Ниже приведены доступные распределения для различных инструментов, которые создают произвольные значения. Распределения преобразуют произвольные значения 0 - 1, созданные из заданного потока (определены либо глобально в среде анализа, либо локально в инструменте), в заданное распределение. См. Синтаксис распределения для произвольных значений для синтаксиса и параметров для каждого распределения.
Равномерное распределение
Равномерное распределение - это непрерывное распределение вероятностей, где все значения в установленном диапазоне имеют одинаковую вероятность. Целочисленное распределение - это дискретная версия равномерного распределения (см. ниже). Равномерное распределение может использоваться при моделировании концентрации газа в модели имитации или времени между авариями на перекрестках, а также для размещения точек в инструменте Создать произвольные точки (Create Random Points).
Равномерное распределение часто используется для моделирования произвольных событий, если каждый потенциальный результат или явление имеет одинаковую вероятность возникновения.

Формула для равномерного распределения:

, где
a - это минимальное значение для интервала с равными возможностями.
b - это минимальное значение для интервала с равными возможностями.
x - это точки наблюдения.
Выбранные произвольные значения - от минимального до максимального (оба эксклюзивные). Минимум должен быть меньше максимума. Если не заданы минимум и максимум, производятся равномерные переменные от 0,0 до 1,0.
Целочисленное распределение
Целочисленное распределение - это вероятность распределения, в котором все дискретные значения в заданном интервале имеют одинаковую вероятность. Целочисленное распределение - это дискретная версия равномерного распределения (см. выше). Целочисленное распределение может использоваться для моделирования вероятности каждого числа, возникающего, когда вы делаете выбор (каждое число имеет одну шестую вероятности возникновения), моделирующего произвольные события в имитационной модели или выбирающего местоположения выборки для биологического исследования.
Целочисленное распределение часто используется для моделирования произвольных событий, если каждый возможный результат или явление имеет одинаковую вероятность возникновения.

Формула для целочисленного распределения:

, где
a - это минимальное значение для интервала с равными возможностями.
b - это минимальное значение для интервала с равными возможностями.
x - это точки наблюдения.
Выбранные произвольные значения - от минимального до максимального (оба эксклюзивные). Минимум должен быть меньше максимума. Если не заданы минимум и максимум, создаются произвольные значения от 1 до 100.
Нормальное распределение
Нормальное распределение моделирует непрерывные произвольные переменные, которые обычно возникают. Нормальное распределение широко используется и применяется во многих приложениях. Оно строится на теореме центрального предела, которая основана на том принципе, что сумма произвольных переменных нормально распределена, если есть большое количество наблюдений. Например, количество раз, которое лицевая сторона монеты появляется при подбрасывании, приблизится к норме, если монету подбросить много раз. Примеры нормальных распределения по росту людей в стране, значений рельефа в штате и результатов математического теста для 12-летних учеников.

Формула для нормального распределения:

, где
- это среднее значение.
- это стандартное отклонение (положительное число).
Нормальное распределение симметрично относительно среднего значения, режима и медианы, которые равны ?.
Часто биномиальное и пуассоново распределения моделируют будущие дискретные, независимые, произвольные, истинные или ложные события (например, число раз heads возникает при выборе), используя относительно небольшое количество наблюдений, в то время, как нормальное распределение моделирует непрерывные переменные (например, рост, вес и количество), используя большое число наблюдений. Биномиальное и пуассоново распределения основаны на вероятности, в то время как нормальное распределение - это число наблюдений, встречающих величину.
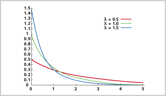
Экспоненциальное распределение
Экспоненциальное распределение - это распределение непрерывных вероятностей. Как правило, используется для моделирования времени между событиями, которые происходят на постоянной средней скоростью, или распределение может использоваться для моделирования возникновения событий на расстоянии в единицу. Время до следующего дорожно-транспортного происшествия на перекрестке, время между двумя падающими звездами, видными на небе, и расстояние между выбоинами на улице - все это примеры, в которых должно использоваться экспоненциальное распределение. В каждом из этих примеров, вместе с возрастанием времени или расстояния, экспоненциально больше вероятности для изменения состояния или для возникновения события. Появления событий не зависят друг от друга.

Формула для экспоненциального распределения:

, где
e - это натуральный логарифм.
x - это возможное число возникновений события (положительные целые значения).
Экспоненциальное распределение моделирует процессы Пуассона, где явление находится в исходное состояние. Экспоненциальное распределение - это непрерывная версия геометрического распределения. Если процесс перехода из состояния A в состояние B может быть разбит на несколько независимых задач, было бы лучше моделировать их с распределением гамма. Распределение контрастности моделирует суму нескольких независимых, экспоненциально распределенных переменных. Может быть виден как особые случаи экспоненциального распределения.
Пуассоново распределение
Пуассоново распределение - это дискретное распределение вероятности. Пуассоново распределение моделирует вероятность количества событий, возникающих в течение определенного шага во времени, дающего известное среднее значение. События не зависят от последнего возникновения. На оси x есть дискретные значения для событий 0, 1, 2, 3, 4 и т.д. (часто представляющие количество появлений события), и на оси y — вероятность возникновения явления, которое много раз дает известное среднее значение. Событиями может быть количество несчастных случаев на перекрестках, число врожденных пороков развития, или количество лосей на квадратный километр. Пуассоново распределение моделирует редкие появления. Распределение иногда называют законом малых чисел, т.к. событие не происходит часто, но есть много возможностей для того, чтобы оно произошло.

Формула показана ниже:

, где
e - это натуральный логарифм.
k - это возможное число возникновений для события (положительные целые значения).
k! - это факториал k.
(или среднее) - это положительное число, представляющее расширенное число возникновений в указанном интервале. Если событие возникает каждые 10 минут в час (60 минут), лямбда будет равняться 6.
Пуассоново распределение сходно с биномиальным распределением; однако, пуассоново распределение моделирует возникновение редкого события, не располагая информацией об общем количестве возможных появлений. Пуассоново распределение подсчитывает количество дорожно-транспортных происшествий на перекрестках, в то время, как биномиальное моделирует количество дорожно-транспортных происшествий относительно количества машин, проезжающих перекресток.
Гамма-распределение
Гамма-распределение - это непрерывное распределение возможности. Распределение контрастности моделирует суму нескольких независимых, экспоненциально распределенных переменных. Может быть виден как особые случаи экспоненциального распределения.

Формула для гамма-распределения:

Другой способ параметризации распределения гамма показан на рисунке:

Для альфа равного 1, распределение гамма равняется экспоненциальному распределению. Если альфа - целое число, гамма-распределение становится распределением Эрланга. Для целых альфа и бета, равных 2, гамма-распределение станет распределением хи в квадрате с 2 степенями альфа свободы.
Полученные переменные больше или равны 0. Альфа и бета должны быть больше 0.
Биномиальное распределение
Биномиальное распределение моделирует число появлений события при наблюдении последовательности потенциальных производителей события. Например, биномиальное распределение отражает количество людей в клиническом исследовании, умерших от болезни сердца, число людей, которые вышли на втором этаже в переполненном лифте, или количество животных в популяции, которые являются носителями определенных генетических черт.

Биномиальное распределение описывает случаи, а не величины. Оно может моделировать, сколько участников закончили гонку, а не насколько быстрыми были участники.
Формула для биномиального распределения выглядит следующим образом:

, где
n - число наблюдений.
p - вероятность появления.
x - количество успехов в диапазоне от 0 до n.
Общим примером использования биномиального распределения является определение вероятности количества раз, heads возникает при выборе 10 раз (n = 10). Это может быть 0 heads из 10, 1 из 10 и т.д.; таким образом, x = 0, 1, 2, 3, 4, 5, 6, 7, 8, 9, 10. А p - это вероятность для каждого x.
Все процессы являются независимыми, и каждый процесс имеет исход успеха или неудачи.
Биномиальное распределение приближается к распределению Пуассона для больших n и малых p. В этом случае легче использовать распределение Пуассона.
Биномиальное распределение выдает произвольную переменную для числа успехов из n процессов, где вероятность успеха в каждом процессе равна p (например, вероятность heads turning up равна p).
Геометрическое распределение
Геометрическое распределение - это дискретное распределение вероятности. Оно моделирует два основных вида явлений: (1) вероятность количества раз, необходимых для достижения успеха (например, сколько раз необходимо бросить кости, чтобы выпало число 6), или (2) вероятность числа отказов до достижения успеха (например, количество походов по следу, прежде чем вы увидите оленя). Вероятность того, что вы не увидите оленей в первом походе в процессе равняется (1 - p). Для второго похода вероятность не видеть оленя: (1 - p) (1 - p). Чем больше походов, тем вероятность не увидеть оленей экспоненциально убывает, и в конце концов олень должен быть выслежен. События не зависят друг от друга.

Формула для геометрического распределения выглядит следующим образом:

, где
p - вероятность успеха.
n - число процессов.
Геометрическое распределение - это дискретная версия экспоненциального распределения (см. выше). Геометрическое распределение является частным случаем отрицательного биномиального распределения или распределения Паскаля, где r в распределении Паскаля равняется 1 (см. ниже).
Отрицательное биномиальное распределение
Отрицательное биномиальное распределение - это дискретное распределение вероятности. Отрицательное биномиальное распределение основано на уравнениях Бернулли. Уравнения Бернулли моделируют события, в которых уравнения имеют один из двух результатов (успех и неудача), имеют шансы на успех, p (где p одинаково для каждого уравнения), не зависят друг от друга. Подбрасывание монетки - это процесс Бернулли. Например, отрицательное биномиальное распределение может моделировать, сколько попыток будет, пока не появятся пять заголовков в строке. Таким образом, отрицательное биномиальное распределение моделирует число отказов до успеха. Если r целочисленное, отрицательное биномиальное распределение станет частным случаем распределения Паскаля.
Формула для отрицательного биномиального распределения выглядит следующим образом:

, где
r - количество неудач.
p - вероятность успеха.
k - количество удавшихся попыток в диапазоне от 0 до n.
Если отрицательное биномиальное распределение представляет собой подбрасывание монеты, выдается произвольное значение раз, которое оно занимает для появления заголовков.