Доступно с лицензией Spatial Analyst.
Доступно с лицензией 3D Analyst.
Инструмент Параметры поверхности определяет параметры растровой поверхности, такие как экспозиция, уклон и кривизна.
Экспозиция
Параметр поверхности Экспозиция определяет направление, куда обращен уклон склона. Значение каждой ячейки выходного растра указывают компасное направление, к которому обращена поверхность в этом местоположении. Оно измеряется по часовой стрелке в градусах от 0 (север) до 360 (снова север), проходя полный круг. Плоским областям, не имеющим направления вниз по склону, дается значение -1.

На следующем рисунке показан входной набор данных высот и выходной растр экспозиции.

Применения экспозиции
С типом параметра поверхности Экспозиция вы можете сделать следующее:
- Найти все направленные на север склоны на горе как часть поиска лучших склонов для горнолыжных трасс.
- Вычислить солнечное освещение для каждой ячейки района как часть исследования для определения разнообразия жизни на каждом участке.
- Найти все южные уклоны в горных районах для выявления тех местоположений, где снег тает раньше, как часть исследования для определения тех жилых местоположений, которые первыми пострадают от потока.
Расчет геодезической экспозиции
Геодезическая экспозиция местоположения – это угловое направление α поверхности нисходящего уклона, относительно направления на север, измеренное на плоскости, касательной к поверхности эллипсоида (голубая плоскость на рисунке ниже).

Для вычисления экспозиции в каждом местоположении, квадратические или биквадратические поверхности подгоняются в каждой окрестности из ячеек с использованием метода наименьших квадратов (МНК). Нормаль поверхности вычисляется в местоположении ячейки на основе поверхности. В том же местоположении вычисляется нормаль эллипсоида, перпендикулярная плоскости, проходящей по касательной к поверхности эллипсоида.
Поскольку касательная плоскость поверхности эллипсоида считается базовой плоскостью, нормаль поверхности проецируется на эту плоскость. И наконец, геодезическая экспозиция вычисляется измерением угла α в направлении по часовой стрелке между направлением на север и проекцией нормали поверхности (см. рисунок выше).
Уклон
Параметр поверхности Уклон – максимальная крутизна для каждой ячейки растровой поверхности. Чем меньше значение уклона, тем более плоской является земная поверхность; чем больше значение уклона, тем более крутые склоны расположены на поверхности.
Выходной растр уклона может быть вычислен в любых из двух единиц измерения: градусах или процентах (процентное увеличение). Процентное увеличение проще понять, если представить его как подъем, деленный на пробег, умноженный на 100. Рассмотрим треугольник B на рисунке внизу. Когда угол равен 45 градусам, подъем равен пробегу (спуску), а процент подъема равен 100 процентам. По мере того, как угол наклона приближается к вертикальному (90 градусов), как в треугольнике C, подъем в процентах стремится к бесконечности.

Уклон, в основном, вычисляется для наборов данных высот, как на рисунках ниже. Более крутые уклоны обозначены на выходном растре уклона более темным коричневым.

Инструмент также может использоваться с другими типами непрерывных данных, например, численность населения, для выявления резких изменений значения.
Расчет геодезического уклона
Геодезический уклон является углом между топографической поверхностью и поверхностью эллипсоида. Любая поверхность, параллельная поверхности эллипсоида, имеет уклон 0. Для вычисления уклона в каждом местоположении, квадратические или биквадратические поверхности подгоняются в каждой окрестности из ячеек с использованием метода наименьших квадратов (МНК). Нормаль поверхности вычисляется в местоположении ячейки на основе поверхности. В том же местоположении вычисляется нормаль эллипсоида, перпендикулярная плоскости, проходящей по касательной к поверхности эллипсоида. Уклон в градусах вычисляется как угол между нормалью эллипсоида и нормалью топографической поверхности. Этот угол соответствует углу между топографической поверхностью и поверхностью эллипсоида.
Обзор понятия кривизны поверхности
Кривизна – это набор типов параметров поверхности, используемых для описания ее формы, как правило, вдоль линии на поверхности, созданной пересечением плоскости и этой поверхности. Фактически, геометрическая кривизна подбирает наиболее подходящую окружность (окружность кривизны) для аппроксимации формы кривой в любой точке. Кривизна обратна радиусу окружности (1/r). Чем прямее линия, тем лучше она соответствует окружности большего радиуса, и, соответственно, меньшей кривизне, а более изогнутая линия будет соответствовать окружности меньшего радиуса, и, соответственно, большей кривизне (Crane, 2018).

Кривизна профиля (линии нормального уклона)
Параметр поверхности Профильная (линии нормального уклона) кривизна измеряет геометрически нормальную кривизну вдоль линии уклона. Иногда называемая “профильной кривизной”, она может быть визуализирована как форма вертикального (по профилю) сечения поверхности. Как показано на рисунке ниже, вертикальная плоскость пересекает поверхность вдоль оранжевой линии, и если ее срезать, то она будет выглядеть как профиль поперечного сечения поверхности.

Плоскость определяется двумя векторами, желтой стрелкой, показывающей градиентное направление или линию уклона, и красной стрелкой, соответствующей нормали поверхности. Комбинация этих двух векторов, желтого и оранжевого, формирует плоскость оранжевого цвета, и линию, также оранжевого цвета, пересекающую поверхность. Профильная кривизна вычисляется вдоль оранжевой линии (линии нормального уклона) в плоскости оранжевого цвета.
Здесь используется термин “нормальная линия уклона” Minár et al., (2020), чтобы избежать путаницы с применяемой ранее.
Эта кривизна обычно применяется для характеристик ускорения или замедления накопления в поверхности под действием гравитации. При более высокой скорости стока вода может переносить и перемещать больший объем материала, поэтому области ускорения становятся областями эрозии, а области замедления – областями осаждения.
На рисунке ниже области сильно выгнутой профильной (линии нормального уклона) кривизны вдоль гребня конуса показаны пурпурным. Области сильно вогнутой профильной (линии нормального уклона) кривизны в основании конуса показаны оранжевым. Области небольших значений кривизны прозрачные.

Результаты этой кривизны отличаются от Профильной кривизны из предыдущего инструмента Кривизна. Описание различий между Профильной кривизной и Профильной (линии уклона) кривизной приведено ниже.
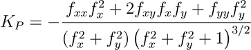
Используется следующий алгоритм вычисления профильной (линии нормального уклона) кривизны:

- Где:KP = Профильная (линии нормального уклона) кривизна z = f(x,y) 
Тангенциальная кривизна (нормальной изолинии)
Параметр поверхности Тангенциальная (нормальной изолинии) кривизна измеряет геометрически нормальную кривизну перпендикулярно линии уклона, по касательной к изолинии. Она основана на тангенциальной кривизне, так как измеряет кривизну по касательной к изолинии. Он описывается как "нормальной изолинии" (Minár et al., 2020), поскольку плоскость сечения фиолетового цвета, создает фиолетовую линию, вдоль которой вычисляется кривизна, определяемая вектором изолинии синего цвета и вектором нормаль поверхности красного цвета.

тангенциальная (нормальной изолинии) кривизна обычно применяется для характеристик схождения или расхождения стоков по поверхности.
На рисунке ниже области сильно выгнутой тангенциальной (нормальной изолинии) кривизны вокруг гребня конуса и гребень, обращенный в направлении к вам, показаны синим. Это области расходящегося потока. Области сильно вогнутой тангенциальной (нормальной изолинии) кривизны внутри конуса показывают красным цветом сходящийся поток. Области небольших значений кривизны прозрачные.

Используется следующий алгоритм вычисления тангенциальной (нормальной изолинии) кривизны:

- Где:KT = Тангенциальная (нормальной изолинии) кривизна z = f(x,y) 
Плановая кривизна (проецированной изолинии)
Плановая кривизна (проецированной изолинии) — параметр поверхности, измеряющий кривизну в направлении изолиний. Иногда параметр называют “кривизной изолинии” или “горизонтальной кривизной”. Кривизна проецированной изолинии измеряется вдоль изолинии синего цвета, где горизонтальная плоскость пересекает поверхность.

Используется следующий алгоритм вычисления плановой кривизны (проецированной изолинии):

- Где:KPC = Плановая кривизна (проецированной изолинии) z = f(x,y) 
Рисунок ниже иллюстрирует разницу между тангенциальной (нормальной изолинии) кривизной, измеренной вдоль линии фиолетового цвета, и проецированной кривизной изолинии, измеренной вдоль изолинии синего цвета.

Геодезическое кручение изолинии
Геодезическое кручение изолинии — параметр поверхности, измеряющий скорость изменения угла уклона в направлении изолиний.
Используется следующий алгоритм вычисления геодезического кручения изолинии:

- Где:τ = Геодезическое кручение изолинии z = f(x,y) 
Средняя кривизна
Параметр поверхности Средняя кривизна измеряет общую кривизну поверхности. Она вычисляется как среднее из минимальной и максимальной кривизны. Она также является математическим эквивалентом средней Профильной (линии нормального уклона) кривизны и Тангенциальной (нормальной изолинии) кривизны. На рисунке ниже показаны секущие плоскости профильной (линии нормального уклона) (оранжевая) и тангенциальной (нормальной изолинии) (фиолетовая).

Профильная (линии нормального уклона) и тангенциальная (нормальной изолинии) типы кривизны измеряют выпуклость и вогнутость в определенном направлении - таким образом, средняя кривизна описывает истинную выпуклость или вогнутость поверхности, независимо от направления или влияния гравитации. Ее знак (положительный или отрицательный) не является точным индикатором выпуклости или вогнутости, за исключением крайних значений, поэтому поверхность может быть выпуклой в одном направлении, и вогнутой в другом. Высокие положительные значения указывают на области максимальной денудации, а высокие отрицательные значения указывают на области максимального накопления (Minár et al., 2020).
Применяется следующий алгоритм вычисления средней кривизны:

- Где:KM = средняя кривизна z = f(x,y) 
Гауссова кривизна
Параметр поверхности Гауссова кривизна измеряет общую кривизну поверхности. Она вычисляется как продукт минимальной и максимальной кривизны, может быть как положительной, так и отрицательной. Положительные значения показывают, что поверхность выпуклая, а отрицательные значения – поверхность вогнутая. Значение 0 указывает, что поверхность плоская.
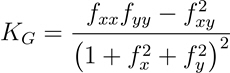
Применяется следующий алгоритм вычисления Гауссовой кривизны:

- Где:KG = Гауссова кривизна z = f(x,y) 
Кривизна Казаратти
Параметр поверхности кривизна Казаратти измеряет общую кривизну поверхности. Она может быть нулевой или другим положительным значением. Высокие положительные значения указывают на области с резкими перегибами в нескольких направлениях.
Применяется следующий алгоритм вычисления кривизны Казаратти:

- Где:KC = Кривизна Казаратти z = f(x,y) 
Типы кривизны - базовая и комбинаторная
Тангенциальная кривизна (кривизна изолинии), Профильная кривизна (линии нормального уклона) и Геодезическое кручение изолинии составляют основные типы кривизны, а остальные типы можно вычислить комбинацией этих трех. Основная терминология (Minár et al., 2020) описывает эти три типа.
В дополнение к выражениям, указанным выше для Средней кривизны, Гауссовой кривизны и кривизны Казаратти, эти типы кривизны также вычисляются как комбинация основных трех.
Применяется следующий алгоритм вычисления средней кривизны:

- Где:KM = средняя кривизна KT = Тангенциальная (нормальной изолинии) кривизна KP = Профильная (линии нормального уклона) кривизна z = f(x,y) 
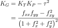
Применяется следующий алгоритм вычисления Гауссовой кривизны:

- Где:KG = Гауссова кривизна KT = Тангенциальная (нормальной изолинии) кривизна KP = Профильная (линии нормального уклона) кривизна τ = Геодезическое кручение изолинии z = f(x,y) 
Применяется следующий алгоритм вычисления кривизны Казаратти:

- Где:KC = Кривизна Казаратти KM = средняя кривизна KG = Гауссова кривизна z = f(x,y) 
Сравнение с алгоритмами устаревшего инструмента Кривизна
Инструмент Параметры поверхности использует алгоритмы, отличающиеся от применяемых в инструменте Кривизна, кроме того, в вычислениях используется геодезическая математика, поэтому прямого сравнения выходных данных этих инструментов делать не следует. Типы кривизны инструмента Параметры поверхности, Профильная (линии нормального уклона) и Тангенциальная (нормальной изолинии), являются истинной геометрической кривизной (Minár et al. 2020). Средняя кривизна инструмента Параметры поверхности является средним значением максимальной и минимальной кривизны в данной точке. Типы Профильная и Плановая из инструмента Кривизна являются производными направления, а не реальной кривизной поверхности в местоположении (Zeverbergen and Thorne 1987). Знак (положительный или отрицательный) Профильной (линии нормального уклона) кривизны в инструменте Параметры поверхности противоположен Профильной кривизне из инструмента Кривизна. Инструмент Параметры поверхности работает в геодезическом пространстве, а инструмент Кривизна – с координатами с математикой плоскости. Инструмент Параметры поверхности может работать с поверхностями Квадратическая или Биквадратическая, инструмент Кривизна поддерживает только Биквадратической.
Расстояние окрестности
Расстояние окрестности – это расстояние на карте от центра текущей обрабатываемой ячейки до центра ортогонального соседа. Меньшее расстояние окрестности захватывает больше локальной вариабельности ландшафта, с характеристиками небольших ландшафтных объектов. С данными высот более высокого разрешения, большее расстояние окрестности подходит лучше из-за меньшей ошибки измерения (шума) в данных, что не отражает интересующие процессы формирования ландшафта, или потому, что изучаемые формы рельефа лучше проявляются при больших расстояниях.
В примере ниже используется цифровая модель местности (ЦММ), имеющая заметный шум и артефакты чередования, отображаемые в результатах профильной (линии нормального уклона) кривизны. На первом изображении по умолчанию использовано окно 3 x 3 или расстояние окрестности 5 м, на втором – окно 9 x 9 ячейки или расстояние окрестности 20 м, а на третьем – окно 15 x 15 ячеек или расстояние окрестности 35 м. В этом примере при увеличении расстояния окрестности наиболее значимые или основные формы рельефа становятся более различимыми, а шум и артефакты чередования – менее видимыми. Несмотря на то, что большее расстояние окрестности всегда приводит к уменьшению шума, наиболее подходящее расстояние будет зависеть от размера ячейки данных и размера форм рельефа, важных для приложения.

Минимальное расстояние окрестности равно размеру ячейки входного растра. Максимальное расстояние окрестности в 7 раз больше размера ячейки, что дает окно размером 15 x 15 ячеек. Если задано расстояние, превышающее семикратный размер ячейки, все равно используется окно размером 15 x 15.

Если указанное расстояние окрестности не достигает диапазона, кратного размеру ячейки, оно округляется до следующего значения, кратного размеру ячейки. Например, на рисунке ниже, указано значение окрестности 25 метров, которое округляется до следующего значения, кратного размеру ячейки, 30 метров (3 размера ячейки), то есть окно 7 x 7 ячеек.
Если данные высот высокого разрешения, выше, чем необходимо для анализа форм рельефа, альтернативой окну окрестностей может быть пересчет или агрегация данных до ячейки большего размера, более подходящей для применения в текущей задаче.
Вычисления параметров поверхности чувствительны к размеру ячейки и расстоянию окрестности. В работах Wilson (2018) и Minár et al (2020) описаны актуальные алгоритмы и вычисления, приведенные в этом разделе.
Адаптивная окрестность
Если отмечен параметр Использовать адаптивную окрестность, то он меняет расстояние окрестности (размер или площадь окна), используемое для вычисления параметра поверхности, для наилучшего захвата соответствующей вариабельности ландшафта. Инструмент автоматически определяет подходящий размер окна, вычисляя локальное отклонение от средней высоты (DEV) (Wilson and Gallant, 2000) на основе значений всех ячеек в окрестности. Он пытается использовать максимально возможный размер окна, минимизируя вариабельность поверхности (James et al., 2014). Максимально используемый размер окна указывается в параметре Расстояние окрестности.
При вычислении параметра поверхности с фиксированной окрестностью, используются значения всех ячеек в окрестности. При вычислении параметра поверхности с адаптивной окрестностью, используется только 9 ячеек (внешние ортогональные, диагональные и центральная ячейки) окрестности.

Адаптивная окрестность обычно используется при анализе ландшафта с объектами рельефа, размер которых меняется в широких пределах, например крупные цели холмов с небольшими лощинами или руслами, с ЦМР с высоким разрешением. В такой ситуации, небольшое расстояние окрестности, например 1 метр, может использоваться для оврагов, а большее расстояние, около 10 или 15 метров - для холмов.
На рисунке ниже окрестность меньшего размера подходит для ручья и края береговой линии, окрестность большего размера – для перехода от холма к равнине и еще большая окрестность для почти плоского однородного плато.

Эффект ребра для расстояния окрестности
Ячейкам вокруг внешней границы выходных данных будут присвоены значения NoData, если для расчета будет недостаточно информации.
При использовании опции адаптивного расстояния окрестности, экстент выходного растра будет сокращен вокруг внешней границы на 1 ячейку.
При использовании фиксированного расстояния окрестности больше, чем один размер ячейки, экстент выходного растра будет сокращен в соответствии с расстоянием окрестности. Размер сокращения вычисляется по формуле: (ширина окна в пикселах - 1) / 2
Например, если в качестве расстояния окрестности задано окно 7 x 7ячеек, выходной растр будет сокращен на 3 ячейки от его внешней границы.
Квадратическая и биквадратическая
Это два типа локальных поверхностей, которые подгоняются к окну окрестности, квадратическая и биквадратическая. Квадратическая используется по умолчанию и рекомендуется для большинства данных и приложений.
Квадратическая поверхность подгоняется по методу наименьших квадратов и не проходит точно через все точки. Хотя поверхность и не проходит точно через все точки, алгоритм квадратической поверхности приводит к минимизации влияния шума в данных поверхности, таких как поверхность данных лидара высокого разрешения. Это создает более репрезентативный результат для всех параметров поверхности и особенно важно при вычислении кривизны.
Квадратическую поверхность следует использовать при настройке размера окрестности, которая больше размера ячейки, а также при использовании опции адаптивного соседства.
Биквадратическая поверхность в точности соответствует ячейкам в окрестности. Эта опция подходит для входных поверхностей высокой точности без случайного шума. Если расстояние окрестности больше размера ячейки входного растра, преимущества использования биквадратического типа поверхности будут утеряны, соответственно расстояние окрестности должно быть оставлено по умолчанию (равно размеру одной ячейки).
Преобразование геодезических координат
Инструмент Параметры поверхности проводит все вычисления в геоцентрической 3D системе координат, также называемой системой координат Earth Centered, Earth Fixed (ECEF), – где форма земной поверхности рассматривается как эллипсоид. На результат вычислений не влияет то, как спроецирован набор данных. При этом используются единицы измерения z входного растра, если они заданы в пространственной привязке. Если пространственная привязка входных данных не содержит z-значения, вам необходимо задать их с использованием параметра z-единицы.
Система координат ECEF является 3D правосторонней Декартовой системой координат с центром земли в качестве начальной точки, в которой любое местоположение представлено координатами X, Y и Z. На следующем рисунке приводится пример целевого местоположения T, выраженного в геоцентрических координатах:

Растр поверхности трансформируются из входной системы координат в 3D геоцентрическую систему координат.
В геодезических вычислениях используются координаты X, Y, Z, которые вычисляются на основе геодезических координат(широта φ, долгота λ, высота h). Если система координат входного растра поверхности является системой координат проекции, растр сначала перепроецируется в географическую систему координат, в которой каждое местоположение имеет геодезические координаты. Затем он преобразуется в систему координат ECEF. Высота h (z-значение) является эллипсоидной высотой, основанной на поверхности эллипсоида. См. иллюстрацию ниже.

Для преобразования геодезических координат (широта φ, долгота λ, высота h) в координаты ECEF используются следующие формулы:
X = (N(φ) + h) * cos(φ) * cos(λ)Y = (N(φ) + h) * cos(φ) * sin(λ)Z = (b2 / a2 * N(φ) + h) * sin(φ)- Где:N(φ) = a2 / √( a2 * cos(φ)2 + b2 * sin(φ)2)φ = широта λ = долгота h = высота эллипсоида a = большая полуось эллипсоида b = малая полуось эллипсоида 
Эллипсоидная высота h в следующих формулах дается в метрах. Если единицы z входного растра указаны в каких-либо других единицах, они будут внутренне преобразованы в метрах.
Рекомендуем прочитать
Для лучшего понимания методов анализа поверхности и их применений см. литературу ниже. Дополнительно, Hengl и Reuter (2008), а также Wilson (2018) предложили полную систематизацию этих и многих других методов анализа местности и их применения. В работе Minár et al (2020) приводится всесторонний анализ и сравнение всех предшествующих работ по кривизне земной поверхности, с пояснениями и определением различных типов кривизны.
Список литературы
B. Hofmann-Wellenhof, H. Lichtenegger and J. Collins, 2001. GPS - theory and practice. Section 10.2.1. p. 282.
Burrough, P. A., and McDonell, R. A., 1998 год Principles of Geographical Information Systems (Oxford University Press, New York), 190 pp.
Crane K., 2018. Discrete Differential Geometry: An Applied Introduction. Notices of the AMS, Communication. https://www.cs.cmu.edu/~kmcrane/Projects/DDG/paper.pdf
David Eberly 1999. Least Squares Fitting of Data (Geometric Tools, LLC), pp. 3.
E.J.Krakiwsky, and D.E.Wells, 1971. Coordinate Systems In Geodesy (GEODESY AND GEOMATICS ENGINEERING, UNB), LECTURE NOTES, No16, 1971, pp. 18-38
Hengl T. and Reuter H. 2008. Geomorphometry Concepts, Software, Applications. Elsevier.
James D.E., M.D. Tomer, S.A. Porter. 2014. Trans-scalar landform segmentation from high-resolution digital elevation models. Poster presented at: ESRI Annual Users Conference; July 2014; San Diego, CA.
Lancaster, P. and Šalkauskas, K. Curve and Surface Fitting: An Introduction. London: Academic Press, 1986.
Marcin Ligas, and Piotr Banasik, 2011. Conversion between Cartesian and geodetic coordinates on a rotational ellipsoid by solving a system of nonlinear equations (GEODESY AND CARTOGRAPHY), Vol. 60, No 2, 2011, pp. 145-159
Minár, J., Evans, I. S., & Jenčo, M. (2020). A comprehensive system of definitions of land surface (topographic) curvatures, with implications for their application in geoscience modelling and prediction. Earth-Science Reviews, 103414. https://doi.org/10.1016/j.earscirev.2020.103414
Wilson J.P and Gallant, J.C. (Eds.) 2000. Terrain Analysis: Principles and Applications. John Wiley & Sons, Inc.
Wilson J.P 2018. Environmental Application of Digital Terrain Modeling. John-Blackwell, Inc.
Zevenbergen, L. W., and C. R. Thorne. 1987. Quantitative Analysis of Land Surface Topography. Earth Surface Processes and Landforms 12: 47-56.