以下に、ランダム値を作成するさまざまなツールで利用できる分布を示します。これらの分布は、指定のストリーム (解析環境でグローバルに特定、またはツールでローカルに特定) から作成された 0 ~ 1 のランダム値を指定した分布に変換します。分布ごとの構文とパラメーターについては、「ランダム値の分布構文」をご参照ください。
一様分布
一様分布は、指定された間隔内にあるすべての値が同じ確率で生じる連続確率分布です。整数分布は、離散型の一様分布です (以下をご参照ください)。一様分布は、シミュレーション モデルでガスの濃度をモデル化したり、交差点で事故が起きる間隔をモデル化したりする場合だけでなく、[ランダム ポイントの作成 (Create Random Points)] ツールでのポイントの配置にも使用できます。
一様分布は、それぞれの潜在的な結果または出来事が等確率で生じる場合の、ランダムな事象のモデル化によく使用されます。

一様分布の式は次のとおりです。

この式の要素は次のとおりです。
a は、等確率の間隔の最小値です。
b は、等確率の間隔の最大値です。
x は、観測値です。
ランダム値は最小値と最大値の間 (両端は含まない) で選択されます。最小値は最大値よりも小さくなければなりません。最小値と最大値が指定されない場合は、0.0 から 1.0 までの一様変数が生成されます。
整数分布
整数分布は、指定された間隔内にあるすべての離散値が同じ確率で生じる確率分布です。整数分布は、離散型の一様分布です (上記をご参照ください)。整数分布を使用すると、サイコロを振るとき (各目の発生確率は 1/6)、シミュレーション モデルでランダムな事象をモデル化するとき、または生物学的研究において試料採取場所を選択するときに、各数値が発生する可能性をモデル化できます。
整数分布は、それぞれの潜在的な結果または出来事が等確率で生じる場合の、ランダムな事象のモデル化によく使用されます。

整数分布の式は次のとおりです。

この式の要素は次のとおりです。
a は、等確率の間隔の最小値です。
b は、等確率の間隔の最大値です。
x は、観測値です。
ランダム値は最小値と最大値の間 (両端は含まない) で選択されます。最小値は最大値よりも小さくなければなりません。最小値と最大値が指定されない場合は、1 から 100 までの一様な値が生成されます。
正規分布
正規分布は、一般的に生じる連続確率変数をモデル化します。正規分布は広く使用され、多くのアプリケーションに適用できます。これは、観測値が多い場合は確率変数の和が正規分布になる、という原則に基づく中心極限定理に従って構築されます。たとえば、一連のコイン投げで表が出る回数は、コインを何度も投げると、正規分布に近づきます。正規分布の例には、国民の身長、州の標高値、全 12 歳児童の数学テストの点数などがあります。

正規分布の式は次のとおりです。

この式の要素は次のとおりです。
μ は平均値です。
σ は標準偏差 (正の数値) です。
正規分布は、平均値、最頻値、および中央値を軸に対称となり、これらはすべて μ に一致します。
通常、二項分布とポアソン分布は、比較的少数の観測値を使用して、将来の離散事象、独立事象、ランダムな事象、実際の事象、または正しくない事象 (たとえば、コインを投げたときに表が出る回数) をモデル化しますが、正規分布は、多数の観測値を使用して連続変数 (たとえば、高さ、重さ、および体積) をモデル化します。二項分布とポアソン分布は確率に基づきますが、正規分布は量や大きさを満たす観測値の数に基づきます。
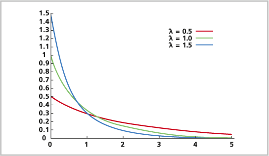
指数分布
指数分布は、連続確率分布の一種です。通常、指数分布は、一定の平均発生率で生じる事象の間隔をモデル化するために使用されます。また、距離あたりの事象の発生をモデル化することもできます。交差点で次の自動車事故が起こるまでの時間、夜空で 2 度の流れ星を目にする間隔、道路上のくぼみの間の距離などはすべて、指数分布が使用される可能性のある例です。これらの例では、時間または距離が長くなると、状態が変わったり、事象が発生したりする機会が指数的に多くなります。各事象の発生は、相互に依存しません。

指数分布の式は次のとおりです。

この式の要素は次のとおりです。
e は、自然対数です。
x は、事象が起こり得る回数です (正の整数値)。
指数分布は、現象が初期の状態でポアソン プロセスをモデル化します。指数分布は、連続型の幾何分布です。状態 A から状態 B に移行するプロセスを複数の独立したタスクに分割できる場合は、ガンマ分布を使用してモデル化したほうが適切な場合もあります。ガンマ分布は、複数の独立した、指数分布に従う変数の和をモデル化します。これは、指数分布の特殊なケースとして考えることができます。
ポアソン分布
ポアソン分布は、離散確率分布の一種です。ポアソン分布は、既知の平均値を指定して決まった時間ステップの間に事象が発生する回数の確率をモデル化します。事象は、それが最後に発生した時間に依存しません。X 軸上は、事象 0、1、2、3、4、などの離散値 (多くの場合、事象が発生する回数を表す) であり、Y 軸上は、既知の平均値を指定して現象が何度も発生する確率です。事象は、交差点での事故件数、先天的欠損症の発生数、平方キロメートル単位でのカモシカの生息数などです。ポアソン分布は、稀に発生する事象をモデル化します。この分布は、少数の法則と呼ばれることもあります。これは、事象が頻繁に発生しない一方で、事象が発生する機会はたくさんあるためです。

式は次のとおりです。

この式の要素は次のとおりです。
e は、自然対数です。
k は、事象が起こり得る回数です (正の整数値)。
k! は、k の階乗です。
λ (平均) は、指定された間隔内での予測される発生数を表す正の数値です。1 時間 (60 分) の間に事象が 10 分おきに発生する場合、ラムダは 6 です。
ポアソン分布は、二項分布と似ていますが、ポアソン分布は、起こり得る合計発生数の情報を使用せずに、稀に発生する事象をモデル化します。ポアソン分布は交差点での事故の件数を評価するのに対し、二項分布は、交差点を通る自動車の台数に基づいて、事故の件数をモデル化します。
ガンマ分布
ガンマ分布は、連続確率分布の一種です。ガンマ分布は、複数の独立した、指数分布に従う変数の和をモデル化します。これは、指数分布の特殊なケースとして考えることができます。

ガンマ分布の式は次のとおりです。

ガンマ分布をパラメーター化するもう 1 つの方法を次に示します。

アルファが 1 の場合、ガンマ分布は指数分布と同じです。アルファが整数の場合、ガンマ分布はアーラン分布になります。アルファが整数でベータが 2 の場合、ガンマ分布は、アルファの自由度が 2 のカイ二乗分布になります。
結果変数は、0.0 以上です。アルファとガンマは、0.0 よりも大きくなければなりません。
二項分布
二項分布は、事象の一連の潜在的な原因を観察する場合に、事象の発生数をモデル化します。たとえば、二項分布は、臨床試験中に心疾患で死亡した被験者の数、混雑したエレベーターから 2 階で降りる人の数、集団内で特定の遺伝形質を受け継ぐ動物の数などを対象とします。

二項分布は、性質ではなく、発生数を表します。二項分布は、レースを完走した参加者の数をモデル化できますが、参加者の速さをモデル化することはできません。
二項分布の式は次のとおりです。

この式の要素は次のとおりです。
n は、観測値の数です。
p は、発生する確率です。
x は、0 ~ n の範囲の成功数です。
二項分布を使用する一般的な例は、コインを 10 回投げたとき (n = 10) に表が出る回数の確率を判断することです。10 回のうち表が 0 回、10 回のうち表が 1 回、などの結果があるため、x = 0、1、2、3、4、5、6、7、8、9、10 となります。そして、p は各 x の確率です。
すべての試行は独立しており、各試行では成功または失敗の結果が生じます。
n が大きく、p が小さい場合、二項分布はポアソン分布に近くなります。このような場合は、ポアソン分布のほうが使いやすいことがあります。
二項分布は、n 回試行したうちの成功数の確率変数を返します。その場合、各試行での成功の確率は p です (たとえば、表が出る確率は p)。
幾何分布
幾何分布は、離散確率分布の一種です。幾何分布でモデル化する現象には、(1) 成功を得るために行う回数の確率 (たとえば、6 の目を出すためにサイコロを振る回数)、(2) 成功を得るまでに失敗する回数の確率 (たとえば、シカに出会うまでに山道をハイキングする回数)、という主に 2 つのタイプがあります。山道での最初のハイキングでシカに出会わない確率は、(1 - p) です。2 回目のハイキングでは、シカに出会わない確率は、(1 - p) (1 - p) です。山道をハイキングする回数が増えると、シカに出会わない確率は指数的に減少し、最終的にシカが見つかります。事象は、別の事象に依存しません。

幾何分布の式は次のとおりです。

この式の要素は次のとおりです。
p は、成功の確率です。
n は、試行回数です。
幾何分布は、離散型の指数分布です (上記をご参照ください)。幾何分布は、負の二項分布またはパスカル分布の特殊なケースであり、パスカル分布の r を 1 としたものです (以下をご参照ください)。
負の二項分布
負の二項分布は、離散確率分布の一種です。負の二項分布は、ベルヌーイ試行に基づいています。ベルヌーイ試行は、2 つの結果 (成功と失敗) のいずれかに帰結し、成功の確率は p (どの試行でも同じ p を取る) となる試行の事象をモデル化します。これらの事象は、別の事象に依存しません。コイン投げは、ベルヌーイ試行の 1 つです。たとえば、負の二項分布は、5 回続けて表が出るまでコインを投げる回数をモデル化することができます。このように、負の二項分布は、成功するまでの失敗の回数をモデル化します。r が整数の場合、負の二項は、パスカル分布と呼ばれる特殊なケースになります。
負の二項分布の式は次のとおりです。

この式の要素は次のとおりです。
r は、失敗数です。
p は、成功の確率です。
k は、0 ~ n の範囲の成功数です。
負の二項分布がコイン投げを表す場合、表を出すために要する回数としてランダム値が返されます。