| Étiquette | Explication | Type de données |
Couche géostatistique en entrée | Couche géostatistique à analyser. | Geostatistical Layer |
Classe d’entités ponctuelles en sortie (Facultatif) | Stocke les statistiques de validation croisée à chaque localisation dans la couche géostatistique. | Feature Class |
Sortie obtenue
| Étiquette | Explication | Type de données |
| Total | Nombre total d’échantillons utilisés. | Long |
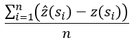
| Erreur moyenne | Erreur moyenne : différence moyennée entre les valeurs mesurées et prédites. | Double |
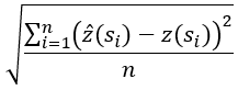
| Erreur quadratique moyenne | Erreur quadratique moyenne : indique la pertinence de prédiction des valeurs mesurées par votre modèle. | Double |
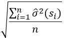
| Erreur standard moyenne | Erreur standard moyenne : moyenne des erreurs standard de prédiction. | Double |
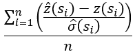
| Erreur standardisée moyenne | Erreur standardisée moyenne : moyenne des erreurs standardisées. | Double |
| Erreur quadratique moyenne standardisée | Erreur quadratique moyenne standardisée : cette valeur doit être proche de 1 si les erreurs standard de prédiction sont valides. | Double |
| Pourcentage dans l’intervalle de 90 % | Pourcentage dans l’intervalle de 90 % : pourcentage de points qui se trouvent dans un intervalle de confiance de validation croisée de 90 pour cent. Cette valeur doit être proche de 90. | Double |
| Pourcentage dans l’intervalle de 95 % | Pourcentage dans l’intervalle de 95 % : pourcentage de points qui se trouvent dans un intervalle de confiance de validation croisée de 95 pour cent. Cette valeur doit être proche de 95. | Double |
| Average CRPS (CRPS moyen) : | CRPS moyen : score de probabilité classé continu moyen de tous les points. Le CRPS est un diagnostic qui mesure l’écart entre la fonction de distribution cumulative prédictive et chaque valeur de donnée observée. Cette valeur doit être aussi petite que possible. Ce diagnostic comporte des avantages sur les autres diagnostics de validation croisée car il compare les données à une distribution complète et non à des prévisions de point unique. Le calcul de cette statistique implique des simulations et ne peut donc pas être écrit dans une formule simple. | Double |




