| Подпись | Описание | Тип данных |
Входной геостатистический слой | Анализируемый геостатический слой. | Geostatistical Layer |
Выходной класс точечных объектов (Дополнительный) | Хранит статистику перекрестной проверки по каждому положению в геостатистическом слое. | Feature Class |
Производные выходные данные
| Подпись | Описание | Тип данных |
| Числа | Общее количество используемых опорных точек. | Long |
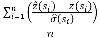
| Средняя ошибка | Средняя ошибка (Mean Error) – усредненная разность между измерением и проинтерполированным значением. | Double |
| Квадратный корень из среднего | Среднеквадратичная ошибка (Root Mean Square Error) указывает, насколько близко модель прогнозирует замеренные значения. | Double |
| Средняя стандартная | Средняя стандартная ошибка (Average Standard Error) – среднее значение стандартных ошибок интерполяции. | Double |
| Средняя нормированная | Средняя нормированная ошибка – среднее значение нормированной ошибки. | Double |
| Квадратный корень из среднего стандартизированный | Среднеквадратичная нормированная ошибка – стремится к 1 в случае, если стандартные ошибки интерполяции допустимы. | Double |
| Процент в интервале 90% | Процент в интервале 90% – процент точек, который находится в диапазоне 90% доверительного интервала перекрестной проверки. Это значение должно быть близко к 90. | Double |
| Процент в интервале 95% | Процент в интервале 95% – процент точек, который находится в диапазоне 95% доверительного интервала перекрестной проверки. Это значение должно быть близко к 95. | Double |
| Средний CRPS | Средний CRPS – континуальное ранжированное значение вероятности (CRPS) всех точек. CRPS позволяет измерить отклонение от функции прогнозируемого совокупного распределения для каждого найденного значения данных. Это значение должно быть как можно меньше. Этот способ оценки имеет преимущества по сравнению с другими оценками перекрестной проверки, потому что он сравнивает данные с полным распределением, а не с прогнозами для конкретной точки. Вычисление этой статистики включает симуляции, поэтому оно не может быть записано простой формулой. | Double |




