| Etiqueta | Explicación | Tipo de datos |
Capa de estadísticas geográficas de entrada | La capa de estadísticas geográficas que se analizará. | Geostatistical Layer |
Clase de entidad de puntos de salida (Opcional) | Almacena las estadísticas de validación cruzada en cada ubicación de la capa de estadísticas geográficas. | Feature Class |
Salida derivada
| Etiqueta | Explicación | Tipo de datos |
| Recuento | Número total de muestras utilizadas. | Long |
| Error medio | Mean Error: diferencia media entre los valores medidos y los previstos. | Double |
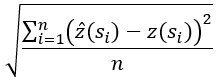
| Valor medio cuadrático | Root Mean Square Error: indica la precisión con la que el modelo predice los valores medidos. | Double |
| Estándar promedio | Average Standard Error: media de los errores estándar de predicción. | Double |
| Valor medio estandarizado | Mean Standardized Error: media de los errores estandarizados. | Double |
| Valor medio cuadrático estandarizado | Root Mean Square Standardized Error: debería ser cercano a 1 si los errores estándar de predicción son válidos. | Double |
| Porcentaje en intervalo del 90% | Percent in 90% Interval: porcentaje de puntos que tienen un intervalo de confianza de validación cruzada del 90 por ciento. Este valor debe ser próximo a 90. | Double |
| Porcentaje en intervalo del 95% | Percent in 95% Interval: porcentaje de puntos que tienen un intervalo de confianza de validación cruzada del 95 por ciento. Este valor debe ser próximo a 95. | Double |
| Average CRPS | Average CRPS: puntuación media de la probabilidad continua clasificada (CRPS) de todos los puntos. CRPS es un diagnóstico que mide la desviación de la función de distribución acumulativa predictiva a cada valor de los datos observados. Este valor debe ser lo más pequeño posible. Este diagnóstico tiene ventajas sobre otros diagnósticos de validación cruzada porque compara los datos con una distribución completa en lugar de con predicciones de un solo punto. El cálculo de esta estadística implica simulaciones para que no se pueda escribir en una fórmula simple. | Double |




