Доступно с лицензией Spatial Analyst.
Плотность ядер пространства-времени — расширяет вычисление плотности ядра за счет анализа относительного положения и величины входных объектов, включая другие измерения, такие как время и глубина (высота). Итоговые выходные данные идентифицируют величину на единицу площади, используя несколько функций ядра, чтобы вписать плавно сужающуюся поверхность в каждую входную точку.
Сравнение с другими инструментами плотности
Анализ плотности - ключ ко множеству типов пространственного и геостатистического анализа. Примеры:
- Изучение демографии
- Изучение концентраций, воздействий и отказоустойчивости
- Разработка правил, помогающих определить потребность в каких-либо конкретных услугах в определенном месте или сообществе, например, медицинские учреждения, службы экстренной помощи, инфраструктура и дорожные сети
Доступны также другие инструменты для вычисления плотности, включая Плотность ядер, Плотность точек и Плотность линий. Эти инструменты вычисляют плотность объектов (точек или линий) в окрестности объектов. Но они не учитывают другие измерения.
Инструмент Плотность ядер пространства-времени анализирует плотность событий или инцидентов, которые происходят как в пространстве так и во времени, а также могут учитывать рельеф местности. Учитывая рельеф и время в вычислениях инструмент расширяет понимание пространственного и временного распределения, трендов и закономерностей явления, которое вы изучаете.
Основные преимущества вычисления плотности ядер пространства-времени
Инструмент Плотность ядер пространства-времени объединяет концепцию оценки плотности ядер и временной анализ, что дает более глубокое понимание закономерностей. Некоторые из преимуществ этого инструмента по сравнению с другими формами оценки плотности включают возможность:
- Анализировать как пространственные, так и временные измерения событий одновременно на разных высотах. Это обеспечивает более целостное понимание закономерностей и помогает идентифицировать области с высокой или низкой концентрацией событий во времени, в пространстве и на высоте.
- Временной аспект позволяет проанализировать, как меняется плотность событий с течением времени. Это полезно при изучении динамических явлений, таких как тенденции совершения преступлений, вспышки заболеваний или транспортные потоки.
- Учет рельефа и временного аспекта позволит проанализировать, как меняется плотность во времени на различных высотах. Это особенно полезно для изучения динамических явлений в науках о земле, например, атмосферное давление, плотность озонового слоя, загрязнения, составы воздуха и воды, соленость воды, уровень растворенного кислорода, электропроводимость, давление и температура воды.
- Используйте гибкость в выборе параметров, включая выбор типа ядра, радиуса поиска (полосы пропускания), высот и единиц измерения времени. Это позволит настроить анализ под конкретные потребности и характеристики данных, что приведет к более точным и значимым результатам.
- Используйте существующие возможности ArcGIS Pro для анализа и визуализации многомерных растровых данных и указывайте различные опции визуализации с использованием формата Esri Cloud Raster Format (CRF) для многомерных данных в качестве выходного растра по умолчанию. Это особенно полезно для выделения какого-либо конкретного измерения, или для визуализации и помощи в идентификации горячих точек, трендов и закономерностей в данных в пространстве и во времени, что позволяет принимать обоснованные решения и лучше понимать пространственно-временные отношения.
Этот инструмент предлагает более глубокое понимание закономерностей событий. Он может быть применен в различных областях, включая анализ преступности, картирование заболеваний, транспортное планирование, мониторинг окружающей среды, океанографию и изучение атмосферы. Его способность анализировать как пространство, так и время делает его универсальным инструментом для понимания сложных явлений. Тем не менее, преимущества и применимость этого инструмента могут варьироваться в зависимости от характера данных и целей анализа.
Как вычисляется Плотность ядер пространства-времени
Инструмент Плотность ядер пространства-времени использует точечные объекты с данными высот и меткой времени для вычисления плотности точечных объектов вокруг каждой ячейки выходного растра.
Концептуально, для каждой точки подбирается (строится) сглаженная изогнутая поверхность. Технология схожа с описанием работы инструмента в разделе Как работает инструмент Плотность ядер для точечных входных данных. Значение поверхности в местоположении точки максимально и уменьшается с увеличением расстояния от местоположения точки, достигая нуля на расстоянии от точки, равном значению, заданному в параметре Радиус поиска. Так как входные данные исключительно точечные, возможно использование только окрестности в форме круга. Объем под поверхностью равен значению Поля генеральной совокупности для точки, либо 1, если задано значение NONE. Значение плотности в каждой ячейке выходного растра вычисляется путем сложения значений всех ядер, в тех точках, где они накладываются на центр ячейки растра. В основе функции ядра лежит функция квартетного ядра, описанная в Silverman (1986, стр. 76, уравнение 4.5).
Формула имеет следующий вид:

Где:
- i = 1,…,n являются входными точками.
- f(j) - плотность в центре каждой ячейки.
- dij - расстояние между точкой инцидента и центром ячейки.
- h - радиус поиска.
Если значение Поля генеральной совокупности отличается от значения NONE, значение каждого элемента определяет количество подсчетов точки. Например, значение, равное трем, приводит к тому, что точка будет подсчитана три раза. Значения могут быть целыми числами или числами с плавающей точкой.
По умолчанию, единица измерения выбирается, исходя из единиц измерения в определении проекции входных точечных объектов, или же единиц, определяемых параметром среды Выходной системы координат.
Если выбраны Единицы площади, вычисленная для ячейки площадь умножается на соответствующий коэффициент до того, как значение записывается в выходной растр. Например, линейные единицы измерения - метры, единицы измерения площади по умолчанию будут установлены как Квадратные километры. Применение коэффициента пересчета для перевода метров в километры в результате выдаст значения, отличающиеся на множитель, равный 1000000 (1000 × 1000).
Прогнозирование плотности в местоположении
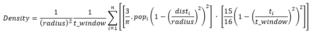
Предсказанная плотность в новом местоположении (x, y) определяется следующей формулой:

Где:
- i = 1,…,n являются входными точками. При disti < radius в сумму включаются только точки, если они находятся в пределах расстояния радиуса от местоположения (x,y).
- popi - это значение поля генеральной совокупности точки i. Это дополнительный параметр.
- disti - это расстояние между точкой i и местоположением (x,y).
- radius - это заданный радиус поиска вокруг местоположения (x,y).
Вычисленная плотность затем умножается на количество точек, либо сумму Поля генеральной совокупности, если она указана. Эта поправка делает пространственную составляющую равной числу точек (или сумме поля генеральной совокупности), а не всегда равной 1. Это улучшение использует подход Квадратического ядра, как описано Silverman, 1986. Эта формула будет вычислена для каждого местоположения, в которой вы хотите оценить плотность. После того, как будет создан растр, вычисления будут применены к центрам каждой ячейки в выходном растре.
Время и высота
Плотность может быть рассчитана по времени, по высоте или и по времени, и по высоте. Используйте измерение времени для анализа закономерностей и тенденций с течением времени в пределах заданного временного диапазона. Используйте измерение высоты, чтобы учесть влияние рельефа на распределение событий.
В следующих разделах содержится дополнительная информация о параметрах этих измерений и используемых формулах.
Плотность ядер во времени по точкам (x,y)
Для включения временного измерения в вычисления этого инструмента вам необходимо установить время начала, время окончания и временной интервал.
Параметр Время начала определяет начало временного периода, для которого вы хотите вычислить плотность. Это может быть конкретная дата, (например, 31.12.2023), или время (15:45:45), а также дата и время вместе (31.12.2023 15:45:45). Время начала будет нижней границей временного окна поиска (t_window) для вычислений.
Параметр Время окончания указывает на окончание временного периода для вычисления плотности. Подобно времени начала, это может быть конкретная дата или время, или и то и другое вместе. Время окончания будет верхней границей временного окна поиска (t_window) для вычислений.
Параметр Временной интервал указывает дробность временных интервалов, используемых в анализе. Он определяет длину каждого временного интервала, например, 1 час, 1 день или 1 месяц. Временной интервал разбивает временной диапазон между временем начала и временем окончания на небольшие сегменты для вычисления плотности. Единицами измерения интервала могут быть секунда, минута, час, день или неделя.
На основании указанного времени начала, времени окончания и временного интервала инструмент вычисляет плотность событий в пределах каждого временного интервала и по всему временному диапазону. Разбивая временной диапазон между временем начала и временем окончания на небольшие сегменты на основе указанного временного интервала инструмент вычисляет плотность событий в пределах каждого временного интервала. Это позволяет выполнить более детализированный анализ того, как меняется плотность событий с течением времени. Например, если вы установили временной интервал на 1 час, и временной диапазон с 9:00 до 17:00, инструмент вычислит плотность событий в пределах каждого часа (9:00-10:00, 10:00-11:00 и так далее), что даст понимание временных закономерностей изучаемого события.
Для вычисления плотности ядер во времени по точкам (x,y) используются пространственное ядро, k(x,y), и временное ядро k(t). Это результат вычисления плотности ядер с учетом высоты по следующей формуле:

Где:
- При disti < radius в сумму включаются только точки, если они находятся в пределах расстояния радиуса от местоположения (x,y).
- При ti < t_window, oв расчет включаются только время в пределах временного окна поиска.
- popi - это значение поля генеральной совокупности точки i. Это дополнительный параметр.
- disti - это расстояние между точкой i и местоположением (x,y).
- radius - это заданный радиус поиска вокруг местоположения (x,y).
- ti - это время в каждом интервале, рассчитанное во временном окне (t_window).
- t_window - это временное окно поиска.
Плотность ядер на разных высотах по точкам (x,y)
Параметры высот используются для анализа плотности событий или явлений, которые происходят во времени и на разных высотах. Инструмент учитывает пространственное местоположение событий, а также высоту, на которой они происходят. Для вычисления измерения высоты в этом инструменте вам необходимо указать три параметра - минимальная высота, максимальная высота и интервал высот.
Параметр Минимальная высота указывает минимальное значение высоты в пределах диапазона высот, который вы используете для вычисления плотности. Он задает нижнюю границу диапазона высот для анализа.
Параметр Максимальная высота указывает максимальное значение высоты в пределах диапазона высот, который вы используете. Подобно минимальной высоте он задает верхнюю границу диапазона высот для анализа.
Параметр Интервал высот указывает дробность интервалов высот, используемых в анализе. Он определяет длину каждого интервала высот, например 100 метров, 500 метров или 1 километр. Интервал высот разбивает диапазон высот между минимальной и максимальной высотами на небольшие сегменты для вычисления плотности.
На основании указанного на основании минимальной высоты, максимальной высоты и интервала высот инструмент вычисляет плотность событий в пределах каждого интервала высот и по всему диапазону высот.
Для вычисления плотности ядер на разных высотах по точкам (x,y) используются пространственное ядро, k(x,y), и ядро высоты k(z). Это результат вычисления плотности ядер с учетом высоты по следующей формуле:

Где:
- При disti < radius в сумму включаются только точки, если они находятся в пределах расстояния радиуса от местоположения (x,y).
- При zi < z_distance, oв расчет включаются только высоты, если они находятся в пределах радиуса поиска для высот.
- popi - это значение поля генеральной совокупности точки i. Это дополнительный параметр.
- disti - это расстояние между точкой i и местоположением (x,y).
- radius - это заданный радиус поиска вокруг местоположения (x,y).
- zi - это высота в каждом интервале, рассчитанная в окне высот.
- z_distance - радиус поиска для высот.
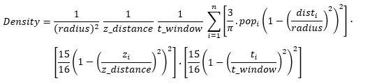
Плотность ядер на разных высотах с учетом времени по точкам (x,y)
Плотность ядер может быть проанализирована как по высоте, так и по времени. Для этого необходимо задать шесть параметров: минимальная высота, максимальная высота, интервал высот, время начала, время окончания и временной интервал.
Для вычисления плотности ядер на разных высотах с учетом времени по точкам (x,y) используется следующая формула:

Где:
- При disti < radius в сумму включаются только точки, если они находятся в пределах расстояния радиуса от местоположения (x,y).
- При zi < z_distance, oв расчет включаются только высоты, если они находятся в пределах радиуса поиска для высот.
- При ti < t_window, oв расчет включаются только время в пределах временного окна поиска.
- popi - это значение поля генеральной совокупности точки i. Это дополнительный параметр.
- disti - это расстояние между точкой i и местоположением (x,y).
- radius - это заданный радиус поиска вокруг местоположения (x,y).
- zi - это высота в каждом интервале, рассчитанная в окне высот.
- z_distance - радиус поиска для высот.
- ti - это время в каждом интервале, рассчитанное во временном окне (t_window).
- t_window - это временное окно поиска.
Параметры окна поиска
Радиус поиска (или ширина полосы, как определено для инструмента Плотность ядер) определяет экстент или зону влияния, которое каждое событие оказывает на результат вычисления плотности. Это играет решающую роль в определении пространственного и временного экстента анализа. Дополнительные сведения см. в разделе Радиус поиска (ширина полосы) по умолчанию в инструменте Плотность ядер.
В инструменте Плотность ядер пространства-времени вы указываете каждый радиус поиска отдельно для трех типов измерений: (x, y), высота (z) и время (t).
Радиус поиска для x и y
Параметр Радиус поиска (x и y) определяет расстояние, в пределах которого события оказывают влияние на вычисление плотности по измерениям x и y. Радиус поиска может использовать те же единицы измерения, что и входные данные, или может быть задан в определенных единицах, например, метрах, километрах или градусах.
Указание большего радиуса поиска приведет к получению более сглаженной поверхности плотности, так как события, происходящие дальше от определенного местоположения, будут оказывать большее влияние на его значение плотности.
Радиус поиска для высот
Параметр Радиус поиска (z) определяет расстояние по вертикали, в пределах которого события оказывают влияние на вычисление плотности по измерениям высоты. Он может быть указан в единицах измерения, например, метрах или футах, или может использовать единицы измерения высот входных данных.
Так же, как и для значений x и y, указание большего радиуса поиска приведет к получению более сглаженной поверхности плотности, так как события, расположенные на большей высоте от определенного местоположения, будут оказывать большее влияние на его значение плотности.
Радиус поиска для времени
Параметр Временное окно поиска (t) определяет временной экстент, в пределах которого события оказывают влияние на вычисление плотности. Он указывается в единицах измерения времени, например, часы, дни или месяцы. Временное окно устанавливает продолжительность для каждого события, и события, происходящие в течение этой продолжительности, будут влиять на расчет плотности в определенном месте и в определенное время.
Детализация и сглаженность результата
Настраивая значения радиуса поиска на вкладке Параметры ядра, вы можете управлять уровнем детализации и степенью сглаженности результирующей поверхности плотности. Меньший радиус поиска или ширина полосы позволят улавливать более локальные закономерности, в то время как больший радиус поиска или ширина полосы позволят увидеть более глобальные тренды и закономерности.
Выбор подходящего радиуса поиска или ширины полосы требует тщательного изучения характеристик данных и целей анализа. Экспериментирование с различными значениями и оценка полученных поверхностей плотности могут помочь найти наиболее подходящие параметры для вашего конкретного анализа.
Вычисление радиуса поиска
Алгоритм, используемый для определения радиуса поиска по умолчанию, делает следующее:
- Вычисляется усредненный центр входных точек. Если есть Поле генеральной совокупности, то данное и все последующие вычисления будут взвешены по значениям данного поля.
- Вычисляется расстояние от взвешенного усредненного центра всех точек.
- Вычисляется взвешенная медиана данных расстояний, Dm.
- Вычисляется взвешенное значение стандартного расстояния, SD
Примечание:
См. раздел Как работает инструмент Стандартное расстояние в справке набора инструментов Пространственная статистика для подробной информации о работе инструмента.
Радиус поиска по умолчанию (x,y) вычисляется по следующей формуле:

Где:
- SD является стандартным расстояниям.
- Dm - это (взвешенное) медианное расстояние от (взвешенного) среднего центра.
- n - число точек, если значение параметра Поле генеральной совокупности не указано. Если указано значение параметра Поле генеральной совокупности, n - сумма всех значений поля.
Радиус поиска высоты по умолчанию (z_distance) временное окно (t_window) вычисляется по следующей формуле:

Где:
- σz,t - среднеквадратическое отклонение в распределении точек измерений z и t.
- n - число точек, если значение параметра Поле генеральной совокупности не указано. Если указано значение параметра Поле генеральной совокупности, n - сумма всех значений поля.
- d - измерение анализа. Значение по умолчанию равно 1.
Вычисление Стандартного расстояния
Есть два метода вычисления стандартного расстояния: взвешенное и нет.
Не взвешенное расстояние определяется по следующей формуле:

Где:
- xi,yi и zi - координаты объектаi.
- {x̄, ȳ, z̄} представляют собой усредненный центр объекта
- n равно общему числу объектов.
Взвешенное расстояние определяется по следующей формуле:

Где:
- wi - это вес объекта i ,
- xi, yi и zi - координаты объектаi.
- {X̄w, Ȳw, Z̄w} представляют взвешенный усредненный центр для объектов.
Временной интервал и интервал высот многомерного растра
Выходными данными инструмента Плотность ядер пространства-времени будет многомерный растр с отдельными срезами для каждого интервала высоты и временного интервала. Общее число срезов в выходном растре вычисляется с использованием следующей формулы, если предоставлены входные данные как о высоте, так и о времени:

Где:
- Zmax - максимальная высота.
- Zmin - минимальная высота.
- интервал высот - это интервал между срезами высот в выходных данных многомерного растра.
- Tmax - время окончания.
- Tmin - время начала.
- временной интервал - это интервал между временными срезами в выходных данных многомерного растра.
Если в группе Выходных параметров не задан интервал для времени или высоты, по умолчанию используется 20 срезов для операций с любой из входных переменных. Для операций как с высотой, так и со временем количество срезов в выходном растре по умолчанию составляет 400.
Эффект геодезического и плоскостного методов на плотность
Результат вычисления плотности очень сильно зависит от выбора при вычислении геодезического или плоскостного методов.
Опция Плоскостной в параметре Метод может применяться, если анализ будет выполнен в локальном масштабе с проекцией, которая точно поддерживает правильные расстояния и площади. По умолчанию инструмент использует плоскостные расстояния.
Опция Геодезический подходит, если анализ будет выполняться в масштабе региона или других больших площадей например, с использованием проекции Web Mercator или любой географической системы координат. Этот метод учитывает кривизну эллипсоида и корректно обрабатывает данные вблизи полюсов и международной линии смены дат. Геодезический метод всегда дает более точный результат и рекомендован к использованию.
Разница между плоскостным и геодезическим расстоянием увеличивается пропорционально расстоянию от источника. Если вы работаете с небольшой географической областью, например в пределах города или округа, разница между плоскостным и геодезическим измерениями пропорционально меньше, чем если бы вы работали в масштабе всей страны. Влияние размера исследуемой области и искажения картографической проекции могут работать вместе, еще больше увеличивая искажение. Для такой проекции, как Web Mercator, чем ближе вы приближаетесь к полюсам, тем меньшую область вы можете анализировать с одинаковым искажением расстояния.
Для понимания различий между геодезическим и планарным расстоянием в вычислении плотности см. раздел Геодезическое и плоскостное расстояние.
Выходные типы плотности
Параметр Результирующие значения предлагает две опции для вычисления и визуализации выходных типов плотности: Плотности и Ожидаемое количество.
Если выбрано Плотности, то значения ячеек будут представлять вычисленное значение плотности на единицу площади.
Если выбрано Ожидаемое количество, то значения будут представлять предполагаемое число событий на площадь ячейки. Используются следующие формулы для вычисления количеств:
- При наличии только радиуса на плоскости x,y, Количество = Плотность × Площадь.
- При наличии высоты, Количество = Плотность × Площадь × Интервал высот.
- При наличии времени, Количество = Плотность × Площадь × Временной интервал.
- При наличии времени и высоты, Количество = Плотность × Площадь × Временной интервал × Интервал высот.
Важно подчеркнуть, что эти формулы предполагают постоянную плотность в ячейках выходного растра, интервал высот и временной интервал. Для получения надежных ожидаемых результатов следует тщательно продумать выбор размера ячейки, интервала высот и значений параметров временного интервала.
Возможное применение
Возможные применения этого инструмента включают следующие варианты:
- Изучение поверхности океана и состава воды, с учетом высоты (глубины) и времени. Например, изучите изменение таких параметров, как соленость, температура воды или уровень растворенного кислорода в океане с течением времени.
- Изучение атмосферных условий Например, изучение изменения плотности загрязнений частицами PM 2.5 в географической единице в разное время суток или года.
- Использование возможностей инструмента учитывать временя для изучения вспышек заболеваний, плотности преступности или количеств бездомных за разные периоды времени.
- Анализ состава взвешенных частиц воздуха в атмосфере в различных местах и на разных высотах. Например, оценка изменений в составе PM 2.5 с течением времени, чтобы получить представление о характере загрязнения воздуха и выявить потенциальные источники загрязнения.
Дополнительные ресурсы
Härdle, W. K., Müller, M, Sperlich, S., and Werwatz, A. Nonparametric and semiparametric models (Vol. 1). Berlin: Springer, 2004.
Hu, Y., Wang, F., Guin, C., and Zhu, H. "A spatio-temporal kernel density estimation framework for predictive crime hotspot mapping and evaluation." Applied geography, 99, 2018, 89-97.
Nakaya, T., and Yano, K. "Visualising crime clusters in a space‐time cube: An exploratory data analysis approach using space time kernel density estimation and scan statistics." Transactions in GIS, 14(3), 2010, 223-239.
Silverman, B. W. Density Estimation for Statistics and Data Analysis. New York: Chapman and Hall, 1986.