Доступно с лицензией Spatial Analyst.
Краткая информация
Задает функцию преобразования Small, которая определяется по контролирующим форму параметрам midpoint и spread, а также по верхнему и нижнему порогам, задающим диапазон, в котором применяется функция.
Более подробно о влиянии параметров на эту функцию преобразования
Обсуждение
Инструмент, который использует объект TfSmall, – это Пересчет по функции (Rescale by Function).
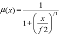
Уравнение функции преобразования Small:

Входные данные для уравнения – это: f1, spread и f2, midpoint.
Диапазон значений функции варьирует от 0 до 1, которые затем преобразуется к оценочной шкале.
Значение spread определяет скорость увеличения и уменьшения значений функции преобразования вокруг средней точки. Если средняя точка находится в диапазоне между верхним и нижним порогом, spread определяет скорость увеличения значений функции от toScale и уменьшения до fromScale. Чем больше значение, тем больше наклон функции у средней точки. Другими словами, при уменьшении значения распределения, значения функции преобразования медленнее достигает средней точки.
Выбор соответствующего значения распределения – это субъективный процесс, который зависит от диапазона входных значений. Следует начинать со значения 5, предлагаемого по умолчанию.
Отрицательные входные значения (меньше нуля) будут присвоены значению оценки, которому в свою очередь присваивается значение 0.
Функция преобразования Small наиболее удобна, если вы хотите, чтобы небольшие входные значения получали более высокие выходные значения высот (предпочтение более низких значений).
Синтаксис
TfSmall ({midpoint}, {spread}, {lowerThreshold}, {valueBelowThreshold}, {upperThreshold}, {valueAboveThreshold})| Параметр | Описание | Тип данных |
midpoint |
Задает точку перехода функции преобразования в месте, где кривая становится более вогнутой для значений, меньших чем средняя точка, и более выпуклой для значений, больших чем средняя точка. Сдвиг её в сторону больших, чем середина, значений во входных данных изменяет точку перехода, что приводит к увеличению в диапазоне меньших значений, ниже средней точки, которые являются более предпочтительными, при этом предпочтение увеличивается медленнее. Значение midpoint не может быть равно 0. (Значение по умолчанию — None) | Double |
spread | Задает разброс функции преобразования Small, управляющий скоростью увеличения и уменьшения значений функции от средней точки. Разброс варьируется в диапазоне от 1 до 10; чем выше его значение, тем гуще распределение вокруг средней точки. Значения spread должно быть больше 0. (Значение по умолчанию — 5.0) | Double |
lowerThreshold | Задает начальное значение, к которому начинает применяться указанная функция преобразования. Входное значение, соответствующее lowerThreshold, присваивается шкале оценки fromScale в выходном растре. Входные значения меньшее lowerThreshold присваиваются значению valueBelowThreshold и не рассматриваются в диапазоне значений функции. Значение lowerThreshold должно быть меньше, чем upperThreshold. (Значение по умолчанию — None) | Double |
valueBelowThreshold | Указываемое пользователем значение, которое будет присвоено ячейкам, чьи значения ниже lowerThreshold. Значение valueBelowThreshold может быть числом с плавающей точкой, целым числом или NoData. В диалоговом окне инструмента вокруг NoData не используются кавычки; однако в скрипте необходимо указывать "NoData" (с кавычками). (Значение по умолчанию — None) | Variant |
upperThreshold | Задает конечное значение,на котором заканчивается применение указанной функции преобразования. Входное значение, соответствующее upperThreshold, присваивается шкале оценки toScale в выходном растре. Входные значения выше upperThreshold присваиваются значению valueAboveThreshold и не рассматриваются в диапазоне значений функции. Значение lowerThreshold должно быть меньше, чем upperThreshold. (Значение по умолчанию — None) | Double |
valueAboveThreshold | Указываемое пользователем значение, которое будет присвоено ячейкам, чьи значения выше upperThreshold. Значение valueAboveThreshold может быть числом с плавающей точкой, целым числом или NoData. В диалоговом окне инструмента вокруг NoData не используются кавычки; однако в скрипте необходимо указывать "NoData" (с кавычками). (Значение по умолчанию — None) | Variant |
Свойства
| Свойство | Описание | Тип данных |
| midpoint (чтение и запись) | Значение midpoint для функции преобразования, задающее точку перехода кривой функции. | Double |
| spread (чтение и запись) |
Значение spread для функции преобразования, управляющее скоростью увеличения и уменьшения значений функции от средней точки. | Double |
| lowerThreshold (чтение и запись) |
Значение lowerThreshold для функция преобразования, задающее начальное значение, к которому начинает применяться функция преобразования. | Double |
| valueBelowThreshold (чтение и запись) |
Значение, которое будет присвоено ячейкам выходного растра, чьи значения ниже lowerThreshold. | Variant |
| upperThreshold (чтение и запись) |
Значение upperThreshold для функция преобразования, задающее конечное значение, к которому начинает применяться функция преобразования. | Double |
| valueAboveThreshold (чтение и запись) | Значение, которое будет присвоено ячейкам выходного растра, чьи значения превышают upperThreshold. | Variant |
Пример кода
Иллюстрирует создание класса TfSmall и его использование в инструменте RescaleByFunction в окне Python.
import arcpy
from arcpy.sa import *
from arcpy import env
env.workspace = "c:/sapyexamples/data"
outRescale = RescaleByFunction("elevation", TfSmall(2475, 4.5, "#", "#", "#", "#"), 1, 10)
outRescale.save("c:/sapyexamples/rescaletfsm1")Иллюстрирует преобразование входных данных с помощью инструмента RescaleByFunction, использующего класс TfSmall.
# Name: TfSmall_Ex_02.py
# Description: Rescales input raster data using a Small function and
# transforms the function values onto a specified evaluation scale.
# Requirements: Spatial Analyst Extension
# Author: esri
# Import system modules
import arcpy
from arcpy import env
from arcpy.sa import *
# Set environment settings
env.workspace = "C:/sapyexamples/data"
# Set local variables
inRaster = "elevation"
# Create the TfSmall object
midpoint = 2475
spread = 4.5
lowerthresh = "#"
valbelowthresh = "#"
upperthresh = "#"
valabovethresh = "#"
myTfFunction = TfSmall(midpoint, spread, lowerthresh, valbelowthresh, upperthresh, valabovethresh)
# Set evaluation scale
fromscale = 1
toscale = 10
# Execute RescaleByFunction
outRescale = RescaleByFunction(inRaster, myTfFunction, fromscale, toscale)
# Save the output
outRescale.save("c:/sapyexamples/rescaletfsm2")