Disponible con licencia de Image Analyst.
Descripción general
Estima la tendencia de cada píxel a lo largo de una dimensión para una o varias variables de un ráster multidimensional.
Notas
Entre los datasets ráster multidimensionales admitidos se incluyen los archivos de formato ráster de nube (CRF), datasets de mosaico multidimensionales o capas ráster multidimensionales generados por archivos de formato netCDF, GRIB o HDF.
Esta herramienta puede utilizarse para ajustar datos a lo largo de una línea de tendencia lineal, armónica o polinómica, o puede utilizarse para realizar la detección de tendencias usando la prueba Mann-Kendall o Seasonal-Kendall.
El ráster de tendencia de salida generado con esta función se utiliza como entrada para la función Predecir con tendencia.
Las pruebas Mann-Kendall y Seasonal-Kendall se utilizan para determinar si existe una tendencia monótona en los datos. Son no paramétricos, lo que significa que no asumen una distribución específica de los datos. La prueba Mann-Kendall no considera la correlación de serie o los efectos estacionales. Si los datos fueran estacionales, la prueba Seasonal-Kendall resulta más apropiada.
Si se utiliza la herramienta para realizar la prueba Mann-Kendall o Seasonal-Kendall, la salida es un ráster de cinco bandas de la siguiente forma:
- Banda 1 = Pendiente de Sen
- Banda 2 = valor p
- Banda 3 = Puntuación de Mann-Kendall (S)
- Banda 4 = Varianza S
- Banda 5 = Puntuación Z
Las salidas de la prueba Mann-Kendall o Seasonal-Kendall pueden utilizarse para determinar los píxeles en su serie de tiempo multidimensional que tienen una tendencia estadísticamente significativa. Puede utilizar esta información junto con el análisis de tendencia lineal, armónica o polinómica para extraer tendencias significativas en su serie temporal. Puede generar una máscara que incluya píxeles con valores p significativos, aplicar la máscara al ráster multidimensional y utilizar este ráster multidimensional con máscara como la entrada en la herramienta para realizar análisis de tendencia lineal, armónica o polinómica.
Existen tres opciones de línea de tendencia para ajustar una tendencia a los valores de la variable a lo largo de una dimensión: lineal, polinómica y armónica. A continuación, se describen las tres opciones de ajuste de tendencia.

En el caso del análisis de tendencia lineal, la salida es un ráster de tres bandas, donde:
- Banda 1 = Pendiente
- Banda 2 = Interceptar
- Banda 3 = Error cuadrático medio (RMSE) o error alrededor de la línea de mejor ajuste
En el caso del análisis de tendencia polinómica, el número de bandas de la salida depende del orden polinómico. Un ajuste polinómico de segundo orden produce un ráster de cuatro bandas, donde:
- Banda 1 = Polynomial_2
- Banda 2 = Polynomial_1
- Banda 3 = Polynomial_0
- Banda 4 = RMSE
Un ajuste polinómico de tercer orden produce un ráster de cinco bandas, donde:
- Banda 1 = Polynomial_3
- Banda 2 = Polynomial_2
- Banda 3 = Polynomial_1
- Banda 4 = Polynomial_0
- Banda 5 = RMSE
En el caso del análisis de tendencia armónico, el número de bandas de la salida depende de la frecuencia armónica. Si la frecuencia se establece en 1, la salida será un ráster de cinco bandas, donde:
- Banda 1 = Pendiente
- Banda 2 = Interceptar
- Banda 3 = Harmonic_sin1
- Banda 4 = Harmonic_cos1
- Banda 5 = RMSE
Si la frecuencia se establece en 2, la salida será un ráster de siete bandas, donde:
- Banda 1 = Pendiente
- Banda 2 = Interceptar
- Banda 3 = Harmonic_sin1
- Banda 4 = Harmonic_cos1
- Banda 5 = Harmonic_sin2
- Banda 6 = Harmonic_cos2
- Banda 7 = RMSE
El parámetro Longitud del ciclo del análisis de tendencia armónico se utiliza para indicar el número y longitud de ciclos que espera ver en sus datos a lo largo de un día o año. Por ejemplo, si espera que sus datos pasen dos ciclos de variación en un año, la longitud de ciclo será 182,5 días o 0,5 años. Si recopila datos de temperatura cada tres horas y hay un ciclo de variación al día, la longitud de ciclo es de un día.
El parámetro Frecuencia del análisis de tendencia armónico se utiliza para describir el modelo armónico que se ajustará a los datos. Si la frecuencia se define como 1, se utilizará una combinación de curva lineal y curva armónica de primer orden para ajustar el modelo. Si la frecuencia es 2, se utilizará una combinación de lineal, curva armónica de primer orden y curva armónica de segundo orden para ajustar los datos. Si la frecuencia es 3, se utilizará una curva armónica adicional de tercer orden para modelar los datos, y así sucesivamente.
Se pueden generar estadísticas de idoneidad de ajuste del modelo como salidas opcionales. Se pueden calcular y simbolizar el error cuadrático medio (RMSE), R cuadrado y el valor P de pendiente de tendencia. Simbolice la capa ráster de tendencia de salida mediante la simbología RGB y especifique las estadísticas como las bandas roja, verde y azul.
Parámetros
| Parámetro | Descripción | 
|---|---|
| Ráster | El ráster multidimensional de entrada. | 
| Nombre de dimensión | La dimensión a lo largo de la cual se extraerá una tendencia para la variable o variables seleccionadas en el análisis. | 
| Tipo de tendencia | Especifica el tipo de línea que se utilizará para ajustar a los valores de píxel a lo largo de una dimensión. 
 | 
| Frecuencia armónica | El número de frecuencia que se utilizará en el ajuste de tendencia. Este parámetro especifica la frecuencia de ciclos en un año. El valor predeterminado es 1, o un ciclo armónico por año. Este parámetro se incluye únicamente en el análisis de tendencia de una regresión armónica. | 
| Longitud del ciclo | La longitud de la variación periódica que se va a modelar. La unidad es días, independientemente de la unidad de tiempo de los datos de entrada. Por ejemplo, el verdor de las hojas tiene con frecuencia un ciclo fuerte de variación en un solo año, por lo que la longitud de ciclo es 365,25, aunque los datos de entrada sean el verdor mensual. Los datos de temperatura por hora tienen un ciclo fuerte de variación en un solo día, por lo que la longitud de ciclo es 1. La longitud predeterminada es 365,25 días para los datos que varían en un ciclo anual. | 
| Unidad de ciclo | Especifica la unidad de tiempo que se utilizará para la longitud del ciclo armónico. 
 | 
| Orden polinómico | El número de orden polinómico que se utilizará en el ajuste de tendencia. Este parámetro especifica el orden polinómico. El valor predeterminado es 2, o polinómico de segundo orden. Este parámetro se incluye únicamente en el análisis de tendencia de una regresión polinómica. | 
| Ignorar NoData | Especifica si los valores NoData se ignorarán en el análisis. 
 | 
| RMSE | Especifica si se genera el error cuadrático medio (RMSE) de la línea de ajuste de tendencia. 
 | 
| R cuadrado | Especifica si se calcula la estadística de idoneidad de ajuste de R cuadrado para la línea de ajuste de tendencia. 
 | 
| Valor P del coeficiente de pendiente | Especifica si se calcula la estadística de valor P para el coeficiente de pendiente de la línea de tendencia. 
 | 
| Periodo estacional | Especifica la unidad de tiempo que se utilizará durante el periodo estacional al realizar la prueba Seasonal-Kendall. 
 | 
Tipos de regresión
A continuación, se muestra la ecuación de regresión de cada opción de tendencia.
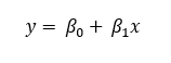
- Lineal: la línea de tendencia lineal es una línea recta de mejor ajuste que se utiliza para estimar relaciones lineales simples. Una tendencia lineal resalta una tasa de cambio que aumenta o disminuye a un ritmo constante. La fórmula de la línea de tendencia lineal es la siguiente: - y = el valor de la variable del píxel.
- x = el valor de la dimensión.
- ß0 = la intercepción y.
- ß1 = la pendiente lineal o tasa de cambio.ß1 > 0 indica una tendencia creciente. ß1 < 0 indica una tendencia decreciente. 
 
- Polinómica: la línea de tendencia polinómica es una línea curva que resulta de utilidad para datos que fluctúan. En este caso, se utiliza un valor de orden polinómico para indicar el número máximo de fluctuaciones que tienen lugar. La fórmula de la línea de tendencia polinómica es la siguiente: - y = el valor de la variable del píxel
- x = el valor de la dimensión
- ß0, ß1, ß2, ß3, ..., ßn = coeficientes constantes
 
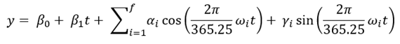
- Armónica: la línea de tendencia armónica es una línea curva que se repite periódicamente y que se utiliza preferiblemente para describir datos que siguen un patrón cíclico, por ejemplo, cambios de temperatura estacionales. La fórmula de la línea de tendencia armónica es la siguiente: - y = el valor de la variable del píxel
- t = la fecha juliana
- ß0 = la intercepción y
- ß1 = la tasa de cambio
- α, γ = coeficientes de cambios interanuales o intraanuales
- ω = i
- f = la frecuencia armónica