| Подпись | Описание | Тип данных |
Выходной класс объектов | Путь и имя выходного класса объектов, содержащего мозаичную сеть. | Feature Class |
Экстент | Экстент, который покрывается мозаичной сетью. Это может быть текущая отображаемая область, экстент набора данных или значения, введенные вручную.
Если координаты заданы вручную, они должны быть числовыми значениями в системе координат активной карты. На карте могут использоваться единицы отображения, отличные от введенных координат. Используйте знак отрицательного значения для координат юга и запада. | Extent |
Тип формы (Дополнительный) | Задает форму, которая будет создана.
| String |
Размер (Дополнительный) | Площадь каждой отдельной формы, входящей в состав элементов замощения. | Areal Unit |
Пространственная привязка (Дополнительный) | Пространственная привязка, которая будет назначена выходному классу объектов. | Spatial Reference |
Разрешение H3 (Дополнительный) | Задает разрешение H3 для шестиугольников. С каждым увеличением значения разрешения площадь полигонов будет на одну седьмую больше размера.
Этот параметр активен, когда для параметра Тип формы задано значение Шестиугольник H3. | Long |
Краткая информация
Создает мозаичную сетку объектов - правильных многоугольников для покрытия заданного экстента. Замощение может состоять из треугольников, квадратов, ромбов, шестиугольников, шестиугольников H3 или поперечных шестиугольников.
Иллюстрация

Использование
Для того, чтобы мозаичная сетка точно покрывала весь входной экстент, выходные объекты должны выходить за пределы входного экстента. Это происходит потому, что мозаичная сетка не всегда может иметь прямолинейные границы, и если сеть будет ограничена экстентом, будут появляться пробелы.
Для опций параметра Тип формы, отличных от Шестиугольник H3, выходные объекты создаются с использованием вычислений на плоскости (Евклидово). Для достижения наилучших результатов значение параметра Экстент должно быть указано в системе координат, которая минимизирует искажение расстояния или площади. Экстенты должны быть указаны в соответствующей системе координат проекции. Сначала следует спроецировать экстенты с географической системой координат или системами координат проекции, которые не подходят для измерения расстояний.
Когда параметр Тип формы задан как Шестиугольник H3, значения поля GRID_ID будут уникальным иерархическим индексом для каждой ячейки.

Для других значений параметра Тип формы поле GRID_ID будет уникальным ID каждого объекта. ID имеют вид: A-1, A-2, B-1, B-2 и т.д. Это облегчает выборку строк и столбцов с помощью запросов в инструменте Выбрать в слое по атрибуту. Например, выберите все объекты в столбце A с помощью GRID_ID like 'A-%' или все объекты в строке 1 с помощью GRID_ID like '%-1'.
Пространственная привязка выходных данных определяется следующим образом:
- Значение параметра Пространственная привязка, если оно задано.
- Если параметр Пространственная привязка не задан, будет использоваться значение параметра среды Выходная система координат, если оно задано.
- Если ни один из этих параметров не задан, будет использоваться пространственная привязка значения параметра Экстент.
Значение параметра Экстент состоит из координат, задающих прямоугольник, а также пространственной привязки. Когда экстент задается из существующего объекта, например, экстента активной карты, или при использовании arcpy.Describe(dataset).extent в Python, обычно включается пространственная привязка объекта.
Если для значения параметра Экстент задана неопределенная пространственная привязка, предполагается, что координаты находятся в пространственной привязке выходных данных.
Если для значения параметра Экстент задана пространственная привязка, которая отличается от пространственной привязки значения параметра Выходной класс объектов, объекты будут созданы в пространственной привязке значения параметра Экстент и будут проецироваться в систему координат выходных данных. Этот параметр не применяется, когда для параметра Тип формы задано значение Шестиугольник H3.
Чтобы создать сетку, исключающую объекты замощения, которые не пересекаются с объектами из другого набора данных, используйте инструмент Выбрать в слое по расположению, чтобы выбрать выходные полигоны, содержащие объекты-источники, и используйте инструмент Копировать объекты, чтобы создать постоянную копию выбранных выходных объектов в новом классе объектов.
Инструмент создает формы на основе заданной области. Чтобы определить площадь геометрии на основе длины стороны, используйте одну из следующих формул для расчета значения параметра Размер:
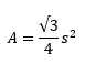
Форма Формула Пример Шестиугольник или Поперечный шестиугольник

Чтобы создать шестиугольники со стороной 100 метров, задайте для параметра Размер значение 25980,76211353316 квадратных метров (100, возведенное в степень 2, умноженное на 3, умноженное на квадратный корень из 3, деленный на 2).
Квадрат

Чтобы создать квадраты со стороной 100 метров, укажите для параметра Размер значение 10000 квадратных метров (100 в степени 2).
Ромб

Чтобы создать ромбы со стороной 100 метров, укажите для параметра Размер значение 10000 квадратных метров (100 в степени 2).
Треугольник

Чтобы создать треугольники со стороной 100 метров, задайте для параметра Размер значение 4330,127018922193 квадратных метра (100, возведенное в степень 2, умноженное на квадратный корень из 3, деленный на 4).
Для параметра Тип формы выбранная опция Шестиугольник H3 игнорирует параметр Размер. Площадь шестиугольника будет зависеть от значения параметра Разрешение H3.
Параметры
arcpy.management.GenerateTessellation(Output_Feature_Class, Extent, {Shape_Type}, {Size}, {Spatial_Reference}, {H3_Resolution})| Имя | Описание | Тип данных |
Output_Feature_Class | Путь и имя выходного класса объектов, содержащего мозаичную сеть. | Feature Class |
Extent | Экстент, который покрывается мозаичной сетью. Это может быть текущая отображаемая область, экстент набора данных или значения, введенные вручную.
| Extent |
Shape_Type (Дополнительный) | Задает форму, которая будет создана.
| String |
Size (Дополнительный) | Площадь каждой отдельной формы, входящей в состав элементов замощения. | Areal Unit |
Spatial_Reference (Дополнительный) | Пространственная привязка, которая будет назначена выходному классу объектов. | Spatial Reference |
H3_Resolution (Дополнительный) | Задает разрешение H3 для шестиугольников. С каждым увеличением значения разрешения площадь полигонов будет на одну седьмую больше размера.
Этот параметр активен тогда, когда параметр Shape_Type имеет значение H3_HEXAGON. | Long |
Пример кода
Пример скрипта окна Python для использования функции GenerateTessellation в режиме прямого запуска.
import arcpy
tessellation_extent = arcpy.Extent(0.0, 0.0, 10.0, 10.0)
spatial_ref = arcpy.SpatialReference(4326)
arcpy.management.GenerateTessellation(r"C:\data\project.gdb\hex_tessellation",
tessellation_extent, "HEXAGON",
"100 SquareMiles", spatial_ref)Следующее окно скрипта Python демонстрирует использование функции GenerateTessellation для создания шестиугольников H3.
# Import modules
import arcpy
# Create some variables
out_gdb = r"C:\temp\project.gdb\h3_hexagon"
extent = arcpy.Extent(0.0, 0.0, 10.0, 10.0)
sr = arcpy.SpatialReference(4326)
# Generate H3 hexagons
arcpy.management.GenerateTessellation(out_gdb, Extent=extent, Shape_Type="H3_HEXAGON",
H3_Resolution=5, Spatial_Reference=sr)В следующем автономном скрипте Python показано, как программно извлечь экстент класса объектов и использовать его для заполнения параметров функции GenerateTessellation.
# Name: GenerateDynamicTessellation.py
# Purpose: Generate a grid of squares over the envelope of a provided feature
# class.
# Import modules
import arcpy
# Set paths of features
my_feature = r"C:\data\project.gdb\myfeature"
output_feature = r"C:\data\project.gdb\sqtessellation"
# Describe the input feature and extract the extent
description = arcpy.Describe(my_feature)
extent = description.extent
# Find the width, height, and linear unit used by the input feature class' extent
# Divide the width and height value by three.
# Multiply the divided values together and specify an area unit from the linear
# unit.
# Should result in a 4x4 grid covering the extent. (Not 3x3 since the squares
# hang over the extent.)
width = extent.width
height = extent.height
unit = extent.spatialReference.linearUnitName
size = width/3 * height/3
area = f"{size} Square{unit}s"
# Use the extent's spatial reference to project the output
spatial_ref = extent.spatialReference
arcpy.management.GenerateTessellation(output_feature, extent, "SQUARE", area,
spatial_ref)Параметры среды
Информация о лицензиях
- Basic: Да
- Standard: Да
- Advanced: Да
- экстент будет основан на активной карте или сцене.
- экстент будет основан прямоугольнике, нарисованном на карте или сцене.
- экстент будет основан на активном слое карты. Выберите доступный слой или воспользуйтесь опцией
- экстент всех объектов.
- экстент выбранных объектов.
- экстент отображаемых объектов.
- экстент будет основан на наборе данных.
- экстент может быть скопирован в буфер обмена и из него.
- копирует экстент и систему координат в буфер обмена.
- экстент будет сброшен до значения по умолчанию.