Доступно с лицензией Image Analyst.
Обзор
Оценивает тренд для каждого пиксела вдоль измерения для одной или нескольких переменных в многомерном растре.
Примечания
Поддерживаемые многомерные наборы растровых данных включают Cloud Raster Format (CRF), многомерные наборы данных мозаики или многомерные растровые слои, созданные с помощью файлов формата netCDF, GRIB или HDF.
Этот инструмент может использоваться для размещения данных вдоль линейной, гармонической или полиномиальной линии тренда, или его можно использовать для определения тренда с помощью теста Mann-Kendall или Seasonal-Kendall.
Выходной растр тренда, сгенерированный с помощью этой функции, используется в качестве входных данных для функции Прогнозирование с использованием тренда.
Тесты Mann-Kendall и Seasonal-Kendall используются для определения наличия монотонного тренда в данных. Они непараметрические, то есть не предполагают определенного распределения данных. Критерий Манна-Кендалла не учитывает серийную корреляцию или сезонные эффекты. Если данные являются сезонными, лучше использовать тест Seasonal-Kendall.
Если инструмент используется для выполнения теста Mann-Kendall или Seasonal-Kendall, выходными данными является пятиканальный растр:
- Канал 1 = склон Сена
- Канал 2 = p-значение
- Канал 3 = оценка Mann-Kendall (S)
- Канал 4 = S-дисперсия
- Канал 5 = Z-оценка
Выходные данные теста Mann-Kendall или Seasonal-Kendall могут использоваться для определения пикселей в многомерных временных рядах, которые имеют статистически значимый тренд. Эту информацию можно использовать вместе с анализом линейного, гармонического или полиномиального тренда для получения значимых трендов во временных рядах. Вы можете сгенерировать маску, включающую пиксели со значимыми p-значениями, применить маску к многомерному растру и использовать этот многомерный растр с маской как входные данные для инструмента, чтобы выполнить анализ линейного, гармонического или полиномиального тренда.
Существует три варианта линии тренда для выстраивания тренда к значениям переменных по размеру: линейный, полиномиальный и гармонический. Три варианта выстраивания тренда описаны ниже.

Для линейного анализа тренда выходные данные представляют собой трехканальный растр следующим образом:
- Канал 1 = Уклон
- Канал 2 = Пересечение
- Канал 3 = Среднеквадратичная ошибка (RMSE) или ошибка вокруг линии наилучшего соответствия
Для анализа полиномиального тренда количество каналов на выходе зависит от порядка полиномов. Полиномиальное выстраивание второго порядка создает четырехканальный растр, где:
- Канал 1 = Polynomial_2
- Канал 2 = Polynomial_1
- Канал 3 = Polynomial_0
- Канал 4 = RMSE
Полиномиальное выстраивание третьего порядка создает пятиканальный растр, где:
- Канал 1 = Polynomial_3
- Канал 2 = Polynomial_2
- Канал 3 = Polynomial_1
- Канал 4 = Polynomial_0
- Канал 5 = RMSE
Для анализа гармонического тренда количество каналов на выходе зависит от порядка гармонической частоты. Когда установлена частота 1, в результате создается пятиканальный растр, где:
- Канал 1 = Уклон
- Канал 2 = Пересечение
- Канал 3 = Harmonic_sin1
- Канал 4 = Harmonic_cos1
- Канал 5 = RMSE
Когда установлена частота 2, в результате создается семиканальный растр, где::
- Канал 1 = Уклон
- Канал 2 = Пересечение
- Канал 3 = Harmonic_sin1
- Канал 4 = Harmonic_cos1
- Канал 5 = Harmonic_sin2
- Канал 6 = Harmonic_cos2
- Канал 7 = RMSE
Параметр Длина цикла гармонического тренда используется для указания количества и длины циклов, которые вы ожидаете увидеть в своих данных в течение дня или года. Например, если вы ожидаете, что ваши данные будут проходить через два цикла изменения в течение одного года, то продолжительность цикла составит 182,5 дня или 0,5 года. Если у вас есть данные о температуре, собранные через каждые три часа, и есть один цикл изменения в день, то продолжительность цикла будет составлять 1 день.
Параметр Частота используется для описания гармонической модели, чтобы соответствовать данным. Если частота установлена на 1, то для подгонки модели будет использоваться комбинация линейной и гармонической кривой первого порядка. Если частота равна 2, то для подгонки данных будет использоваться комбинация линейных гармонических кривых первого порядка и гармонических кривых второго порядка. Если частота равна 3, то для моделирования данных будет использоваться дополнительная гармоническая кривая третьего порядка и т. д.
В качестве дополнительных выходных данных может быть сгенерирована модельная статистика соответствия. Среднеквадратичная ошибка (RMSE), R-квадрат и p-значение уклона тренда можно вычислить и отобразить. Отобразите выходной растровый слой тренда, используя цвета RGB, и укажите для статистики красный, зеленый и синий каналы.
Параметры
| Параметр | Описание |
|---|---|
Растр | Входной многомерный набор растровых данных. |
Название измерения | Измерение, по которому будет извлечен тренд для переменной или переменных, выбранных в анализе. |
Тип тренда | Задает тип линии, которая будет использоваться для подгонки к значениям пикселов вдоль измерения.
|
Гармоническая частота | Номер частоты для использования в подгонке тренда. Этот параметр определяет частоту циклов в году. Значение по умолчанию – 1, или один гармонический цикл в год. Этот параметр включается только в анализ тренда для гармонической регрессии. |
Продолжительность цикла | Длина периодической вариации для моделирования. Единица измерения – дни, независимо от единицы времени входных данных. Например, зеленый цвет листьев часто имеет один сильный цикл изменения в течение одного года, поэтому длина цикла составляет 365,25, даже если исходные данные являются зеленый цвет в каждом месяце. Почасовые данные температуры имеют один сильный цикл изменения в течение одного дня, поэтому длина цикла равна 1. Длина по умолчанию составляет 365,25 дня для данных, которые варьируются в зависимости от годового цикла. |
Единицы измерения цикла | Устанавливает единицу времени, которая будет использоваться для длины гармонического цикла.
|
Порядок полинома | Номер порядка полинома для использования в подгонке тренда. Этот параметр задает порядок полиномов. Значение по умолчанию – 2, или полином -второго порядка. Этот параметр включается только в анализ тренда для полиномиальной регрессии. |
Игнорировать NoData | Определяет, будут ли игнорироваться значения NoData в анализе.
|
RMSE | Указывает, следует ли вычислить среднеквадратичную ошибку (RMSE) линии тренда.
|
R-квадрат | Указывает, следует ли вычислять статистику пригодности R-квадрата для линии тренда.
|
P-значение коэффициента уклона | Указывает, следует ли вычислять статистику p-значения для коэффициента уклона линии тренда.
|
Сезонный период | Задает единицы измерения времени, использующиеся для продолжительности сезонного периода при выполнении теста Seasonal-Kendall.
|
Типы регрессии
Уравнение регрессии для каждого варианта тренда приведено ниже.
- Линейная – линейная линия тренда является наиболее подходящей прямой линией, которая используется для оценки простых линейных отношений. Линейный тренд выделяет скорость изменения, которая увеличивается или уменьшается с постоянной скоростью. Формула для линейной линии тренда выглядит следующим образом:

- y = значение переменной пиксела.
- х = значение измерения.
- β0 = y-перехват.
- β1 = линейный уклон или скорость изменения.
β1 > 0 указывает на растущий тренд.
β1 < 0 указывает на убывающий тренд.
- Полиномиальная – полиномиальная линия тренда – это кривая, которая используется для данных с флуктуациями. В этом случае значение полиномиального порядка используется для указания максимального числа возникающих флуктуаций. Формула для полиномиальной линии тренда выглядит следующим образом:

- y = значение переменной пиксела
- х = значение измерения
- ß0, ß1, ß2, ß3, ..., ßn = константные коэффициенты
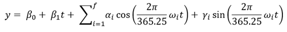
- Гармоническая – гармоническая линия тренда – это периодически повторяющаяся криволинейная линия, которая лучше всего используется для описания данных, следующих циклической схеме, например сезонных изменений температуры. Формула для гармонической линии тренда выглядит следующим образом:

- y = значение переменной пиксела
- t = дата по Юлианскому календарю
- β0 = y-перехват
- ß1 = скорость изменения
- α, γ = коэффициенты межгодовых или внутригодовых изменений
- ω = i
- f = гармоническая частота