Disponible avec une licence Geostatistical Analyst.
Le krigeage d’indicatrices implique le modèle
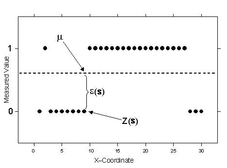
I(s) = µ + ε(s),
où µ est une constante inconnue et I(s) une variable binaire. La création de données binaires peut s’effectuer par l’utilisation d’un seuil pour des données continues ou par l’attribution de la valeur 0 ou 1 aux données observées. Par exemple, vous pouvez disposer d’un échantillon composé d’informations spécifiant si un point est un habitat forestier ou non forestier, où la variable binaire indique l’appartenance à la classe. En utilisant des variables binaires, le krigeage d’indicatrices procède de la même façon que le krigeage ordinaire.
Dans la figure suivante, les données ont été converties en valeurs binaires avec le seuil indiqué dans la rubrique Comprendre les seuils.

Les données binaires observées sont données par les crochets ouverts. La moyenne inconnue de toutes les variables indicatrices est représentée par la ligne pointillée et est égale à µ. Cette technique peut être comparée au krigeage ordinaire. Comme pour le krigeage ordinaire, vous supposez que ε(s) est auto-corrélé. Puisque les variables indicatrices sont 0 ou 1, les interpolations sont comprises entre 0 et 1, et les prévisions effectuées à partir du krigeage d’indicatrices peuvent être interprétées sous la forme de probabilités que la variable soit égale à 1 ou appartienne à la classe indiquée par 1. Si un seuil est utilisé pour créer la variable indicatrice, la carte d’interpolation obtenue affiche les probabilités de dépassement (ou de non-dépassement) du seuil.
Il est possible de créer plusieurs variables indicatrices pour le même jeu de données en choisissant plusieurs seuils. Dans ce cas, un seuil crée la variable indicatrice principale et les autres variables indicatrices sont utilisées comme variables secondaires dans le cokrigeage.
Le krigeage d’indicatrices peut utiliser des semi-variogrammes ou des covariances, qui sont les formes mathématiques utilisées pour exprimer l’auto-corrélation.
Rubriques connexes
Vous avez un commentaire à formuler concernant cette rubrique ?