Image Analyst ライセンスで利用できます。
概要
多次元ラスターの 1 つまたは複数の変数のディメンションに沿って各ピクセルのトレンドを推定します。
備考
サポートされている多次元ラスター データセットには、CRF (Cloud Raster Format)、多次元モザイク データセット、netCDF、GRIB、または HDF 形式ファイルで生成された多次元ラスター レイヤーがあります。
このツールは、線形、調和、多項式トレンド ラインに沿ってデータを適合させるために使用するか、Mann-Kendall 検定か Seasonal-Kendall 検定を使用してトレンド検出を実行するために使用されます。
この関数ツールで生成された出力トレンド ラスターは、[トレンドを使用した予測 (Predict Using Trend)] 関数の入力として使用されます。
Mann-Kendall 検定や Seasonal-Kendall 検定は、データに単調トレンドがあるかどうかを決定するために実施します。 これらの検定はノンパラメトリックです。すなわち、特定のデータ分布は想定されません。 Mann-Kendall 検定では、自己系列相関も季節性も考慮されません。 データが季節性であれば、Seasonal-Kendall 検定の方が適切です。
Mann-Kendall 検定または Seasonal-Kendall 検定のいずれかを実行するためにツールが使用される場合は、出力は次のように 5 バンド ラスターになります。
- バンド 1 = Sen の勾配
- バンド 2 = P 値
- バンド 3 = Mann-Kendall スコア (S)
- バンド 4 = S バリアンス
- バンド 5 = Z スコア
Mann-Kendall 検定と Seasonal-Kendall 検定の出力は、多次元時系列のピクセルのうち、統計的に有意なトレンドを持つものを決定するために使用されます。 この情報と、線形、調和、多項式トレンド解析を併用することで、時系列における有意なトレンドを抽出できます。 有意な P 値を持つピクセルを含むマスクを生成し、そのマスクを多次元ラスターに適用して、マスクを適用した多次元ラスターをツールの入力として使用して線形、調和、多項式トレンド解析を実行します。
トレンドをディメンションに沿って変数値にフィッティングするための 3 つのトレンド ライン オプション (線形、多項式、調和) があります。 次に、これら 3 つのトレンド フィッティング オプションについて説明します。

線形トレンド解析の場合、出力は次のように 3 バンド ラスターです。
- バンド 1 = 勾配
- バンド 2 = インターセプト
- バンド 3 = RMSE (二乗平均平方根誤差) またはベスト フィットのラインの周りの誤差
多項式トレンド解析の場合、出力のバンド数は多項式の次数によって異なります。 2 次多項式フィッティングでは、次のように 4 バンド ラスターが生成されます。
- バンド 1 = Polynomial_2
- バンド 2 = Polynomial_1
- バンド 3 = Polynomial_0
- バンド 4 = RMSE
3 次多項式フィッティングでは、次のように 5 バンド ラスターが生成されます。
- バンド 1 = Polynomial_3
- バンド 2 = Polynomial_2
- バンド 3 = Polynomial_1
- バンド 4 = Polynomial_0
- バンド 5 = RMSE
調和トレンド解析の場合、出力のバンド数は高調波周波数によって異なります。 周波数が 1 に設定されている場合、出力は次に示す 5 バンド ラスターです。
- バンド 1 = 勾配
- バンド 2 = インターセプト
- バンド 3 = Harmonic_sin1
- バンド 4 = Harmonic_cos1
- バンド 5 = RMSE
周波数が 2 に設定されている場合、出力は次に示す 7 バンド ラスターです。
- バンド 1 = 勾配
- バンド 2 = インターセプト
- バンド 3 = Harmonic_sin1
- バンド 4 = Harmonic_cos1
- バンド 5 = Harmonic_sin2
- バンド 6 = Harmonic_cos2
- バンド 7 = RMSE
調和トレンド解析の [サイクル長] パラメーターは、1 日または 1 年を通じてデータに表示される想定のサイクルの数と長さを示すために使用されます。たとえば、データが 1 年間に 2 回の変動サイクルを経ると想定される場合、サイクル長は 182.5 日または 0.5 年になります。3 時間ごとに温度データを収集し、1 日に 1 サイクルの変動がある場合、サイクル長は 1 日になります。
調和トレンド解析の [頻度] パラメーターは、データにフィッティングする調和モデルを表すために使用されます。頻度が 1 に設定されている場合、線形および 1 次調和曲線の組み合わせがモデルのフィッティングに使用されます。頻度が 2 の場合、線形、1 次調和曲線、および 2 次調和曲線の組み合わせがモデルのフィッティングに使用されます。頻度が 3 の場合、さらに 3 次調和曲線がデータのモデル化に使用されます。4 以降も同様です。
モデル近似性統計情報は、オプション出力として生成できます。 RMSE (二乗平均平方根誤差)、R2、およびトレンド傾斜 P 値を計算してシンボル化できます。 RGB シンボルを使用して出力トレンド ラスター レイヤーをシンボル化し、統計情報を赤、緑、および青のバンドとして指定します。
パラメーター
| パラメーター | 説明 |
|---|---|
ラスター | 入力多次元ラスター。 |
ディメンション名 | このディメンションに沿って、解析で選択された変数に対してトレンドが抽出されます。 |
トレンド タイプ | ディメンションに沿ったピクセル値へのフィッティングに使用するラインのタイプを指定します。
|
高調波周波数 | トレンド フィッティングで使用する頻度。 このパラメーターは 1 年間の周期頻度を指定します。 デフォルト値は 1、つまり 1 年ごとに 1 つの調和周期です。 このパラメーターは高調波回帰のトレンド分析にのみ含まれています。 |
サイクル長 | モデル化する周期変動の長さ。 入力データの時間単位に関係なく、単位は日です。 たとえば、多くの場合、葉の活性度の変動サイクルは 1 年に 1 度強くなるので、入力データが毎月の活性度であっても、サイクル長は 365.25 になります。 1 時間ごとの温度データには、1 日に 1 回の強い変動サイクルが存在するため、サイクル長は 1 になります。 年間サイクルで変動するデータのデフォルトの長さは 365.25 日です。 |
サイクル単位 | 調和サイクルの長さに使用される時間単位を指定します。
|
多項式の次数 | トレンド フィッティングで使用する多項式の次数。 このパラメーターは多項式の次数を指定します。 デフォルト値は 2、つまり 2 次多項式です。 このパラメーターは多項式回帰のトレンド分析にのみ含まれています。 |
NoData を無視 | 解析で NoData 値を無視するかどうかを指定します。
|
RMSE | トレンド フィット ラインの二乗平均平方根誤差 (RMSE) を生成するかどうかを指定します。
|
R2 | トレンド フィット ラインの R2 近似性統計情報を計算するかどうかを指定します。
|
傾斜係数の P 値 | トレンド ラインの傾斜関数の P 値統計情報を計算するかどうかを指定します。
|
季節周期 | Seasonal-Kendall 検定を実行する際、季節周期として使用される時間単位を指定します。
|
回帰分析タイプ
各トレンド オプションの回帰方程式を次に示します。
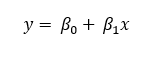
- 線形 - 線形トレンド ラインは、シンプルな線形リレーションシップの推定に使用されるベストフィット直線です。 線形トレンドは、一定の比率で増加または減少している変化率を強調します。 線形トレンド ラインの式は、次のとおりです。

- y = ピクセルの変数値。
- x = ディメンション値。
- ß0 = y インターセプト。
- ß1 = 変化の線形勾配または率。
ß1 > 0 は、増加しているトレンドを示します。
ß1 < 0 は、減少しているトレンドを示します。
- 多項式 - 多項式トレンド ラインは、変動するデータに役立つ曲線です。 この場合、多項式の次数の値は、発生する変動の最大数を示すために使用されます。 多項式トレンド ラインの式は、次のとおりです。

- y = ピクセルの変数値
- x = ディメンション値
- ß0, ß1, ß2, ß3, ..., ßn = 一定係数
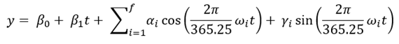
- 調和 - 調和トレンド ラインは、周期的なパターン (季節的な温度変化など) に従うデータを示す場合に最適に使用される、定期的に繰り返す曲線です。 調和トレンド ラインの式は、次のとおりです。

- y = ピクセルの変数値
- t = ユリウス日
- ß0 = y インターセプト
- ß1 = 変化率
- α, γ = 年次変化または年内変化の係数
- ω = i
- f = 高調波頻度