Доступно с лицензией Spatial Analyst.
Древовидная схема - это диаграмма, показывающая расстояния между каждой парой последовательно объединенных классов. Чтобы избежать пересечения линий, диаграмма графически организована таким образом, что члены каждой пары классов, подлежащих объединению, являются соседями на диаграмме.
Инструмент Древовидная схема использует алгоритм иерархической кластеризации. Сначала программа вычисляет расстояния между каждой парой классов во входном файле сигнатур. Затем он итеративно объединяет ближайшую пару классов и последовательно объединяет следующую ближайшую пару классов и последующую ближайшую до тех пор, пока все классы не будут объединены. После каждого объединения расстояния между всеми парами классов обновляются. Расстояния, на которых объединяются сигнатуры классов, используются для построения древовидной схемы.
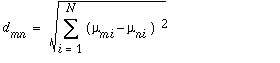
Когда параметр Использовать дисперсию при вычислении расстояний выключен (MEAN_ONLY в Python), расстояние dmn между парой классов m и n измеряется как расстояние между их средними значениями:

, где:
m и n - ID классов
i - номер слоя
µ - среднее класса m или n на слое i
Когда параметр дисперсии включен (VARIANCE в Python), инструмент Древовидная схема измеряет расстояния между парами классов на основе их средних значений и дисперсий, используя следующую формулу:

где V - дисперсия класса m или n на слое i.
Новая статистика (средние значения и дисперсии), описывающая объединенный класс, основана на исходном среднем значении и дисперсии выборок, составляющих объединенный класс. Таким образом, объединенный класс создается с использованием объединенного среднего значения и дисперсии. Две сигнатуры, использованные для создания объединенного класса, заменяются одной сигнатурой объединенного класса. Новая сигнатура среднего значения вычисляется на основе местоположений в многомерном пространстве атрибутов всех ячеек, участвующих в объединенном классе. Новая сигнатура сохраняет меньший номер из двух входных классов для объединенного идентификатора класса.
Уровни значений или расстояния, на которых объединяется каждая пара классов, могут быть интерполированы с помощью масштабных линеек графа древовидной схемы. Из-за ограничения размера символа (грубое разрешение графики) уровни слияния для отображения округляются. Однако точные значения уровней слияния представлены как DISTANCE в таблице, связанной с древовидной схемой.
Дисперсии, а не ковариации, используются для вычисления расстояния после объединения пары классов. В алгоритме Древовидной схемы не используется расстояние Махаланобиса для определения расстояния между классами. Следовательно, расстояния между классами и объединенными классами могут не совпадать с результатами тех инструментов сетки, которые основаны на расстоянии Махаланобиса, таких как Редактирование сигнатур, Классификация по методу максимального подобия и Вероятность классов.
Древовидная схема может быть использована для уменьшения статистической погрешности классификации в анализе путем предоставления информации, необходимой для объединения или разделения классов данных. Если классы в анализе статистически слишком близки (т.е. может быть трудно различить два класса на основе их статистики), это может привести к неправильной классификации. В этом случае рассмотрите возможность слияния классов. Нет никаких четких правил, когда классы должны и не должны объединяться. Когда следует объединять классы? Это зависит от неоднородности области исследования и данных, количества классов, на которые вы пытаетесь классифицировать данные, и ваших целей. Например, если область изучения очень неоднородна, у вас есть потенциал для применения множества различных, разрозненных классов, поэтому объединение классов может не потребоваться. В другой возможной ситуации ваши данные могут быть более однородными, и вы, возможно, пытаетесь классифицировать данные по слишком большому количеству классов. Во втором случае классы могут быть статистически слишком близки; поэтому объединение некоторых классов может оказаться целесообразным.
Если анализ не требует подробных классов, можно объединить классы в более общие категории, чтобы уменьшить вероятность неправильной классификации. Древовидная схема определяет, какие классы статистически наиболее близки, но вы сами должны определить, используя свое знание области и цели, когда классы целесообразно объединить.
Например, может оказаться целесообразным объединить два класса, если вы задали один класс как водно-болотные угодья, а второй класс как болота. Однако статистика, определенная на основе обучающих выборок, очень схожа между двумя классами; следовательно, эти два класса будут близки в итоговой древовидной схеме. Если вас интересует только определение водно-болотных угодий, можно объединить болота с общим классом водно-болотных угодий.
Древовидная схема не только определяет, какие классы могут быть объединены, она также может определить, когда полезно добавление классов. Если класс статистически далек от другого класса, вам может потребоваться добавить классы для дальнейшего уточнения классификации. Например, вы могли указать один класс для сельскохозяйственных культур, а второй класс - для травы. На готовой древовидной схеме эти два класса могут находиться далеко друг от друга. Однако предположим, что у вас есть многоканальный растр высокого разрешения. Если вы анализируете сельскохозяйственную продукцию в данном районе, данные с более высоким разрешением могут позволить вам выделить классы посевов и трав для определенных типов культур.
Пример
В следующем примере классы 3 и 5 являются ближайшими соседями в пространстве атрибутов; поэтому они объединяются на уровне 3.443. Это значение показывает относительную степень сходства, которую также можно рассматривать как расстояние в многомерном пространстве. Эти два класса объединяются и рассматриваются как единый класс. Вычисляется статистика для объединенного класса и расстояния от объединенного класса до других классов. Затем определяются следующие два ближайших класса. Два кандидата - это классы 4 и 6. Расстояние между ними составляет 3.609, они объединяются. Процесс повторяется. Все классы последовательно объединяются в более крупные классы, пока все классы не будут объединены в один.
- Параметры, используемые в диалоговом окне инструмента Древовидная схема:
Входной файл сигнатур - isoclust12.gsg
Выходной файл древовидной схемы - isodendro.txt
Использовать дисперсию при вычислении расстояний - {по умолчанию}
Ширина линии древовидной схемы - 78
Выходной файл древовидной схемы будет выглядеть следующим образом:
Distances between pairs of combined classes (in the sequence of merging):
Remaining Merged Between-Class
Class Class Distance
----------------------------------
3 5 3.442680
4 6 3.608904
7 9 3.899360
2 7 3.795288
3 4 4.883098
2 8 6.073256
1 3 6.257798
1 2 9.350019
----------------------------------
Dendrogram of /discb/topdir/myspace/isoclust12.gsg
C DISTANCE
L
A
S 0 1.0 2.1 3.1 4.1 5.2 6.2 7.2 8.3 9.3
S |-------|-------|-------|-------|-------|-------|-------|-------|------
5 -------------------------|
|----------|
3 -------------------------| |
|----------|
6 ---------------------------| | |
|--------| |-------------------|
4 ---------------------------| | |
| |
1 -----------------------------------------------| |
|-
9 -----------------------------| |
| |
7 ---------------------------------------------| |
| | |
2 ------------------------------| |---------------------|
|
8 ---------------------------------------------|
|-------|-------|-------|-------|-------|-------|-------|-------|------
0 1.0 2.1 3.1 4.1 5.2 6.2 7.2 8.3 9.3