| Etiqueta | Explicación | Tipo de datos |
Clase de entidad de salida | La ruta y el nombre de la clase de entidad de salida que contiene la cuadrícula en teselas. | Feature Class |
Extensión | La extensión que cubrirá la teselación. Esta puede ser el área que esté visible actualmente, la extensión de un dataset o valores introducidos manualmente.
Cuando las coordenadas se proporcionan de forma manual, las coordenadas deben ser valores numéricos y encontrarse en el sistema de coordenadas del mapa activo. El mapa podría utilizar unidades de visualización distintas de las coordenadas proporcionadas. Utilice un valor de signo negativo para las coordenadas sur y oeste. | Extent |
Tipo de forma (Opcional) | Especifica la forma que se generará.
| String |
Tamaño (Opcional) | El área de cada forma individual que compone la teselación. | Areal Unit |
Referencia espacial (Opcional) | Referencia espacial que se asignará a la clase de entidad de salida. | Spatial Reference |
Resolución H3 (Opcional) | Especifica la resolución H3 de los hexágonos. Con cada valor de resolución creciente, el área de los polígonos será uno séptimo del tamaño.
Este parámetro solo está activo cuando el parámetro Tipo de forma se configura como Hexágono H3. | Long |
Resumen
Genera una cuadrícula teselada de entidades poligonales normales para cubrir una determinada extensión. La teselación puede ser de triángulos, cuadrados, rombos, hexágonos, hexágonos H3 o hexágonos transversales.
Ilustración

Uso
Para garantizar que toda la extensión de entrada queda cubierta por la cuadrícula teselada, las entidades de salida se extienden intencionadamente más allá de la extensión de entrada. Esto ocurre porque los bordes de la cuadrícula en teselas no siempre tendrán líneas rectas y podrían generarse espacios si la cuadrícula estuviera limitada por la extensión de entrada.
Para las opciones del parámetro Tipo de forma distintas de Hexágono H3 se crean entidades de salida mediante el uso de cálculos euclidianos. Para garantizar los mejores resultados, el valor del parámetro Extensión debería estar en un sistema de coordenadas que minimice la distorsión del área o la distancia. Las extensiones deberían estar en un sistema de coordenadas proyectadas adecuado. Las extensiones con sistema de coordenadas geográficas o sistemas de coordenadas proyectadas que no resultan adecuados para mediciones de distancia deben proyectarse primero.
Si el valor del parámetro Tipo de forma es hexágono H3, los valores de campo GRID_ID serán un índice jerárquico único para cada celda.

Para todos los demás valores del parámetro Tipo de forma, el campo GRID_ID será un Id. único para cada entidad. El formato de los Id. es A-1, A-2, B-1, B-2, etcétera. Así, se pueden seleccionar filas y columnas mediante consultas con la herramienta Seleccionar capa por atributo. Por ejemplo, seleccione todas las entidades de la columna A con GRID_ID like 'A-%' o seleccione todas las entidades de la fila 1 con GRID_ID like '%-1'.
La referencia espacial de la salida se determina como sigue:
- Valor del parámetro Referencia espacial, si se especifica
- Si no se especifica el parámetro Referencia espacial, se utilizará el valor de entorno del sistema de coordenadas de salida, si se ha establecido.
- Cuando no se configura ninguno de estos, se utiliza la referencia espacial del valor del parámetro Extensión.
El valor del parámetro Extensión consta de las coordenadas que definen un rectángulo, además de una referencia espacial. Cuando se configura la extensión a partir de un objeto existente, como la extensión del mapa activo, o se utiliza arcpy.Describe(dataset).extent en Python, suele incluirse la referencia especial del objeto.
Si el valor del parámetro Extensión tiene una referencia espacial indefinida, se asume que las coordenadas están en la referencia espacial de la salida.
Si el valor del parámetro Extensión tiene una referencia espacial distinta de la referencia espacial del valor del parámetro Clase de entidad de salida, las entidades se generarán en la referencia espacial del valor del parámetro Extensión y se proyectarán en la referencia espacial de la salida. Esto no se aplica cuando el valor del parámetro Tipo de forma es Hexágono H3.
Para generar una cuadrícula en la que se excluyan las entidades de teselación que no intersecan entidades de otro dataset, utilice la herramienta Seleccionar capa por ubicación para seleccionar polígonos de salida que contengan las entidades de origen y utilice la herramienta Copiar entidades para realizar una copia permanente de las entidades de salida seleccionadas en una nueva clase de entidad.
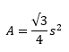
La herramienta genera formas basadas en un área específica. Para determinar el área de una forma en función de la longitud de un lado, utilice una de las siguientes fórmulas para calcular el valor del parámetro Tamaño:
Forma Fórmula Ejemplo Hexágono o Hexágono transversal

Para generar hexágonos con una longitud lateral de 100 metros, especifique el valor del parámetro Tamaño de 25980,76211353316 metros cuadrados (100 elevado a la potencia de 2 multiplicado por 3 multiplicado por la raíz cuadrada de 3 dividido entre 2).
Cuadrado

Para generar cuadrados con una longitud lateral de 100 metros, especifique el valor de parámetro Tamaño de 10.000 metros cuadrados (100 elevado a la potencia de 2).
Rombo

Para generar rombos con una longitud lateral de 100 metros, especifique el valor de parámetro Tamaño de 10.000 metros cuadrados (100 elevado a la potencia de 2).
Triángulo

Para generar triángulos con una longitud lateral de 100 metros, especifique el valor del parámetro Tamaño de 4330,127018922193 metros cuadrados (100 elevado a la potencia de 2 multiplicado por la raíz cuadrada de 3 dividido entre 4).
La opción Hexágono H3 del parámetro Tipo de forma ignora el parámetro Tamaño. El área del hexágono se basará en el valor del parámetro Resolución H3.
Parámetros
arcpy.management.GenerateTessellation(Output_Feature_Class, Extent, {Shape_Type}, {Size}, {Spatial_Reference}, {H3_Resolution})| Nombre | Explicación | Tipo de datos |
Output_Feature_Class | La ruta y el nombre de la clase de entidad de salida que contiene la cuadrícula en teselas. | Feature Class |
Extent | La extensión que cubrirá la teselación. Esta puede ser el área que esté visible actualmente, la extensión de un dataset o valores introducidos manualmente.
| Extent |
Shape_Type (Opcional) | Especifica la forma que se generará.
| String |
Size (Opcional) | El área de cada forma individual que compone la teselación. | Areal Unit |
Spatial_Reference (Opcional) | Referencia espacial que se asignará a la clase de entidad de salida. | Spatial Reference |
H3_Resolution (Opcional) | Especifica la resolución H3 de los hexágonos. Con cada valor de resolución creciente, el área de los polígonos será uno séptimo del tamaño.
Este parámetro está habilitado cuando el parámetro Shape_Type tiene el valor H3_HEXAGON. | Long |
Muestra de código
La siguiente secuencia de comandos de la ventana de Python muestra cómo utilizar la función GenerateTessellation de modo inmediato.
import arcpy
tessellation_extent = arcpy.Extent(0.0, 0.0, 10.0, 10.0)
spatial_ref = arcpy.SpatialReference(4326)
arcpy.management.GenerateTessellation(r"C:\data\project.gdb\hex_tessellation",
tessellation_extent, "HEXAGON",
"100 SquareMiles", spatial_ref)El siguiente script de la ventana de Python muestra cómo utilizar la función GenerateTessellation para crear hexágonos H3.
# Import modules
import arcpy
# Create some variables
out_gdb = r"C:\temp\project.gdb\h3_hexagon"
extent = arcpy.Extent(0.0, 0.0, 10.0, 10.0)
sr = arcpy.SpatialReference(4326)
# Generate H3 hexagons
arcpy.management.GenerateTessellation(out_gdb, Extent=extent, Shape_Type="H3_HEXAGON",
H3_Resolution=5, Spatial_Reference=sr)El siguiente script independiente de Python muestra cómo extraer, mediante programación, una extensión de una clase de entidad y cómo utilizar esa extensión para rellenar los parámetros de la función GenerateTessellation.
# Name: GenerateDynamicTessellation.py
# Purpose: Generate a grid of squares over the envelope of a provided feature
# class.
# Import modules
import arcpy
# Set paths of features
my_feature = r"C:\data\project.gdb\myfeature"
output_feature = r"C:\data\project.gdb\sqtessellation"
# Describe the input feature and extract the extent
description = arcpy.Describe(my_feature)
extent = description.extent
# Find the width, height, and linear unit used by the input feature class' extent
# Divide the width and height value by three.
# Multiply the divided values together and specify an area unit from the linear
# unit.
# Should result in a 4x4 grid covering the extent. (Not 3x3 since the squares
# hang over the extent.)
width = extent.width
height = extent.height
unit = extent.spatialReference.linearUnitName
size = width/3 * height/3
area = f"{size} Square{unit}s"
# Use the extent's spatial reference to project the output
spatial_ref = extent.spatialReference
arcpy.management.GenerateTessellation(output_feature, extent, "SQUARE", area,
spatial_ref)Entornos
Información de licenciamiento
- Basic: Sí
- Standard: Sí
- Advanced: Sí
: la extensión se basará en el mapa o la escena activa.
: la extensión se basará en un rectángulo dibujado en el mapa o la escena.
: la extensión se basará en una capa de mapa activa. Elija una capa disponible o utilice la opción
: extensión de todas las entidades.
: extensión de las entidades seleccionadas.
: extensión de las entidades visibles.
: la extensión se basará en un dataset.
: la extensión puede copiarse en y desde el portapapeles.
: copia la extensión y el sistema de coordenadas en el portapapeles.
: la extensión se restablecerá al valor predeterminado.