Una forma común de medir la tendencia de un conjunto de puntos o áreas es calcular la distancia estándar por separado en las dimensiones x, y y z. Estas dos medidas definen los ejes de una elipse (o elipsoide) que abarca la distribución de entidades. La elipse se denomina elipse de desviación estándar, ya que el método calcula la desviación estándar de las coordenadas x y las coordenadas y desde el centro medio para definir los ejes de la elipse. En 3D, la desviación estándar de las coordenadas z desde el centro medio también se calculan y el resultado se conoce como elipsoide de desviación estándar. La elipse o elipsoide le permite ver si la distribución de las entidades se elonga y tiene una orientación particular.
Mientras que puede obtener un sentido de la orientación al dibujar las entidades en un mapa, calcular la elipse de desviación estándar hace que la tendencia sea clara. Puede calcular la elipse de desviación estándar al utilizar las ubicaciones de las entidades o las ubicaciones influenciadas por un valor de atributo asociado con las entidades. El último se denomina elipse de desviación estándar ponderada.
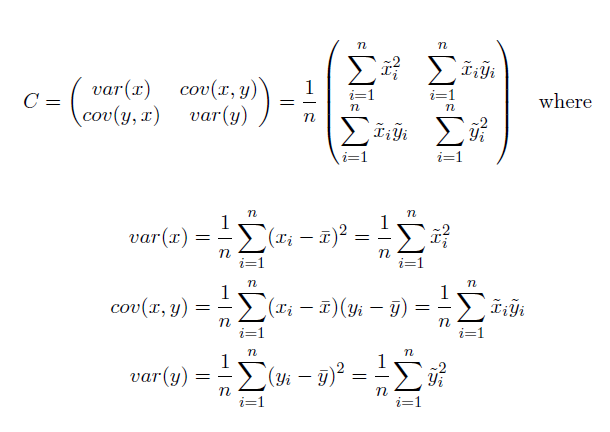
Cálculos
La elipse de desviación estándar se calcula con las fórmulas siguientes:

Donde x e y son las coordenadas para la entidad i, {x̄, ȳ} representa el centro medio para las entidades y n es igual a la cantidad total de entidades.
La matriz de covarianza de muestra se factoriza en un formulario estándar y la matriz se representa por sus valores y vectores eigen. De este modo, las desviaciones estándar para los ejes x e y son:

Estas ecuaciones pueden extenderse a soluciones para datos tridimensionales.
Salida e interpretación
Las desviaciones estándar le ayudan a comprender la dispersión o extensión de sus datos. Al trabajar con datos distribuidos normalmente en una dimensión, el 68, 95 y 99,7 por ciento de los valores de datos quedarían dentro de una, dos y tres desviaciones estándar, respectivamente. No obstante, cuando se trabaja con datos espaciales de mayores dimensiones (variables x,y,z), los porcentajes no son correctos. Por ejemplo, con datos distribuidos normalmente en dos dimensiones, una elipse de desviación estándar cubrirá aproximadamente el 63 por ciento de las entidades; dos desviaciones estándar tendrán aproximadamente el 98 por ciento de las entidades y tres desviaciones estándar cubrirán aproximadamente el 99,9 por ciento de las entidades. De forma similar, los porcentajes son 61, 99 y 100 para tres dimensiones.
Por este motivo, las desviaciones estándar se ajustan a escala mediante un factor de ajuste para generar una elipse o un elipsoide que contienen el 68, 95 y 99 por ciento de las entidades correspondientes a datos 2D y 3D (suponiendo que los datos siguen una distribución espacial normal). En la tabla siguiente se proporcionan estos factores de ajuste para las varianzas (cuadrados de las desviaciones estándar):
| Datos unidimensionales | Datos bidimensionales | Datos tridimensionales | |
|---|---|---|---|
1 desviación estándar | 1.00 | 1.41 | 1.73 |
2 desviaciones estándar | 2.00 | 2.83 | 3.46 |
3 desviaciones estándar | 3.00 | 4.24 | 5.20 |
Para los datos bidimensionales, la herramienta Distribución direccional (Elipse de desviación estándar) crea una nueva clase de entidad que contiene un polígono elíptico centrado en el centro medio para todas las entidades (o para todos los casos donde se especifica un valor para el parámetro Campo de caso). Los valores de atributo para estos polígonos elipse de salida incluyen dos distancias estándar (ejes largo y corto); la orientación de la elipse y el campo de caso, si se especifican. La orientación representa la rotación del eje largo medido en el sentido de las agujas del reloj a partir del mediodía. También puede especificar la cantidad de desviaciones estándar a representar (1, 2 o 3) para cubrir diferentes porcentajes de las entidades.
Para los datos de puntos tridimensionales (los datos están habilitados para z y contienen información de atributos 3D como, por ejemplo, la elevación), esta herramienta crea una nueva clase de entidad que contiene un multiparche elipsoidal centrado en el centro medio para todas las entidades (o para todos los casos cuando se utiliza un campo de caso). Los valores de atributo para estas elipsoides de salida incluyen tres distancias estándar (ejes largo, corto y de altura); información sobre el ángulo, la inclinación y giro de la elipsoide, y el campo de caso, si se especifica. Los valores para el ángulo, la inclinación y giro de la elipsoide describen la orientación de la elipsoide en un espacio 3D. También puede especificar la cantidad de desviaciones estándar a representar (1, 2 o 3) para cubrir diferentes porcentajes de las entidades.

Potenciales aplicaciones
- La asignación de la tendencia distribucional a un conjunto de delitos puede identificar una relación a las entidades físicas particulares (una cadena de bares o restaurantes, un bulevar particular, y así sucesivamente).
- La asignación de muestras de agua subterránea a un contaminante particular puede indicar cómo se expande la toxina y, por consiguiente, puede resultar útil en la implementación de estrategias de mitigación.
- La comparación del tamaño, la forma y la superposición de elipses de varios grupos raciales o étnicos puede proporcionar ideas con respecto a la segregación racial o étnica.
- El gráfico de elipses para el brote de una enfermedad con el transcurso del tiempo se puede utilizar para modelar la extensión.
- Examinar la distribución de las elevaciones de las tormentas de una determinada categoría sería un factor muy útil a tener en cuenta al investigar la relación entre las condiciones atmosféricas y los accidentes aéreos.
Recursos adicionales
Chew, Victor. "Confidence, prediction, and tolerance regions for the multivariate normal distribution". Journal of the American Statistical Association. 61.315 (1966): 605-617. https://doi.org/10.1080/01621459.1966.10480892.
Fisher, N. I., T. Lewis, and B. J. J. Embleton. 1987. "Statistical Analysis of Spherical Data". Primera edición. Cambridge: Cambridge University Press. Cambridge Books Online. Web. 26 de abril de 2016. https://doi.org/10.1017/CBO9780511623059.
Levine, Ned. "CrimeStat III: a spatial statistics program for the analysis of crime incident locations (version 3.0)." Houston (TX): Ned Levine & Associates/Washington, DC: National Institute of Justice (2004). https://doi.org/10.3886/ICPSR02824.v1.
Wang, Bin, Wenzhong Shi, and Zelang Miao. 2015. "Confidence Analysis of Standard Deviational Ellipse and Its Extension into Higher Dimensional Euclidean Space". PLoS ONE. 10(3), e0118537.https://doi.org/10.1371/journal.pone.0118537.