Spatial Analyst のライセンスで利用可能。
サマリー
Defines a Large transformation function which is determined from the midpoint and spread shape–controlling parameters as well as the lower and upper threshold that identify the range within which to apply the function.
Learn more about how the parameters affect this transformation function
説明
The tool that uses the TfLarge object is Rescale by Function.
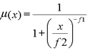
The equation for the Large transformation function is:

The inputs to the equation are f1, the spread, and f2, the midpoint.
The function values range from 0 to 1, which are then transformed to the evaluation scale.
The spread determines how rapidly the transformation function values increase and decrease around the midpoint. If the midpoint is within the range of the lower and upper thresholds, then the spread determines how rapidly the function values increase to the toScale and decrease to the fromScale. The larger the spread, the steeper the function values will be around the midpoint. Said another way, as the spread gets smaller, the transformation function values approach the midpoint more slowly.
The selection of an appropriate spread value is a subjective process that is dependent on the range of the input values. The default value of 5 is a good starting point.
Input values that are negative (below zero) will be assigned to the evaluation value that is assigned to zero.
The Large function is most useful when you want the larger input values to receive the higher output evaluation values (the larger values are preferred).
構文
TfLarge ({midpoint}, {spread}, {lowerThreshold}, {valueBelowThreshold}, {upperThreshold}, {valueAboveThreshold})| パラメーター | 説明 | データ タイプ |
midpoint |
Defines the transition point of the transformation function where the curve becomes more convex for the values lesser than the midpoint and more concave for values greater than the midpoint. Shifting the midpoint less than the midpoint of the input data alters the transition point, resulting in an increase in the range of the larger values above the midpoint being more preferred, with the preference increasing at a faster rate. The midpoint cannot equal 0. (デフォルト値は次のとおりです None) | Double |
spread | Defines the spread of the Large transformation function that controls how quickly the function values increase and decrease from the midpoint. The spread generally ranges from 1 to 10; the larger the value results in a steeper distribution around the midpoint. The spread must be > 0. (デフォルト値は次のとおりです 5) | Double |
lowerThreshold | Defines the starting value at which to begin applying the specified transformation function. The input value corresponding to the lowerThreshold is assigned to the fromScale evaluation scale value on the output raster. Input values below the lowerThreshold are assigned to the valueBelowThreshold and are not considered in the function value range. The lowerThreshold must be less than the upperThreshold. (デフォルト値は次のとおりです None) | Double |
valueBelowThreshold | A user-specified value to assign output cell locations with input values below the lowerThreshold. The value for valueBelowThreshold can be float, integer, or NoData. In the tool dialog box, no quotation marks are used around NoData; however, quotation marks are required around "NoData" when scripting. (デフォルト値は次のとおりです None) | Variant |
upperThreshold | Defines the ending value at which to stop applying the specified transformation function. The input value corresponding to the upperThreshold is assigned to the toScale evaluation scale value on the output raster. Input values above the upperThreshold are assigned to the valueAboveThreshold and are not considered in the function value range. The lowerThreshold must be less than the upperThreshold. (デフォルト値は次のとおりです None) | Double |
valueAboveThreshold | A user-specified value to assign output cell locations with input values above the upperThreshold. The value for valueAboveThreshold can be float, integer, or NoData. In the tool dialog box, no quotation marks are used around NoData; however, quotation marks are required around "NoData" when scripting. (デフォルト値は次のとおりです None) | Variant |
プロパティ
| プロパティ | 説明 | データ タイプ |
| midpoint (読み書き) | The value of the midpoint for the transformation function which defines the transition point of the function curve. | Double |
| spread (読み書き) |
The value of the spread for the transformation function which controls how quickly the function values increase and decrease from the midpoint. | Double |
| lowerThreshold (読み書き) |
The value of the lowerThreshold for the transformation function which defines the starting value at which to begin applying the specified transformation function. | Double |
| valueBelowThreshold (読み書き) |
The value that will be assigned to the output cells whose input values are below the lowerThreshold. | Variant |
| upperThreshold (読み書き) |
The value of the upperThreshold for the transformation function which defines the ending value at which to stop applying the specified function. | Double |
| valueAboveThreshold (読み書き) | The value that will be assigned to the output cells whose input values are above the upperThreshold. | Variant |
コードのサンプル
Demonstrates how to create a TfLarge class and use it in the RescaleByFunction tool within the Python window.
import arcpy
from arcpy.sa import *
from arcpy import env
env.workspace = "c:/sapyexamples/data"
outRescale = RescaleByFunction("distroads", TfLarge(4075, 4.5, "#", "#", "#", "#"), 1, 10)
outRescale.save("c:/sapyexamples/rescaletfla1")Demonstrates how to transform the input data with the RescaleByFunction tool using the TfLarge class.
# Name: TfLarge_Ex_02.py
# Description: Rescales input raster data using a Large function and
# transforms the function values onto a specified evaluation scale.
# Requirements: Spatial Analyst Extension
# Author: esri
# Import system modules
import arcpy
from arcpy import env
from arcpy.sa import *
# Set environment settings
env.workspace = "C:/sapyexamples/data"
# Set local variables
inRaster = "distroads"
# Create the TfLarge object
midpoint = 4075
spread = 4.5
lowerthresh = "#"
valbelowthresh = "#"
upperthresh = "#"
valabovethresh = "#"
myTfFunction = TfLarge(midpoint, spread, lowerthresh, valbelowthresh, upperthresh, valabovethresh)
# Set evaluation scale
fromscale = 1
toscale = 10
# Execute RescaleByFunction
outRescale = RescaleByFunction(inRaster, myTfFunction, fromscale, toscale)
# Save the output
outRescale.save("c:/sapyexamples/rescaletfla2")