Disponible avec une licence Spatial Analyst.
L’outil Densité de noyau calcule la densité des entités dans leur voisinage. Elle peut être calculée pour les entités ponctuelles et linéaires.
Vous pouvez utiliser cet outil notamment à des fins d’urbanisme, pour analyser la densité résidentielle ou criminelle, et étudier l’impact du réseau routier et du réseau de services publics sur l’habitat de la faune. Le champ de population permet d’appliquer une pondération plus importante à certaines entités ou de représenter plusieurs observations par un seul point. Par exemple, une adresse peut représenter une copropriété de six appartements ou certains délits peuvent être pondérés davantage que d’autres pour déterminer les taux de criminalité dans leur ensemble. Dans le cas d’entités linéaires, une autoroute à chaussées séparées peut avoir plus d’impact qu’une étroite piste en terre battue.
Méthode de calcul de la densité de noyau
La densité de noyau est calculée différemment selon les entités.
Entités ponctuelles
L’outil Densité de noyau calcule la densité d’entités ponctuelles autour de chaque cellule raster en sortie.
Théoriquement, une surface uniformément incurvée passe par chaque point. La valeur de la surface est maximale à l’emplacement du point et diminue à mesure que l’on s’en éloigne, pour atteindre zéro à la distance Search radius (Rayon de recherche) à partir du point. Seul un voisinage circulaire est possible. Le volume sous la surface équivaut à la valeur du champ Population pour le point, ou à la valeur 1 si le paramètre NONE (Aucun) est défini. La densité à chaque cellule raster en sortie est calculée par l’addition des valeurs de toutes les surfaces de noyau où elles se superposent au centre de la cellule raster. La fonction Densité de noyau est basée sur la fonction de noyau quartique décrite par Silverman (1986, p. 76, équation 4.5).
Si un autre paramètre que NONE (Aucun) est utilisé pour le champ de population, la valeur de chaque élément détermine le nombre de comptabilisations du point. Par exemple, avec la valeur 3, le point compte pour trois points. Les valeurs peuvent être entières ou à virgule flottante.
Par défaut, une unité est sélectionnée en fonction de l’unité linéaire de la définition de la projection des données des entités ponctuelles en entrée ou telle qu’elle est spécifiée dans le paramètre d’environnement Système de coordonnées en sortie.
Si un facteur Area units (Unités de surface) en sortie est sélectionné, la densité calculée pour la cellule est multipliée par le facteur correspondant avant d’être écrite dans le raster en sortie. Par exemple, si les unités en entrée sont des mètres, les unités de surface en sortie sont par défaut des Square kilometers (kilomètres carrés). La comparaison d’un facteur d’échelle d’unité de mètres aux kilomètres entraîne une différence entre les valeurs en raison de l’application d’un multiplicateur de 1 000 000 (1 000× 1 000 mètres).
Entités linéaires
L’outil Densité de noyau peut également calculer la densité d’entités linéaires dans le voisinage de chaque cellule raster en sortie.
Théoriquement, une surface uniformément incurvée passe par chaque ligne. Sa valeur est la plus élevée sur la ligne et diminue à mesure que l’on s’en éloigne, pour atteindre zéro à la distance Search radius (Rayon de recherche) définie à partir de la ligne. La surface est définie de façon que le volume sous la surface est égal au produit de la multiplication de la longueur de la ligne par la valeur du champ Population. La densité à chaque cellule raster en sortie est calculée par l’addition des valeurs de toutes les surfaces de noyau où elles se superposent au centre de la cellule raster. L’utilisation de la fonction noyau pour les lignes est adaptée de la fonction de noyau quartique pour les densités de points, comme décrit par Silverman (1986, p. 76, équation 4.5).

L’illustration ci-dessus présente un segment de ligne ainsi que la surface de noyau qui est disposée dessus. La part de ce segment de ligne dans la densité est égale à la valeur de la surface de noyau au centre de la cellule raster.
Par défaut, une unité est sélectionnée en fonction de l’unité linéaire de la définition de la projection des données des entités polylignes en entrée ou telle qu’elle est spécifiée dans le paramètre d’environnement Output Coordinate System (Système de coordonnées en sortie).
Lorsqu’un facteur Area units (Unités de surface) en sortie est spécifié, il convertit les unités de longueur et de surface. Par exemple, si les unités en entrée sont des mètres, les unités de surface en sortie sont par défaut Square kilometers (Kilomètres carrés), et les unités de densité de lignes obtenues sont converties en kilomètres par kilomètre carré. La comparaison d’un facteur d’échelle d’unité de mètres aux kilomètres se traduira par une différence des valeurs de densité en raison de l’application d’un multiplicateur de 1 000.
Vous pouvez contrôler les unités de densité pour les entités ponctuelles et linéaires en sélectionnant manuellement le facteur approprié. Pour exprimer la densité en mètres par mètre carré (et non plus par défaut en kilomètres par kilomètre carré), définissez les unités de surface sur Square meters (Mètres carrés). De la même manière, pour obtenir les unités de densité de votre sortie en miles par mile carré, définissez les unités de surface sur Square miles (Miles carrés).
En savoir plus sur les unités de distance
Si un champ de population autre qu'AUCUN est utilisé, la longueur de la ligne est considérée comme sa longueur réelle multipliée par la valeur du champ de population pour cette ligne.
Formules de calcul de la densité de noyau
Les formules suivantes indiquent comment la densité de noyau est calculée pour les points et comment le rayon de recherche par défaut est déterminé dans la formule de la densité de noyau.
Prévision de la densité des points
La densité prévue à un nouvel emplacement (x,y) est déterminée par la formule suivante :

où :
- i = 1,…,n sont les points en entrée. Il convient d’inclure dans la somme uniquement des points situés dans le rayon de l’emplacement (x,y).
- popi correspond à la valeur du champ de population du point I, qui est un paramètre facultatif.
- disti désigne la distance entre le point i et l’emplacement (x,y).
La densité calculée est ensuite multipliée par le nombre de points ou par la somme du champ de population le cas échéant. Cette correction rend l’intégrale spatiale égale au nombre de points (ou à la somme du champ de population), alors qu’elle est habituellement égale à 1. Cette implémentation utilise un noyau quartique (Silverman, 1986). La formule doit être calculée pour chaque emplacement dont vous souhaitez estimer la densité. Étant donné qu’un raster est créé, les calculs sont appliqués au centre de chaque cellule du raster en sortie.
Rayon de recherche par défaut (bande passante)
L’algorithme permettant de déterminer le rayon de recherche par défaut, également appelé bande passante, est le suivant :
- Calcule le centre moyen des points en entrée. Si un champ de population a été fourni, ce calcul et tous les calculs suivants sont pondérés par les valeurs de ce champ.
- Calcule la distance à partir du centre moyen (pondéré) de tous les points.
- Calcule la médiane (pondérée) de ces distances, Dm.
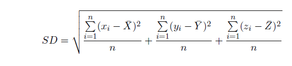
- Calcule la distance standard (pondérée), SD.
Pour en savoir plus, reportez-vous à la rubrique consacrée à l’outil de statistiques spatiales Distance standard.
- Applique la formule suivante pour calculer la bande passante.

où :
- Dm représente la distance médiane (pondérée) à partir du centre moyen (pondéré).
- n représente le nombre de points si aucun champ de population n’est utilisé, ou la somme des valeurs du champ de population si ce champ est fourni.
- SD représente la distance standard.
Il convient de préciser que la partie min de l’équation indique que des deux options, SD ou
, celle qui produit la plus petite valeur est utilisée.
Deux méthodes permettent de calculer la distance standard : non pondérée et pondérée.
Distance non pondérée

où :
- x i , y i et z i sont les coordonnées de l’entité i
- {x̄, ȳ, z̄} représente le centre moyen des entités.
- n est égal au nombre total d’entités.
Distance pondérée

où :
- wi est la pondération à l’entité i.
- {x w, y w, z w} représente le centre moyen pondéré.
Méthodologie
Cette méthodologie de choix du rayon de recherche, qui repose sur la formule d’estimation de la bande passante selon la règle générale de Silverman, a été adaptée pour deux dimensions. Cette approche de calcul d’un rayon par défaut permet généralement d’éviter le phénomène d’anneau autour des points qui se produit souvent en présence d’un jeu de données clairsemé. Elle est également efficace contre les points spatiaux aberrants (les quelques points très éloignés des autres).
Effet d’une interruption sur le calcul de densité
Une interruption modifie l’influence d’une entité lors du calcul de densité de noyau pour une cellule dans le raster en sortie. L’interruption peut être une couche d’entités polylignes ou surfaciques. Elle peut affecter le calcul de la densité de deux façons, soit en augmentant la distance entre une entité et la cellule où la densité est calculée, soit en excluant une entité du calcul.
En l’absence d’interruption, la distance entre une entité et une cellule est la plus courte possible, c’est-à-dire une ligne droite entre deux points. Avec une interruption ouverte, généralement représentée par une polyligne, le chemin entre une entité et une cellule est influencé par l’interruption. Dans ce cas, la distance entre l’entité et la cellule est augmentée par un contournement de l’interruption, comme le montre l’illustration ci-dessous. En conséquence, l’influence de l’entité sur le calcul de la densité dans la cellule est atténuée. Le chemin autour de l’interruption est créé en connectant une série de lignes droites pour contourner l’interruption depuis le point en entrée jusqu’à la cellule. La distance reste la plus courte autour de l’interruption, mais elle est plus longue que s’il n’y avait pas d’interruption. Dans le cas d’une interruption fermée, généralement représentée par un polygone englobant complètement plusieurs entités, le calcul de la densité dans une cellule d’un côté de l’interruption exclut complètement les entités de l’autre côté de l’interruption.

Dans certaines situations, l’opération de densité de noyau avec une interruption peut donner des résultats plus réalistes et plus précis que l’opération de densité de noyau sans interruption. Par exemple, lors de l’exploration de la densité de la distribution d’une espèce d’amphibiens, la présence d’une falaise ou d’une route peut affecter leurs déplacements. La falaise ou la route peuvent être utilisées comme interruption pour obtenir une meilleure estimation de la densité. De même, le résultat d’une analyse de la densité du taux de criminalité dans une ville peut varier si une rivière qui traverse la ville est vue comme une interruption.
L’illustration ci-dessous montre la sortie de la densité de noyau des accidents de circulation nocturnes à Los Angeles (données disponibles sur le portail de données SIG du comté de Los Angeles). L’estimation de la densité sans interruption se trouve à gauche (1) et celle avec une interruption des deux côtés des routes se trouve à droite (2). L’outil fournit une bien meilleure estimation de la densité en utilisant l’interruption, avec la distance mesurée le long du réseau routier, qu’en mesurant la distance la plus courte entre les lieux des accidents.

Bibliographie
Silverman, Bernard W. 1986. Density Estimation for Statistics and Data Analysis. New York: Chapman and Hall.
Rubriques connexes
Vous avez un commentaire à formuler concernant cette rubrique ?