Les éléments suivants représentent les distributions disponibles pour les différents outils qui créent des valeurs aléatoires. Les distributions transforment les valeurs aléatoires 0-1 créées à partir du flux spécifié (identifié globalement dans l'environnement d'analyse ou localement au niveau de l'outil) en une distribution spécifiée. Consultez la rubrique Syntaxe de distribution des valeurs aléatoires pour afficher la syntaxe et les paramètres de chaque distribution.
Distribution uniforme
La distribution uniforme est une distribution de probabilité continue dans laquelle toutes les valeurs d'un intervalle spécifié affichent la même probabilité. Une distribution d'entiers est une version discrète de la distribution uniforme (voir ci-dessous). La distribution uniforme peut être utilisée lors de la modélisation de concentrations d'un gaz dans un modèle de simulation ou d'un délai entre des accidents à une intersection, ainsi que pour placer les points à l'aide de l'outil Créer des points aléatoires.
La distribution uniforme est souvent utilisée pour modéliser des événements aléatoires lorsque la probabilité qu'un résultat ou une occurrence se produise est égale.

La formule de la distribution uniforme est la suivante :

où
a représente la valeur minimale pour l'intervalle affichant une probabilité égale.
b représente la valeur maximale pour l'intervalle affichant une probabilité égale.
x représente les observations.
Les valeurs aléatoires sélectionnées sont situées entre les valeurs minimum et maximum (ces deux valeurs étant exclues). La valeur minimum doit être inférieure à la valeur maximum. Si les valeurs minimum et maximum ne sont pas fournies, des variables uniformes entre 0.0 et 1.0 sont créées.
Distribution d'entiers
La distribution d'entiers est une distribution de la probabilité dans laquelle toutes les valeurs discrètes d'un intervalle spécifié affichent la même probabilité. La distribution d'entiers est la version discrète de la distribution uniforme (voir ci-dessus). La distribution d'entiers peut être utilisée pour modéliser la probabilité de tomber sur chaque face d'un dé (chaque nombre affiche une probabilité de 1 sur 6), modéliser des événements aléatoires dans un modèle de simulation, ou sélectionner des échantillons d'emplacements pour une étude biologique.
La distribution d'entiers est souvent utilisée pour modéliser des événements aléatoires lorsque la probabilité qu'un résultat ou une occurrence se produise est égale.

La formule de la distribution d'entiers est la suivante :

où
a représente la valeur minimale pour l'intervalle affichant une probabilité égale.
b représente la valeur maximale pour l'intervalle affichant une probabilité égale.
x représente les observations.
Les valeurs aléatoires sélectionnées sont situées entre les valeurs minimum et maximum (ces deux valeurs étant exclues). La valeur minimum doit être inférieure à la valeur maximum. Si les valeurs minimum et maximum ne sont pas fournies, des valeurs uniformes entre 1 et 100 sont créées.
Distribution normale
La distribution normale modélise des variables aléatoires continues qui se produisent fréquemment. La distribution normale est souvent utilisée et s'applique à de nombreuses applications. Elle repose sur le théorème de la limite centrale spécifiant que la somme des variables aléatoires est répartie normalement si les observations sont nombreuses. Par exemple, le nombre de fois où une pièce lancée tombe côté face approche la normalité si la pièce est lancée de nombreuses fois. La taille des habitants d'un pays, les valeurs d'altitude d'un état et les résultats d'une épreuve de mathématique passée par tous les élèves âgés de 12 ans sont des exemples de distributions normales.

La formule de la distribution normale est la suivante :

où
μ représente la moyenne.
σ représente l'écart type (un nombre positif).
La distribution normale est symétrique par rapport à la moyenne, au mode et à la médiane, ces valeurs étant toutes égales à μ.
Souvent, les distributions binomiales et Poisson modélisent des événements futurs discrets, indépendants, aléatoires, vrais ou faux (par exemple, le nombre de fois qu'une pièce lancée tombe côté face) à l'aide d'un nombre relativement petit d'observations, tandis que la distribution normale modélise des variables continues (par exemple, une hauteur, un poids et une quantité) à l'aide d'un grand nombre d'observations. Les distributions binomiales et Poisson reposent sur la probabilité, tandis que la distribution normale représente le nombre d'observations qui correspondent à la quantité ou à la magnitude.
Distribution exponentielle
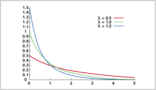
La distribution exponentielle est une distribution de probabilité continue. Elle est généralement utilisée pour modéliser le temps entre des événements qui se produisent à une fréquence moyenne constante, ou pour modéliser l'occurrence d'événements selon une distance par unité. Le temps qui s'écoule jusqu'au prochain accident à une intersection, le temps entre l'apparition de deux étoiles filantes dans le ciel, et la distance entre des nids de poule d'une rue sont des exemples d'utilisation de la distribution exponentielle. Dans chacun de ces exemples, lorsque le temps ou la distance augmente, il existe une chance exponentielle pour que l'état change ou l'événement se produise. Les occurrences des événements sont indépendantes les unes des autres.

La formule de la distribution exponentielle est la suivante :

où
e représente le logarithme naturel.
x représente le nombre possible d'occurrences pour l'événement (valeurs entières positives).
La distribution exponentielle modélise des processus Poisson où le phénomène est à un état initial. La distribution exponentielle est la version continue de la distribution géométrique. Si le processus de déplacement de l'état A vers l'état B peut être fractionné en plusieurs tâches indépendantes, il peut être préférable de le modéliser avec la distribution gamma. La distribution gamma modélise la somme de plusieurs variables indépendantes, réparties de façon exponentielle. Elle peut être considérée comme un cas particulier de distribution exponentielle.
Distribution Poisson
La distribution Poisson est une distribution de probabilité discrète. La distribution Poisson modélise la probabilité du nombre d'événements se produisant pendant une phase fixe en fonction d'une moyenne connue. Les événements sont indépendants de la dernière fois où ils se sont produits. L'axe des x affiche les valeurs discrètes pour les événements 0, 1, 2, 3, 4, et ainsi de suite, (représentant souvent le nombre de fois où l'événement se produit), et l'axe des y indique la probabilité que le phénomène se produise à cette fréquence par rapport à une moyenne connue. Les événements peuvent représenter le nombre d'accidents survenant à une intersection, le nombre d'anomalies congénitales, ou le nombre d'élans au kilomètre carré. La distribution Poisson modélise les occurrences rares. La distribution est parfois appelée loi des petits nombres car l'événement ne se produit pas souvent, mais il existe de nombreuses possibilités pour qu'il le fasse.

La formule est la suivante :

où
e représente le logarithme naturel.
k représente le nombre possible d'occurrences pour l'événement (valeurs entières positives).
k! représente une factorielle de k.
λ (ou la moyenne) est un nombre positif représentant le nombre attendu d'occurrences dans un intervalle spécifié. Si l'événement se produit toutes les 10 minutes, par heure (60 minutes), la valeur lambda serait 6.
La distribution Poisson est semblable à la distribution binomiale ; cependant, la distribution Poisson modélise l'occurrence d'un événement rare sans connaître le nombre total d'occurrences possibles. La distribution Poisson examine le nombre d'accidents survenus à une intersection, tandis que la distribution binomiale modélise le nombre d'accidents par rapport au nombre de voitures qui traversent cette intersection.
Distribution gamma
La distribution gamma est une distribution de probabilité continue. La distribution gamma modélise la somme de plusieurs variables indépendantes, réparties de façon exponentielle. Elle peut être considérée comme un cas particulier de distribution exponentielle.

La formule de la distribution gamma est la suivante :

Vous pouvez également configurer la distribution gamma de la façon suivante :

Pour une valeur alpha de 1, la distribution gamma équivaut à la distribution exponentielle. Lorsque la valeur alpha est un nombre entier, la distribution gamma devient la distribution d'Erlang. Pour un nombre entier alpha et un bêta de 2, la distribution gamma devient une distribution khi carré avec 2 degrés de liberté alpha.
Les variables résultantes sont supérieures ou égales à 0.0. Les valeurs alpha et bêta doivent être supérieures à 0.0.
Distribution binomiale
La distribution binomiale modélise le nombre d'occurrences d'un événement en observant une séquence des déclencheurs potentiels de l'événement. Par exemple, la distribution binomiale peut être utilisée dans une étude clinique pour déterminer le nombre de personnes décédées de crise cardiaque, le nombre de personnes qui quittent l'ascenseur au deuxième étage, ou le nombre d'animaux porteurs d'un certain caractère génétique au sein d'une population.

La distribution binomiale décrit des occurrences et non pas une magnitude. Elle permet de modéliser le nombre de participants qui ont terminé une course, mais pas leur classement.
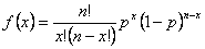
La formule de la distribution binomiale est la suivante :

où
n représente le nombre d'observations.
p représente la probabilité d'occurrence.
x représente le nombre de succès, compris entre 0 et n.
Par exemple, la distribution binomiale est souvent utilisée pour déterminer la probabilité qu'une pièce lancée 10 fois tombe côté face (n = 10). Elle peut tomber 0 fois sur 10 côté face, 1 fois sur 10, etc. ; par conséquent, x = 0, 1, 2, 3, 4, 5, 6, 7, 8, 9, 10. Et p représente la probabilité pour chaque x.
Toutes les tentatives sont indépendantes, et chacune donne un résultat positif ou négatif.
La distribution binomiale s'apparente à la distribution Poisson pour une grande valeur n et une petite valeur p. Dans ce cas, il peut être préférable d'utiliser la distribution Poisson.
La distribution binomiale renvoie une variable aléatoire pour le nombre de réussites sur n tentatives où la probabilité de réussite de chaque tentative correspond à la valeur p (par exemple, la probabilité que la pièce tombe côté face est p).
Distribution géométrique
La distribution géométrique est une distribution de probabilité discrète. Elle permet de modéliser deux principaux types de phénomènes : (1) la probabilité du nombre de tentatives nécessaires à un succès (par exemple, le nombre de lancers de dé nécessaires avant d'obtenir un 6), ou (2) la probabilité du nombre d'échecs avant un succès (par exemple, le nombre de randonnées que vous devez effectuer avant d'apercevoir un cerf). La probabilité de ne pas apercevoir un cerf à la première randonnée est de (1 - p). Pour la deuxième randonnée, la probabilité est de (1 - p) (1 - p). Au fur et à mesure des randonnées, la probabilité d'apercevoir un cerf diminue de façon exponentielle, jusqu'à ce qu'un cerf finisse par apparaître. Les événements sont indépendants les uns des autres.

La formule de la distribution géométrique est la suivante :

où
p représente la probabilité de succès.
n représente le nombre de tentatives.
La distribution géométrique est la version discrète de la distribution exponentielle (voir ci-dessus). La distribution géométrique est un cas particulier de la distribution binomiale négative, ou distribution Pascal dont la valeur r est égale à 1 (voir ci-dessous).
Distribution binomiale négative
La distribution binomiale négative est une distribution de probabilité discrète. Elle repose sur des essais de Bernoulli. Les essais de Bernoulli modélisent des événements dans lesquels des essais donnent un résultat parmi deux possibilités (succès et échec), comportent une probabilité de succès p (la valeur p étant identique pour chaque tentative) et où les tentatives sont indépendantes les unes des autres. Le lancer d'une pièce est un essai de Bernoulli. Par exemple, la distribution binomiale négative permet de modéliser le nombre nécessaire de lancers avant qu'une pièce ne tombe cinq fois de suite côté face. La distribution binomiale négative modélise donc le nombre d'échecs avant un succès. Lorsque la valeur r est un nombre entier, la distribution binomiale négative représente un cas spécial appelé distribution Pascal.
La formule de la distribution binomiale négative est la suivante :

où
r représente le nombre d'échecs.
p représente la probabilité de succès.
k représente le nombre de succès, compris entre 0 et n.
Lorsque la distribution binomiale négative représente le lancer d'une pièce, une valeur aléatoire est renvoyée pour le nombre de lancers nécessaires avant que la pièce ne tombe côté face.
Vous avez un commentaire à formuler concernant cette rubrique ?