Spatial Analyst のライセンスで利用可能。
サマリー
Defines a fuzzy membership function with the smaller input values having membership closer to 1. The function is defined by a user-specified midpoint (which is assigned a membership of 0.5) with a defined spread.
説明
The tool that uses the FuzzySmall object: Fuzzy Membership.
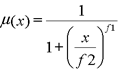
The equation for the fuzzy Small function is:

The inputs to the equation are f1, the spread, and f2, the midpoint. Increasing the spread causes the fuzzy membership curve to become steeper.
The Small function is useful when the small input values have a higher membership.
The input values can be either integer or floating point positive values.

構文
FuzzySmall (midpoint, spread)
| パラメーター | 説明 | データ タイプ |
midpoint | The user-defined value with a fuzzy membership of 0.5. The default is the midpoint of the range of values of the input raster. | Double |
spread | Defines the spread of the Small function. The spread generally ranges from 1 to 10, with the larger the value results in a steeper distribution from the midpoint. (デフォルト値は次のとおりです 5) | Double |
プロパティ
| プロパティ | 説明 | データ タイプ |
| midpoint (読み書き) | The user-defined value defining the midpoint for the membership function. | Double |
| spread (読み書き) | Defines the spread of the membership function. The larger the value results in a steeper distribution from the midpoint. | Double |
コードのサンプル
Demonstrates how to create a FuzzySmall class and use it in the FuzzyMembership tool within the Python window.
import arcpy
from arcpy.sa import *
from arcpy import env
env.workspace = "c:/sapyexamples/data"
outFzyMember = FuzzyMembership("as_std", FuzzySmall(19, 8))
outFzyMember.save("c:/sapyexamples/fzysml")Performs a FuzzyMembership using the FuzzySmall class.
# Name: FuzzySmall_Ex_02.py
# Description: Scales input raster data into values ranging from zero to one
# indicating the strength of a membership in a set.
# Requirements: Spatial Analyst Extension
# Import system modules
import arcpy
from arcpy import env
from arcpy.sa import *
# Set environment settings
env.workspace = "C:/sapyexamples/data"
# Set local variables
inRaster = "as_std"
# Create the FuzzySmall algorithm object
midpoint = 12
spread = 8
myFuzzyAlgorithm = FuzzySmall(midpoint, spread)
# Execute FuzzyMembership
outFuzzyMember = FuzzyMembership(inRaster, myFuzzyAlgorithm)
# Save the output
outFuzzyMember.save("c:/sapyexamples/fzysml2")