分位数 - 分位数 (QQ) プロットは、1 つの数値変数の分布と正規分布の間、または 2 つの数値変数の分布間の類似度の評価に使用される探索的ツールです。
QQ プロットには、正規の QQ プロットと一般的な QQ プロットの 2 つのタイプがあります。
- 正規の QQ プロットは、正規分布の分位数に対して数値変数の分位数をプロットすることにより作成されます。
- 一般的な QQ プロットは、1 つの数値変数をもう 1 つの数値変数に対してプロットします。
比較された分位数の分布が同じである場合、プロットされたポイントは 45 度の直線を形成します。 プロットされたポイントが直線から外れるほど、比較された分布の類似性が低くなります。
変数
正規の QQ プロットには、正規分布に対してプロットされる 1 つの数値変数が必要です。 一般的な QQ プロットには、互いにプロットされる 2 つの数値変数が必要です。
変換
解析方法には、データが正規分布していることを必要とするものもあります。 データが偏っている (分布が不均衡) 場合は、データを変換して、正規化できます。 正規の QQ プロットでは、正規分布と比較しながら、データ変換がデータの分布に与える影響を調べることができます。
対数変換
対数変換は、データの分布が正に偏り、非常に大きい値がいくつかある場合によく使用されます。 これらの大きな値がデータセット内にある場合、対数変換は、分散をより一定にし、データを正規化するのに役立ちます。
注意:
対数変換は、変数の値がすべて 0 より大きい場合にのみ適用できます。 値が 0 の場合は、エラーが発生します。
平方根変換
平方根変換は、データセットの右の歪度を減らした対数変換に似ています。 対数変換とは異なり、平方根変換は 0 に適用できます。
注意:
平方根変換は、変数の値がすべてゼロ以上の場合にのみ適用できます。 負の値の場合は、エラーが発生します。
逆変換
逆変換は、フィールド内の各値 (x) の逆数 (1/x) を取ります。
注意:
逆変換は値ゼロには適用できません。 フィールド内に値ゼロがある場合、この値は NULL として扱われます。
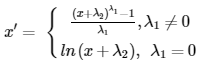
Box-Cox
Box-Cox 変換は、値を正規分布させるために次の累乗関数を適用します。

注意:
Box-Cox 変換は正の値にしか適用できません。 負またはゼロの値が存在する場合、すべての値が正になるように [シフト] パラメーターを使用します。
軸
軸と関連する設定は、複数のオプションによって制御されます。
軸範囲
デフォルトの軸範囲の最大値と最小値は、軸上に表示されるデータ値の範囲に基づいて設定されます。 これらの値をカスタマイズするには、新しい目的の軸範囲値を入力します。 リセット アイコンをクリックすると、軸範囲がデフォルト値に戻ります。
格子線の間隔
[間隔] コントロールを使用して、X 軸と Y 軸の格子線の間隔を構成します。 デフォルトの格子線の間隔は、自動的に計算されます。
数値形式
数値形式のカテゴリを指定するか、カスタム形式の文字列を定義して、軸が数値を表示する方法を書式設定できます。
表示設定
タイトルと説明
チャートおよび軸のデフォルト タイトルは、変数名およびチャート タイプに基づいています。 これらのタイトルは、[チャート プロパティ] ウィンドウの [一般] タブで編集できます。 [説明] オプション (チャート ウィンドウの下部に表示される一連のテキスト) の値を入力することもできます。
色
QQ プロットでは、アウトライン色と塗りつぶし色がソース レイヤーのシンボルから継承されます。 QQ プロットのどの変数とも異なる属性でレイヤーをシンボル化すると、QQ プロットの視覚化で 3 番目の変数を表示できます。
ガイド
参照または重要な値をハイライト表示する方法として、ガイドのラインまたは範囲を追加できます。 新しいガイドを追加するには、[チャート プロパティ] ウィンドウの [ガイド] タブに移動し、垂直または水平ガイドを描画するかどうかを選択します。 [ガイドの追加] ボタンの矢印をクリックし、以下のオプションのいずれかを選択します。
- [固定値ラインまたは範囲ガイドの作成 - 固定位置に線または範囲ガイドを描画します。 このオプションを選択すると、ラインを描画したい [値] の値を入力します。 範囲を作成するには、[幅] の値を入力します。
- [データ ドリブン ガイドの作成] - データ ドリブン ガイドを描画します。 このオプションを選択すると、[値] のドロップダウン リストからフィールドを選択し、そのフィールドの値を使用してガイドの位置を計算します。 集約オプションを選択し、それらの値をどのように集計するかを指定します。
- [ポリライン ガイドの作成] - ポリライン ガイドを描画します。 このオプションを選択した場合、データテーブルを編集して x 値と y 値を入力すると、ガイド ラインの描画方法を決定する頂点が作成されます。 このオプションは、両方の軸が連続値の場合にのみ利用できます。
例
カリフォルニア州の微粒物質サンプルが正規分布しているかどうかを評価する QQ プロットを作成します。
- [次の分布を比較] - Particulate Matter
- [変換] - [なし]
- [比較対象] - [<正規分布>]
