| Étiquette | Explication | Type de données |
Table en entrée | Table qui contient les champs dont les valeurs doivent être standardisées. | Table View; Raster Layer; Mosaic Layer |
Champ à standardiser | Champs contenant les valeurs à standardiser. Pour chaque champ, un nom de champ en sortie peut être spécifié. Si aucun nom de champ en sortie n’est spécifié, l’outil en crée un, basé sur le nom du champ et la méthode sélectionnée. | Value Table |
Méthode de standardisation (Facultatif) | Spécifie la méthode à utiliser pour standardiser les valeurs présentes dans les champs spécifiés.
| String |
Valeur minimale (Facultatif) | Valeur utilisée par la méthode Minimum-maximum du paramètre Standardization Method (Méthode de standardisation) pour spécifier la valeur minimale dans l’échelle des valeurs en sortie spécifiées. | Double |
Valeur maximale (Facultatif) | Valeur utilisée par la méthode Minimum-maximum du paramètre Standardization Method (Méthode de standardisation) pour spécifier la valeur maximale dans l’échelle des valeurs en sortie spécifiées. | Double |
Sortie obtenue
| Étiquette | Explication | Type de données |
| Table en entrée mise à jour | Tableau contenant les nouveaux champs standardisés. | Table View |

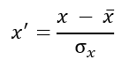
, où x' est la valeur standardisée, x est la valeur initiale, x̄ est la moyenne et σx est l’écart type.
, où x' est la valeur standardisée, x est la valeur initiale, min(x) est le minimum des données, max(x) est le maximum des données, a est le minimum spécifié par l’utilisateur et b est le maximum spécifié par l’utilisateur.
, où x' est la valeur standardisée, x est la valeur initiale et max(|x|) est le maximum des valeurs absolues dans les données.
, où x' est la valeur standardisée, x est la valeur initiale, median(x) est la médiane des données et IQR(x) est l’intervalle interquartile des données.