Доступно с лицензией Spatial Analyst.
Понимание различных характеристик рельефа имеет важное значение для широкого спектра применений, от гидрологических исследований до оценки подверженности оползням. Одним из таких применений является классификация рельефа по формам рельефа. Форма рельефа - это естественная форма местности, такая как долины или вершины.
Среди различных методов классификации рельефа выделяется геоморфологический метод (Ясевич и Степински, 2013), который определяет формы рельефа на основе данных о рельефе, используя перепады высот и концепции видимости. Инструмент Геоморфологические формы рельефа применяет эти концепции для поиска четкого паттерна, представляющего область местности.
Метод геоморфологии позволяет идентифицировать в общей сложности 498 уникальных паттернов. Некоторые геоморфологии описывают формы рельефа, которые не встречаются в естественной среде, в то время как другие описывают один и тот же тип формы рельефа. Таким образом, между геоморфологией и формами рельефа существует соответствие многие к одному. Как только геоморфологический объект определен, его можно сопоставить с формой рельефа с помощью справочной таблицы.
Логика работы инструмента Геоморфологические формы рельефа
Инструмент Геоморфологические формы рельефа использует метод геоморфологии для классификации местности по формам рельефа.
Для каждой ячейки входного растра инструмент выполняет следующие операции:
- Настройка области анализа. При этом определяется область анализа с использованием параметров Расстояние поиска и Расстояние пропуска.
- Получение геоморфологического паттерна с помощью Local Ternary Pattern (LTP). Чтобы найти Local Ternary Pattern (LTP) для каждого из 8 кардинальных направлений, расширьте линию видимости и классифицируйте ее на основе надирного и зенитного углов.
- Преобразование LTP в троичное число (с основанием 3), которое хранит уникальный паттерн или геоморфологию. Сохранение этого значения для целевой ячейки.
- Сопоставление геоморфологического паттерна с одной из 10 наиболее распространенных форм рельефа по справочной таблице.
Каждый из этих шагов более подробно описан в разделах ниже.
Настройка области анализа для расчета геоморфологического паттерна
Область анализа для инструмента - это область рельефа, используемая для расчета геоморфологического паттерна в целевой ячейке. Он определяет, какие соседние ячейки инструмент использует для определения геоморфологического паттерна.
Область анализа определяется параметрами Расстояние поиска и Расстояние пропуска. Параметр Расстояние поиска определяет экстент охватываемой области. Параметр Расстояние пропуска определяет, какая область в непосредственной близости от целевой ячейки будет исключена из классификации. На следующем рисунке показан пример области анализа, определяемой расстоянием поиска в 3 ячейки и расстоянием пропуска в 1 ячейку. Ячейки для обработки определяются путем сравнения расстояния между центром каждой ячейки и целевой ячейкой со значением расстояния поиска. Если значение расстояния поиска больше, ячейка будет включена в обработку.

Указание больших значений расстояния поиска может привести к обобщению окружающего ландшафта. Меньшие значения позволят получить более детальный результат. Увеличение значения расстояния пропуска полезно для уменьшения шума от соседних ячеек, которые могут представлять ошибочные значения высоты или могут не предоставлять дополнительную информацию о разнице высот.
Эти два параметра также могут помочь определить особенности рельефа в зависимости от их размера. Чтобы сделать это, настройте эти параметры на значения, которые соответствуют тому, что вы хотите классифицировать. Ниже приведены некоторые общие рекомендации по настройке этих параметров:
- Используйте для параметра Расстояние поиска значение, в 50-100 раз превышающее размер входной ячейки, чтобы определить идентифицировать или крупные объекты рельефа, такие как реки. Идентификация широких или крупных объектов рельефа также позволит идентифицировать мелкие объекты в процессе, но в зависимости от значения параметра Расстояние пропуска они могут быть не найдены. Поэтому рекомендуется изменять по одному параметру за раз, чтобы найти оптимальное значение для каждого из них.
- Используйте значение в 5-15 раз больше размера входной ячейки для определения узких или небольших объектов рельефа, таких как узкие ручьи.
- Используйте меньшие значения для определения очень узких объектов рельефа, таких как горные хребты.
Получение геоморфологического паттерна
Как только область анализа определена, следующим шагом является расчет геоморфологического паттерна на основе Local Ternary Pattern (LTP).
Определение Local Ternary Pattern с помощью зенитного и надирного углов
Во-первых, LTP эквивалентен присвоению значения 0, 1 или -1 каждому из 8 кардинальных направлений. Значение, которое будет присвоено данному направлению, определяется разницей между зенитным и надирным углами.
Зенитный угол, Z, угол, образованный между направлением на зенит (непосредственно над головой) и линией видимости, вытянутой до границы области анализа, вдоль анализируемого направления. Эта линия представляет все, что можно увидеть из целевой ячейки.
Угол надира, N, определяется аналогичным образом. Это соответствует углу, образованному между направлением надира (непосредственно под ногами) и гипотетической линией обзора, проходящей по самой низкой отметке в пределах области до границы области анализа.
На рисунке 2 показан профиль высот рельефа, проанализированный в одном направлении (например, на север), и каждый из углов, определенных с использованием соответствующей линии видимости.

После определения двух углов используется пороговое значение угла плоской поверхности для определения значения LTP, которое будет присвоено анализируемому направлению. Математическое выражение выглядит следующим образом:

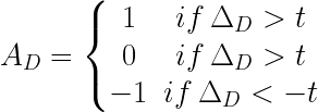
где
- AD - это значение, присвоенное анализируемому направлению.
- ΔD - это разница между надирным и зенитным углами, Z и N.
- t - это пороговое значение угла плоской поверхности.
Пороговое значение угла наклона плоской поверхности - это значение в градусах, позволяющее установить ограничение для рельефа, который будет классифицироваться как плоский. В соответствии с тем же примером, показанным на рисунке 2, указание порогового значения угла плоской поверхности, равного 1 (t = 1 градус), приведет к присвоению анализируемому направлению значения 1. Это происходит согласно формуле 90° - 45° = 45° > 1°.
Тот же процесс повторяется по часовой стрелке в каждом кардинальном направлении.
Построение геоморфологического паттерна для целевой ячейки
После того, как каждому из 8 направлений будет присвоено значение, результат объединяется в кортеж из 8 элементов, который будет сохранен в целевой ячейке. Примером кортежа из 8 элементов может быть (0, -1, 0, 1, 0, 0, 1, 1). Для удобства хранения кортеж преобразуется в троичное число (основание 3). Этот результат и есть геоморфологический паттерн.
Общее число возможных геоморфологических паттернов составляет 6561 (38). Многие из них являются результатом вращения или отражения других паттернов, и общее число может быть сокращено до 498.
Соответствие геоморфологического паттерна типу формы рельефа
Инструмент использует таблицу для сопоставления геоморфологического паттерна с определенным типом формы рельефа, следуя аргументам, представленным в работе Ясевича и Степинского (2013). Таблица позволяет сопоставить геоморфологический паттерн с одной из 10 наиболее распространенных форм рельефа.

Для определенной формы рельефа можно сопоставить несколько различных геоморфологических паттернов, если их определение практически не отличается. Приемлемые вариации - это необходимое допущение для создания справочной таблицы.

Только такие типы формы рельефа, как пики и впадины, соответствуют уникальному геоморфологическому паттерну. Для пиков (-1, -1, -1, -1, -1, -1, -1, -1) по существу, все ячейки, окружающие целевую ячейку, расположены ниже. Аналогично для впадин (1, 1, 1, 1, 1, 1, 1, 1) все ячейки, окружающие целевую ячейку, расположены выше.
Итоговый растр формы рельефа и геоморфологии
Заключительным шагом является сохранение результата сопоставления в значении параметра Выходной растр форм рельефа. Геоморфологический паттерн - это дополнительные выходные данные, которые можно использовать для дальнейшего анализа или диагностики.
Список литературы
Jasiewicz, Juroslav and Tomasz F. Stepinski. 2013. "Geomorphons - a pattern recognition approach to classification and mapping of landforms." Geomorphology Volume 182, January 15, pp. 147–56. https://doi.org/10.1016/j.geomorph.2012.11.005