Estas son las distribuciones disponibles para distintas herramientas que crean valores aleatorios. Las distribuciones transforman los valores aleatorios de 0-1 que se crearon a partir de la transmisión específica (identificada a nivel mundial en el entorno de análisis o a nivel local con la herramienta) en la distribución específica. Consulte La sintaxis de distribución para los valores aleatorios para la sintaxis y los parámetros de cada distribución.
Distribución uniforme
La distribución uniforme es una distribución de probabilidad continua donde todos los valores de un intervalo específico tienen la misma probabilidad. Una distribución de entero es una versión discreta de la distribución uniforme (vea a continuación). La distribución uniforme se utiliza al modelar las concentraciones de un gas en un modelo de simulación o del tiempo entre accidentes en una intersección, como también para ubicar los puntos en la herramienta Crear puntos aleatorios.
Con frecuencia, la distribución uniforme se utiliza para modelar eventos aleatorios cuando cada instancia o resultado potencial tiene la misma probabilidad de ocurrencia.

La fórmula para la distribución uniforme es la siguiente:

donde
a es el valor mínimo para el intervalo con igual probabilidad.
b es el valor máximo para el intervalo con igual probabilidad.
x son las observaciones.
Los valores aleatorios seleccionados se encuentran entre el mínimo y el máximo (ambos exclusivos). El mínimo debe ser menor que el máximo. Si no se proporciona un valor mínimo o máximo, se producen variables uniformes entre 0,0 y 1,0.
Distribución de entero
La distribución de entero es una distribución de probabilidad donde todos los valores discretos de un intervalo específico tienen la misma probabilidad. La distribución de entero es la versión discreta de la distribución uniforme (vea arriba). La distribución de entero se utiliza para modelar la probabilidad de ocurrencia de cada número al tirar un dado (cada número tiene una probabilidad de ocurrencia de un sexto), para modelar eventos aleatorios en un modelo de simulación, o seleccionar ubicaciones de muestra para un estudio biológico.
Con frecuencia, la distribución de entero se utiliza para modelar eventos aleatorios cuando cada instancia o resultado potencial tiene la misma probabilidad de ocurrencia.

Aquí se muestra la fórmula para la distribución de entero:

donde
a es el valor mínimo para el intervalo con igual probabilidad.
b es el valor máximo para el intervalo con igual probabilidad.
x son las observaciones.
Los valores aleatorios seleccionados se encuentran entre el mínimo y el máximo (ambos exclusivos). El mínimo debe ser menor que el máximo. Si no se proporciona un valor mínimo o máximo, se producen valores uniformes entre 1 y 100.
Distribución normal
La distribución normal modela variables aleatorias continuas que ocurren con frecuencia. La distribución normal se utiliza ampliamente y se aplica a muchas aplicaciones. Se construye en el teorema del límite central, basado en el principio de que la suma de las variables aleatorias se distribuye normalmente si hay un gran número de observaciones. Por ejemplo, la cantidad de veces en que sale "cara" en una secuencia de tiros de una moneda se aproxima a la normalidad cuando la moneda se tira muchas veces. Como ejemplos de distribuciones normales se encuentra la altura de las personas en un país, los valores de elevación de un estado, y las puntuaciones de exámenes de matemáticas para estudiantes de 12 años de edad.

La fórmula para la distribución normal es la siguiente:

donde
μ es el valor medio.
σ es la desviación estándar (un número positivo).
La distribución normal es simétrica en relación al valor medio, al modo y a la mediana, que son iguales a μ.
Con frecuencia, las distribuciones binomial y Poisson modelan eventos futuros discretos, independientes, aleatorios, verdaderos o falsos (por ejemplo, la cantidad de veces que aparece "cara" al tirar una moneda) a través de una pequeña cantidad de observaciones, mientras que la distribución normal modela variables continuas (por ejemplo, la altura, el peso y la cantidad) a través de una gran cantidad de observaciones. Las distribuciones binomial y Poisson están basadas en la probabilidad, mientras que la distribución normal representa la cantidad de observaciones que cumplen con la cantidad o la magnitud.
Distribución exponencial
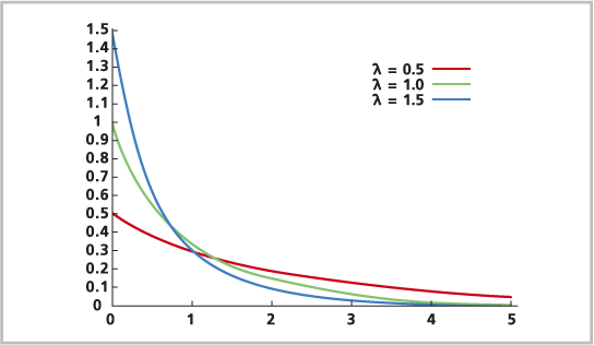
La distribución exponencial es una distribución de probabilidad continua. En general, se utiliza para modelar el tiempo entre los eventos que ocurren a una tasa promedio constante, o la distribución se puede utilizar para modelar la ocurrencia de eventos en una distancia por unidad. El tiempo hasta que ocurre el próximo accidente automovilístico en una intersección, el tiempo entre que se ven dos estrellas fugaces en el cielo y la distancia entre dos baches en una calle, representan ejemplos de cómo se puede utilizar la distribución exponencial. Con cada uno de estos ejemplos, a medida que el tiempo o la distancia aumenta, hay una probabilidad exponencialmente mayor de que cambie el estado u ocurra el evento. Las ocurrencias de los eventos son independientes entre sí.

La fórmula para la distribución exponencial es la siguiente:

donde
e es el logaritmo natural.
x es la cantidad de posibles ocurrencias para el evento (valores enteros positivos).
La distribución exponencial modela los procesos de Poisson en donde el fenómeno se encuentra en un estado inicial. La distribución exponencial es la versión continua de la distribución geométrica. Si el proceso para cambiar del estado A al estado B se puede dividir en varias tareas independientes puede ser mejor modelarlo con una distribución Gamma. La distribución Gamma modela la suma de múltiples variables independientes, distribuidas exponencialmente. Se puede ver como un caso especial de distribución exponencial.
Distribución Poisson
La distribución Poisson es una distribución de probabilidad discreta. La distribución Poisson modela la probabilidad de la cantidad de eventos que ocurren en un período de tiempo fijo a partir de un valor medio conocido. Los eventos son independientes de la última vez que ocurrieron. En el eje x se representan los valores discretos para los eventos 0, 1, 2, 3, 4, y así sucesivamente (con frecuencia, representan la cantidad de veces que ocurrió el evento), y en el eje y se representa la probabilidad de que el fenómeno ocurra tantas veces dado un valor medio conocido. Los eventos pueden comprender la cantidad de accidentes en una intersección, la cantidad de defectos de nacimiento, o la cantidad de alces en un kilómetro cuadrado. La distribución Poisson modela las ocurrencias extrañas. A veces, la distribución se denomina la ley de los números pequeños porque el evento no ocurre con frecuencia, pero sí hay muchas oportunidades de que ocurra.

La fórmula se muestra debajo:

donde
e es el logaritmo natural.
k es la cantidad de posibles ocurrencias para el evento (valores enteros positivos).
k! es un factorial de k.
λ (o el valor medio) es un número positivo que representa la cantidad esperada de ocurrencias en un intervalo específico. Si el evento ocurre cada 10 minutos en una hora (60 minutos), la lambda será de 6.
La distribución Poisson es similar a la distribución binomial; sin embargo, la distribución Poisson modela la ocurrencia de un evento extraño sin conocer la información sobre la cantidad total de ocurrencias posibles. La distribución Poisson examina la cantidad de accidentes en una intersección, mientras que la distribución binomial modela la cantidad de accidentes en relación a la cantidad de autos que pasan por la intersección.
Distribución Gamma
La distribución Gamma es una distribución de probabilidad continua. La distribución Gamma modela la suma de múltiples variables independientes, distribuidas exponencialmente. Se puede ver como un caso especial de distribución exponencial.

La fórmula para la distribución Gamma es la siguiente:

Esta es otra manera de parametrizar la distribución Gamma:

Para un valor de alfa 1, la distribución Gamma equivale a la distribución exponencial. Cuando el valor de alfa es un número entero, la distribución Gamma se convierte en la distribución Erlang. Para un valor de alfa entero y uno de beta equivalente a 2, la distribución Gamma se convierte en distribución de chi-cuadrado con 2 grados de libertad de alfa.
Las variables resultantes son mayores o iguales a 0,0. Los valores de alfa y beta deben ser superiores a 0,0.
Distribución binomial
La distribución binomial modela la cantidad de ocurrencias de un evento al observar una secuencia de productores potenciales del evento. Por ejemplo, la distribución binomial captura la cantidad de personas de un estudio clínico que fallecieron por una enfermedad coronaria, la cantidad de personas que descienden en el segundo piso de un ascensor repleto, o la cantidad de animales de una población con un rasgo genético determinado.

La distribución binomial describe ocurrencias, no la magnitud. Puede modelar cuántos participantes terminaron una carrera, no cuán veloces fueron los participantes.
La fórmula para la distribución binomial es la siguiente:

donde
n es la cantidad de observaciones.
p es la probabilidad de ocurrencia.
x es la cantidad de éxitos que varían de 0 a n.
Un ejemplo común del uso de la distribución binomial es la determinación de la probabilidad de la cantidad de veces que aparece "cara" al tirar una moneda 10 veces (n = 10). Puede haber 0 caras de 10, 1 de 10, y así sucesivamente; por lo tanto, x = 0, 1, 2, 3, 4, 5, 6, 7, 8, 9, 10. Y p es la probabilidad para cada x.
Todos los ensayos son independientes, y cada ensayo tiene un resultado de éxito o error.
La distribución binomial se aproxima a la distribución Poisson por una n grande y una p pequeña. En este caso, será más fácil utilizar la distribución Poisson.
La distribución binomial devuelve una variable aleatoria para la cantidad de éxitos de un total de n ensayos en donde la probabilidad de éxito en cada ensayo es p (por ejemplo, la probabilidad de que salga cara es p).
Distribución geométrica
La distribución geométrica es una distribución de probabilidad discreta. Existen dos tipos principales de fenómenos que modela: (1) la probabilidad de la cantidad de veces que conlleva un éxito (por ejemplo, la cantidad de veces que se tira el dado para que salga el número 6) o (2) la probabilidad de la cantidad de errores antes del éxito (por ejemplo, la cantidad de senderos que hay en un camino hasta ver un venado). La probabilidad de no ver un venado en el primer sendero del camino es (1 - p). Para el segundo sendero, la probabilidad de no ver un venado es (1 - p) (1 - p). Con más senderos en el camino, la probabilidad de no ver un venado disminuye exponencialmente, y finalmente se verá uno. Los eventos son independientes entre sí.

La fórmula para la distribución geométrica es la siguiente:

donde
p es la probabilidad de éxito.
n es la cantidad de ensayos.
La distribución geométrica es la versión discreta de la distribución exponencial (vea arriba). La distribución geométrica es un caso especial de distribución Pascal o binomial negativa, con r en la distribución Pascal que equivale a 1 (vea debajo).
Distribución binomial negativa
La distribución binomial negativa es una distribución de probabilidad discreta. La distribución binomial negativa está basada en ensayos de Bernoulli. Los ensayos de Bernoulli modelan eventos en los cuales los ensayos tienen uno o dos resultados (éxito y error); tienen una probabilidad de éxito, p (p es la misma para cada ensayo); y son independientes entre sí. La acción de tirar una moneda es un ensayo de Bernoulli. Por ejemplo, la distribución binomial negativa puede modelar cuántos tiros de una moneda se necesitan para que ocurran cinco caras sucesivas. Entonces, la distribución binomial negativa modela la cantidad de errores antes de un éxito. Cuando r es un número entero, la distribución binomial negativa se convierte en un caso particular denominado distribución Pascal.
La fórmula para la distribución binomial negativa es la siguiente:

donde
r es la cantidad de errores.
p es la probabilidad de éxito.
k es la cantidad de éxitos que varían de 0 a n.
Cuando la distribución binomial negativa representa la acción de tirar una moneda, se devuelve un valor aleatorio para la cantidad de veces que lleva que aparezca cara.