Spatial Analyst のライセンスで利用可能。
樹状図は、順番にマージされたクラスの各ペア間の属性距離を示した図です。 ラインを越えないようにするために、樹状図は、マージされるクラスの各ペアのメンバーが図の中で近傍になるように、グラフィカルに配置されます。
[樹状図 (Dendrogram)] ツールは、階層クラスタリング アルゴリズムを使用します。 このツールはまず、入力シグネチャ ファイルのクラスの各ペア間の距離を計算します。 次に、最も近いクラスのペアをマージし、続いて次に近いクラスのペアをマージし、さらに、すべてのクラスがマージされるまで、その次に近いクラスのペアを繰り返しマージします。 各マージの後に、すべてのクラスのペア間の距離を更新します。 クラスのシグネチャがマージされる距離を使用して、樹状図が作成されます。
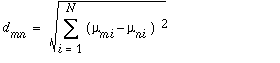
[距離を計算する際に分散を使用] オプションをオフ (Python では MEAN_ONLY) にすると、クラス m と n のペア間の距離 dmn が、それらの平均値の間の距離として計測されます。

ここで、
m および n - クラスの ID
i - レイヤー番号
µ - レイヤー i のクラス m または n の平均
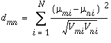
分散オプションをオン (Python では VARIANCE) にすると、[樹状図 (Dendrogram)] ツールは次の数式を使用して、クラスのペア間の距離をその平均と分散に基づいて計測します。

ここで、V はレイヤー i のクラス m または n の分散
マージされたクラスに関する新しい統計情報 (平均と分散) は、マージされたクラスを構成するサンプルの元の平均と分散に基づいています。 そのため、マージされたクラスはプールされた平均と分散を使用して作成されます。 マージされたクラスを作成するために使用される 2 つのシグネチャは、結合されたクラスの 1 つのシグネチャに置き換えられます。 新しい平均シグネチャは、マージされたクラスのすべてのメンバー セルの多次元属性空間における位置に基づいて計算されます。 新しいシグネチャは、マージされたクラス ID の 2 つの入力クラスの小さい方の数字を保持します。
値レベル、またはクラスの各ペアがマージされる距離は、樹状図グラフのスケール バーを使用して内挿できます。 文字のサイズの制限 (グラフィックの低い解像度) のため、マージのレベルは表示のために丸められます。 ただし、マージのレベルの正確な値は、樹状図に関連付けられたテーブルに DISTANCE として示されます。
クラスのペアがマージされた後の距離の計算には、共分散ではなく分散が使用されます。 [樹状図 (Dendrogram)] ツールが使用するアルゴリズムは、クラス間の距離を判断するためにマハラノビス距離を使用しません。 そのため、クラスおよびマージされたクラス間の距離は、[シグネチャの編集 (Edit Signatures)]、[最尤法分類 (Maximum Likelihood Classification)]、および [クラス確率 (Class Probability)] などのマハラノビス距離に基づくグリッド ツールの結果と一致しない場合があります。
樹状図を使用してデータ クラスの結合や分離に必要な情報を提供し、解析における統計的な誤分類の発生を抑えることができます。 解析内のクラスが統計的に近すぎる場合 (つまり、統計情報に基づいて 2 つのクラスを区別することが難しい場合) は、誤分類が発生する可能性があります。 この場合は、クラスをマージすることを検討します。 クラスのマージを行うかどうかを判定するための明確な規則はありません。 どのような場合にクラスをマージするかは、 分析範囲とデータの異種性、データを分類するクラスの数、および解析の目的に依存します。 たとえば、分析範囲の異種性が非常に高い場合は、潜在的に多数の個別クラスがあるため、クラスのマージは不要になります。 別の状況では、同じ種類のデータに対して、データを分類するクラスが多すぎる場合もあります。 この場合は、クラスが統計的に近すぎる可能性があるため、いくつかのクラスをマージすることが適切です。
解析で詳細なクラスが必要ない場合は、クラスをより一般的なカテゴリにマージして、誤分類が発生する可能性を下げることもできます。 樹状図はどのクラスが統計的に最も近いかを識別しますが、最終的には解析の対象と目的に対する知識を基にして、クラスのマージが適切かどうかを判断します。
たとえば、クラスの 1 つを一般的な湿地として指定し、別のクラスを沼として指定している場合、これら 2 つのクラスをマージすることは適切であると考えられます。 ただし、トレーニング サンプルから判定された 2 つのクラスの統計情報は非常によく似ているため、これらの 2 つのクラスは結果の樹状図で近接するはずです。 湿気の多い地域を識別することだけが目的であれば、沼クラスを一般的な湿地クラスにマージできます。
樹状図は、どのクラスをマージできるかを識別するだけでなく、クラスの追加が有効である場合を識別することもできます。 クラスが他のクラスから統計的に離れている場合は、クラスを追加して分類を調整することができます。 たとえば、クラスの 1 つを耕地、別のクラスを草地として指定しているとします。 結果の樹状図では、これらの 2 つのクラスは遠く離れています。 ただし、高解像度のマルチバンド ラスターを使用できるとします。 分析範囲の農業出力を解析している場合は、高解像度データにより、耕地クラスと草地クラスを特定の農地タイプに調整することができます。
例
次の例では、クラス 3 と 5 が属性空間の最も近い近傍であるため、レベル 3.443 でマージされます。 この値は、相対的な類似度を示しており、多次元空間の距離と見なすこともできます。 2 つのクラスがマージされ、1 つのクラスとして扱われます。 マージされたクラスの統計情報と、マージされたクラスから他のクラスまでの距離が計算されます。 さらに、その次に近い 2 つのクラスが特定されます。 クラス 4 と 6 がその候補になります。 その間の距離は 3.609 であり、この 2 つがマージされます。 このプロセスが繰り返されます。 すべてのクラスが順番に大きいクラスにマージされ、最終的には 1 つのクラスになります。
- [樹状図 (Dendrogram)] ツール ダイアログ ボックスで使用する設定は、次のとおりです。
[入力シグネチャ ファイル] - isoclust12.gsg
[出力樹状図ファイル] - isodendro.txt
[距離を計算する際に分散を使用] - {デフォルト}
[樹状図のライン幅] - 78
出力樹状図ファイルは次のとおりです。
Distances between pairs of combined classes (in the sequence of merging):
Remaining Merged Between-Class
Class Class Distance
----------------------------------
3 5 3.442680
4 6 3.608904
7 9 3.899360
2 7 3.795288
3 4 4.883098
2 8 6.073256
1 3 6.257798
1 2 9.350019
----------------------------------
Dendrogram of /discb/topdir/myspace/isoclust12.gsg
C DISTANCE
L
A
S 0 1.0 2.1 3.1 4.1 5.2 6.2 7.2 8.3 9.3
S |-------|-------|-------|-------|-------|-------|-------|-------|------
5 -------------------------|
|----------|
3 -------------------------| |
|----------|
6 ---------------------------| | |
|--------| |-------------------|
4 ---------------------------| | |
| |
1 -----------------------------------------------| |
|-
9 -----------------------------| |
| |
7 ---------------------------------------------| |
| | |
2 ------------------------------| |---------------------|
|
8 ---------------------------------------------|
|-------|-------|-------|-------|-------|-------|-------|-------|------
0 1.0 2.1 3.1 4.1 5.2 6.2 7.2 8.3 9.3