Disponible con una licencia de Geostatistical Analyst.
El kriging de indicador presupone el modelo
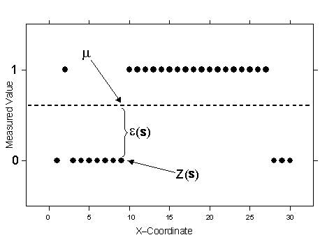
I(s) = µ + ε(s),
donde µ es una constante desconocida e I(s) es una variable binaria. La creación de datos binarios puede basarse en el uso de un umbral en el caso de los datos continuos, o quizá los datos observados sean 0 o 1. Por ejemplo, puede tener una muestra que contenga información sobre si un punto es o no un hábitat de bosque o de otro tipo, donde la variable binaria indica la pertenencia a una clase. Utilizando variables binarias, el kriging de indicador opera igual que el kriging ordinario.
En la siguiente figura, los datos se han convertido a valores binarios utilizando el umbral que se muestra en Información sobre los umbrales.

Los datos binarios observados los proporcionan los cuadrados abiertos. La media desconocida de todas las variables de indicador se muestra con la línea discontinua y es µ. Esta funcionalidad se puede comparar con el kriging ordinario. Al igual que con el kriging ordinario, se supone que ε(s) está autocorrelacionado. Observe que, dado que las variables de indicador son 0 o 1, las interpolaciones estarán entre 0 y 1 y las predicciones del kriging de indicador se pueden interpretar como probabilidades de que la variable sea 1 o que esté en la clase indicada por 1. Si se utilizó un umbral para crear la variable de indicador, el mapa de interpolación resultante mostrará las probabilidades de que se supere (o no se alcance) el umbral.
Es posible crear varias variables de indicador para el mismo dataset eligiendo varios umbrales. En este caso, un umbral crea la variable de indicador principal, y el resto de variables del indicador se utilizan como variables secundarias del cokriging.
El kriging de indicador puede usar semivariogramas o covarianzas, que son las formas matemáticas que se utilizan para expresar la autocorrelación.