Haut
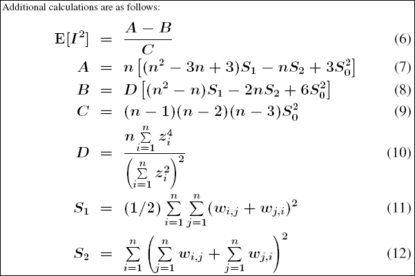
Autres formules mathématiques de l'indice global de Moran
Vous avez un commentaire à formuler concernant cette rubrique ?
flist