevaciones que desea tener en cuenta. De manera similar a la elevación mínima, establece el límite superior del rango de elevación para el análisis.
El parámetro Intervalo de elevación especifica la granularidad de los intervalos de elevación utilizados en el análisis. Especifica la longitud de cada intervalo de elevación, como 100 metros, 500 metros o 1 kilómetro. El intervalo de elevación divide el rango de elevación entre las elevaciones mínima y máxima en segmentos más pequeños para el cálculo de la densidad.
Al especificar la elevación mínima, la elevación máxima y el intervalo de elevación, la herramienta calcula la densidad de eventos dentro de cada intervalo de elevación y en todo el rango de elevación especificado.
Para calcular la densidad kernel a lo largo de la elevación en puntos (x,y), se utilizan un kernel espacial, k(x,y), y un kernel de elevación, k(t). Esto da como resultado la siguiente fórmula para la densidad kernel a lo largo del tiempo:

Donde:
- Para disti < radius, solo debe incluir puntos en la suma si están dentro de la distancia de radio de la ubicación (x,y).
- Para zi < z_distance, solo debe incluir puntos de elevación en el cálculo si están dentro del radio de búsqueda de elevación.
- popi es el valor de campo de población del punto i. Es un parámetro opcional.
- disti es la distancia entre el punto i y la ubicación (x,y).
- radius es el radio de búsqueda definido alrededor de la ubicación (x,y).
- zi es la elevación en cada intervalo calculada dentro de la ventana de elevación.
- z_distance es el radio de búsqueda de la elevación.
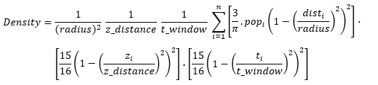
Densidad kernel en diferentes elevaciones y tiempos sobre (x,y)
La densidad kernel puede analizarse a lo largo de las dimensiones de tiempo y elevación. Para esto, necesita especificar seis parámetros: elevación mínima, elevación máxima, intervalo de elevación, momento de inicio, momento de finalización e intervalo de tiempo.
Para calcular la densidad kernel en diferentes elevaciones y tiempos en puntos (x,y), se utiliza la siguiente fórmula:

Donde:
- Para disti < radius, solo debe incluir puntos en la suma si están dentro de la distancia de radio de la ubicación (x,y).
- Para zi < z_distance, solo debe incluir puntos de elevación en el cálculo si están dentro del radio de búsqueda de elevación.
- Para ti < t_window, solo debe incluir el tiempo en el cálculo si está dentro de la ventana de tiempo de búsqueda.
- popi es el valor de campo de población del punto i. Es un parámetro opcional.
- disti es la distancia entre el punto i y la ubicación (x,y).
- radius es el radio de búsqueda definido alrededor de la ubicación (x,y).
- zi es la elevación en cada intervalo calculada dentro de la ventana de elevación.
- z_distance es el radio de búsqueda de la elevación.
- ti es el tiempo en cada intervalo calculado dentro de la ventana de tiempo (ventana_t).
- t_window es la ventana de tiempo de búsqueda.
Parámetros de la ventana de búsqueda
El radio de búsqueda (o ancho de banda, como se lo denomina en la herramienta Densidad kernel) determina el alcance de la influencia que cada evento tiene en el cálculo de la densidad. Desempeña un papel crucial en la definición del alcance espacial y temporal del análisis. Para obtener más información, consulte Radio de búsqueda predeterminado (ancho de banda) en la ayuda de la herramienta Densidad kernel.
En la herramienta Densidad de kernel espaciotemporal, puede especificar el radio de búsqueda por separado para tres tipos de dimensiones: (x, y), elevación (z) y tiempo (t).
Radio de búsqueda para x e y
El parámetro Radio de búsqueda (x e y) especifica la distancia dentro de la cual los eventos influirán en el cálculo de la densidad en las dimensiones x e y. El radio de búsqueda puede estar en la misma unidad que los datos de entrada o puede especificarse en unidades como metros, kilómetros o grados.
Especificar un radio de búsqueda mayor dará como resultado una superficie con una densidad más suave, ya que los eventos más alejados de una ubicación concreta tendrán una mayor influencia en su valor de densidad.
Radio de búsqueda para elevación
El parámetro Radio de búsqueda (z) determina la distancia vertical dentro de la cual los eventos influirán en el cálculo de la densidad en la dimensión de elevación. Se puede especificar en unidades como metros, pies o la misma unidad de elevación de los datos de entrada.
De manera similar al radio de búsqueda x e y, especificar un radio de búsqueda de elevación mayor dará como resultado una superficie con una densidad más suave, ya que los eventos a mayores distancias verticales desde una ubicación particular tendrán una mayor influencia en su valor de densidad.
Radio de búsqueda para tiempo
El parámetro Ventana de tiempo de búsqueda (t) define la extensión temporal dentro de la cual los eventos influirán en el cálculo de la densidad. Se puede especificar en unidades como horas, días o meses. La ventana de tiempo establece una duración para cada evento, y los eventos que ocurran dentro de esta duración contribuirán al cálculo de la densidad en una ubicación y tiempo específicos.
Detalle y suavidad del resultado
Al ajustar los valores del radio de búsqueda en la pestaña Parámetros de kernel, puede controlar el nivel de detalle y la suavidad de la superficie de densidad resultante. Un radio de búsqueda o ancho de banda más pequeño capturará patrones más localizados, mientras que un radio de búsqueda o ancho de banda mayor capturará tendencias y patrones más amplios.
La selección de un radio de búsqueda o valores de ancho de banda apropiados requiere una cuidadosa consideración de las características de los datos y los objetivos del análisis. Experimentar con diferentes valores y evaluar las superficies de densidad resultantes puede ayudar a encontrar los parámetros más adecuados para su análisis específico.
Cálculo del radio de búsqueda
El algoritmo utilizado para determinar el radio de búsqueda predeterminado hace lo siguiente:
- Calcular el centro medio de los puntos de entrada. Si se proporcionó un campo de población, este cálculo y los siguientes se ponderarán con los valores de ese campo.
- Calcule la distancia desde los centros medios ponderados para todos los puntos.
- Calcule la mediana ponderada de estas distancias, Dm.
- Calcule la distancia estándar ponderada, SD.
Nota:
Consulte Cómo funciona Distancia estándar en la ayuda de la caja de herramientas Estadísticas espaciales para obtener detalles sobre cómo se calcula la distancia estándar.
El radio de búsqueda predeterminado para (x,y) está determinado por la siguiente fórmula:

Donde:
- SD es la distancia estándar.
- Dm es la distancia mediana (ponderada) desde el centro medio (ponderado).
- n es el número de puntos si no se especifica ningún valor para el parámetro Campo de población. Si se proporciona el valor del parámetro Campo de población, n es la suma de los valores del campo.
El radio de búsqueda predeterminado para elevación (distancia_z) y ventana de tiempo (ventana_t) está determinado por la siguiente fórmula:

Donde:
- σz,t es la desviación estándar en la distribución de puntos de las dimensiones z y t.
- n es el número de puntos si no se especifica ningún valor para el parámetro Campo de población. Si se proporciona el valor del parámetro Campo de población, n es la suma de los valores del campo.
- d es la dimensión de análisis. El valor predeterminado es 1.
Cálculo de distancia estándar
Existen dos métodos para calcular la distancia estándar, sin ponderar y ponderado.
La distancia no ponderada está determinada por la siguiente fórmula:

Donde:
- xi,yi, y zi son las coordenadas de featurei.
- {x̄, ȳ, z̄} representa el centro medio de las entidades.
- n es igual al número total de entidades.
La distancia ponderada está determinada por la siguiente fórmula:

Donde:
- wi es la ponderación de la entidad i .
- xi, yi y zi son las coordenadas de featurei.
- {X̄w, Ȳw, Z̄w} representa el centro medio ponderado de las entidades.
Elevación ráster multidimensional e intervalo de tiempo
La salida de la herramienta Densidad de kernel espaciotemporal es un ráster multidimensional con intervalos individuales para cada elevación e intervalo de tiempo. El número total de intervalos en el ráster de salida se calcula mediante la siguiente fórmula si se proporcionan datos de entrada tanto de elevación como de tiempo:

Donde:
- Zmax es la elevación máxima.
- Zmin es la elevación mínima.
- intervalo de elevación es el intervalo entre divisiones de elevación de la salida del ráster multidimensional.
- Tmax es el momento de finalización.
- Tmin es el momento de inicio.
- intervalo de tiempo es el intervalo entre divisiones de tiempo de la salida del ráster multidimensional.
Si no se define ningún intervalo de tiempo o elevación en el grupo Parámetros de salida, el número predeterminado de divisiones será 20 para operaciones con cualquiera de las variables de entrada. Para operaciones con tiempo y elevación, el número predeterminado de divisiones en el ráster de salida es 400.
Efecto de los métodos planar y geodésico sobre la densidad
El cálculo de la densidad variará dependiendo de la selección del sistema de referencia espacial planar o geodésico.
La opción Planar del parámetro Método resulta adecuada si el análisis se va a realizar a escala local con una proyección que mantiene el área y la distancia correctas de manera precisa. De forma predeterminada, la herramienta utiliza una distancia planar.
La opción Geodésico es adecuada si el análisis se va a realizar a escala regional o a gran escala, como cuando se utiliza un Web Mercator o cualquier sistema de coordenadas geográficas. Este método tiene en cuenta la curvatura del esferoide y trata correctamente los datos cercanos a los polos y a la línea internacional de cambio de fecha. El método geodésico siempre produce un resultado más preciso y es el método recomendado.
La diferencia entre las distancias planar y geodésica aumenta proporcionalmente a medida que aumenta la distancia respecto al origen. Si está trabajando en un área geográfica pequeña, como una ciudad o un condado, la diferencia entre las distancias planar y geodésica es proporcionalmente menor que si está trabajando a la escala de todo un país. El impacto del tamaño del área de estudio y las distorsiones de la proyección de mapa pueden funcionar conjuntamente para aumentar aún más la distorsión. En el caso de una proyección como Web Mercator, cuanto más se acerque a los polos, menor será el área que pueda analizar con la misma cantidad de distorsión de la distancia.
Para comprender las diferencias entre distancia geodésica y planar en el cálculo de distancias, consulte Distancia geodésica frente a distancia planar.
Tipos de densidad de salida
El parámetro Valores resultantes proporciona dos opciones para calcular y visualizar los tipos de densidad de salida: Densidades y Recuentos esperados.
Si se elige la configuración Densidades, los valores de celda en el ráster de salida representan el valor de densidad calculado por unidad de área.
Si se elige la configuración Recuentos esperados, los valores representan el número esperado de eventos por área de celda. Las fórmulas utilizadas para calcular los recuentos son las siguientes:
- Con solo el radio en el plano x,y, Recuento = Densidad × Área.
- Con la elevación, Recuento = Densidad × Área × Intervalo de elevación.
- Con el tiempo, Recuento = Densidad × Área × Intervalo de tiempo.
- Con tanto el tiempo como con la elevación, Recuento = Densidad × Área × Intervalo de elevación × Intervalo de tiempo.
Es importante resaltar que en estas fórmulas se supone que existe una densidad constante en las celdas de ráster de salida, el intervalo de elevación y el intervalo de tiempo. Para generar una previsión de recuentos fiable, se debe prestar especial atención a la selección de los valores de los parámetros de tamaño de celda, intervalo de elevación e intervalo de tiempo
Potenciales aplicaciones
Las posibles aplicaciones de esta herramienta incluyen las siguientes:
- Comprender la superficie del océano y la composición del agua utilizando tanto la elevación como el tiempo. Por ejemplo, examine los cambios en parámetros como la salinidad, la temperatura del agua o el nivel de oxígeno disuelto en el océano a lo largo del tiempo.
- Comprenda las condiciones atmosféricas. Por ejemplo, examine los cambios de densidad de las lecturas de PM2,5 en una unidad geográfica en diferentes momentos del día o del año.
- Aplique la capacidad de la herramienta para utilizar el tiempo para comprender los brotes de enfermedades, la densidad de la criminalidad o la población sin hogar en diferentes períodos de tiempo.
- Analice la composición de las partículas de aire suspendidas en la atmósfera en diferentes ubicaciones y elevaciones. Por ejemplo, examine los cambios en la composición PM2,5 a lo largo del tiempo para obtener información sobre los patrones de contaminación del aire e identificar posibles fuentes de contaminación.
Recursos adicionales
Härdle, W. K., Müller, M, Sperlich, S., and Werwatz, A. Nonparametric and semiparametric models (Vol. 1). Berlin: Springer, 2004.
Hu, Y., Wang, F., Guin, C., and Zhu, H. "A spatio-temporal kernel density estimation framework for predictive crime hotspot mapping and evaluation." Applied geography, 99, 2018, 89-97.
Nakaya, T., and Yano, K. "Visualising crime clusters in a space‐time cube: An exploratory data analysis approach using space time kernel density estimation and scan statistics." Transactions in GIS, 14(3), 2010, 223-239.
Silverman, B. W. Density Estimation for Statistics and Data Analysis. New York: Chapman and Hall, 1986.