Spatial Analyst のライセンスで利用可能。
テレインのさまざまな特性を理解することは、水文解析から地滑り危険度評価まで、広範な応用に不可欠です。 そのような応用の 1 つは、テレインを地形に分類することです。 地形は、谷や峰などテレインの自然な形状です。
地形の分類にはさまざまな方法がありますが、Geomorphon 手法 (Jasiewicz と Stepiski により 2013 年に開発) は標高の差異と可視性の概念に基づいて地形を識別するものです。 [Geomorphon 地形 (Geomorphon Landforms)] ツールはこれらの概念を適用して、テレインのエリアを表す明確なパターンを見つけます。
Geomorphon 手法は、合計 498 の独自パターンを識別できます。 いくつかの Geomorphon は、自然環境には見られない地形を記述し、他のものは同じ地形タイプを記述します。 このため、Geomorphon と地形タイプとは多対一で対応します。 Geomorphon が特定されたら、ルックアップ テーブルを使用して地形と一致できます。
Geomorphon 地形ツールのロジック
[Geomorphon 地形 (Geomorphon Landforms)] ツールは、Geomorphon 手法を使用してテレインを地形に分類します。
入力ラスターの各セルについて、ツールは次の操作を実行します。
- 解析エリアを設定します。 これにより、[検索距離] および [スキップ距離] パラメーターを使用する解析エリアが決定されます。
- ローカル三項パターン (LTP) を使用して Geomorphon パターンを取得します。 8 つの基本方向のそれぞれについてローカル三項パターン (LTP) を見つけるには、見通し線を延長し、天低および天頂角度に基づいて分類します。
- LTP を、固有パターンまたは Geomorphon を記録する 3 進数に変換します。 得られた値をターゲット セルに格納します。
- ルックアップ テーブルを使用して、Geomorphon パターンを、最も一般的な 10 の地形のいずれかと一致します。
各手順の詳細については、以下のセクションで説明します。
Geomorphon パターンを計算するための解析エリアの設定
ツールの解析エリアは、ターゲット セルで Geomorphon パターンを計算するために使用されるテレイン エリアです。 ツールが Geomorphon パターンを決定するため、どの近傍セルを使用するかを定義します。
解析エリアは、[検索距離] および [スキップ距離] パラメーターによって決定されます。 [検索距離] パラメーターは、カバーされるエリアの範囲を決定します。 [スキップ距離] パラメーターは、ターゲット セルのすぐ近くにあるエリアのうち、どの部分を分類から除外するかを特定します。 次の図は、検索距離が 3 セル、スキップ距離が 1 セルで定義される解析エリアの例を示しています。 処理に含まれるセルは、各セルの中心とターゲット セルとの距離を、検索距離の値と比較することで決定されます。 検索距離の値のほうが大きい場合、そのセルは処理に含まれます。

検索距離に大きな値を指定すると、周囲のテレインが一般化される可能性があります。 小さな値を指定すると、より多くの詳細が結果に捕捉されます。 スキップ距離の値を増やすと、近くのセルからのノイズを減らすため役立ちます。これらのノイズは誤った標高の値を表しているか、標高の相違に関する追加情報が得られない可能性があります。
これら 2 つのパラメーターは、テレインのフィーチャをサイズに応じて識別するためにも役立ちます。 このためには、これらのパラメーターを、分類を試みているものを表すような値に調整します。 これらのパラメーターを設定するためのいくつかの一般的なガイドラインを紹介します。
- 川などの広いまたは大きなテレインのフィーチャを識別するには、[検索距離] パラメーターの値に、入力セルのサイズの 50 倍から 100 倍を使用します。 広いまたは大きなテレインのフィーチャを識別すると、処理中に小さなフィーチャも識別されますが、[スキップ距離] パラメーターの値によっては識別されない可能性があります。 このため、それぞれに最適な値を見つけるために、パラメーターは 1 つずつ変更することをおすすめします。
- 細い小川などの小さなテレインのフィーチャを識別するには、入力セル サイズの 5 倍から 15 倍を使用します。
- 稜線などの非常に狭いテレインのフィーチャを識別するには、さらに小さな値を使用します。
Geomorphon パターンの取得
解析エリアが設定されたら、次の手順として、ローカル三項パターン (LTP) に基づいて Geomorphon パターンを計算します。
天頂および天底の角度を使用してローカル三項パターンを決定する
まず、LTP は 8 つの基本方向のそれぞれに 0、1、-1 の値を割り当てることと等価です。 特定の方向に割り当てられる値は、天頂と天底の角度の相違によって決定されます。
天頂角 Z は、天頂の方向 (真上) と、見通し線を解析される方向に沿って解析エリアの境界まで延長したものとの間に形成される角度です。 この線は、ターゲット セルから見えるすべてのものを表します。
天底角 N も同様な方法で定義されます。 これは、天底の方向 (真下) と、仮想の見通し線をエリア内で最も低い標高に沿って解析エリアの境界まで延長したものとの間に形成される角度に対応します。
図 2 は、1 つの方向 (たとえば北) と、対応する見通し線を使用して定義されるそれぞれの角度で解析される、テレインの標高断面を示したものです。

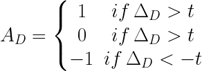
2 つの角度が決定されたら、フラット テレイン角度の閾値を使用して、解析対象の方向に割り当てる LTP 値が決定されます。 数式は次のようになります。

ここで
- AD は解析対象の方向に割り当てられる値。
- ΔD は天底および天頂の角度である Z と N との差。
- t はフラット テレインの角度閾値。
フラット テレインの角度閾値は、テレインがフラットと分類される限界を度単位で設定する値です。 図 2 に示されているのと同じ例に従い、フラット テレインの角度閾値に 1 を指定すると (t = 1 度)、解析対象の方向に 1 の値が割り当てられます。 これは、90° - 45° = 45° > 1° であるためです。
基本方向のそれぞれについて、時計回り順に同じプロセスが繰り返されます。
ターゲット セルの Geomorphon パターンの構築
8 つの基本方向のそれぞれに値が割り当てられると、結果が 8 タプル (8 エレメント) に連結され、ターゲット セルに格納されます。 8 タプルの例は (0、-1、0、1、0、0、1、1) です。 簡単に格納できるよう、タプルは 3 項 (3 進数) の数値に変換されます。 この結果は Geomorphon パターンです。
可能な Geomorphon パターンの総数は 6561 (38) です。 これらの多くは他のパターンを回転または反転させた結果なので、合計数は 498 に減少します。
Geomorphon から地形タイプへの一致
ツールは、ルックアップ テーブルを使用し、Jasiewicz および Stepinski によって 2013 年に提示された論拠に従って、Geomorphon パターンを特定の地形タイプに一致します。 テーブルは、Geomorphon パターンを、最も一般的な 10 の地形のいずれかに一致します。

複数の異なる Geomorphon パターンでも、定義にわずかしか違いがなければ、同じ特定の地形に一致可能です。 許容される差異は、ルックアップ テーブルを作成するために必要な仮定です。

山頂とピットの地形タイプのみが、固有の Geomorphon パターンに一致します。 ピーク地形タイプ (-1、-1、-1、-1、-1、-1、-1、-1) は基本的に、ターゲット セルを囲むすべてのセルが、ターゲット セルより低いものです。 同様に、ピット地形タイプ (1、1、1、1、1、1、1、1) は基本的に、ターゲット セルを囲むすべてのセルが、ターゲット セルより高いものです。
地形と Geomorphon ラスターの最終的な結果
最後の手順では、一致の結果を [出力地形ラスター] パラメーターの値に格納します。 Geomorphon パターンはオプションの出力で、さらに解析や診断を行うために使用できます。
参考文献
Jasiewicz, Juroslav and Tomasz F. Stepinski. 2013. "Geomorphons - a pattern recognition approach to classification and mapping of landforms." Geomorphology Volume 182, January 15, pp. 147–56. https://doi.org/10.1016/j.geomorph.2012.11.005