Инструмент Анализ совместного размещения измеряет локальные закономерности пространственных связей между двумя категориями точечных объектов, используя статистику индексов совместного размещения. Выходными данными этого инструмента является картографическое представление подобия пространственной связи между двумя категориями, проанализированными с добавленными полями, включая значение индекса совместного размещения и p-значение. Можно задать дополнительный табличный параметр, которые сообщает о связях из каждой категории, это параметр Входные объекты интереса для каждой категории, представленной в параметре Входные соседние объекты.
Возможное применение
Ниже приведены возможные варианты применения инструмента Анализ совместного размещения:
- Имеется ли вероятность совместного размещения определенных типов предприятий (например, кафе и магазины)?
- Связаны ли места квартирных краж с домами определенного типа?
- Есть ли районы в области изучения, где неудачные проверки ресторанов связаны с заражением насекомыми?
Как вычисляется индекс совместного размещения
Каждый объект в Категории интереса (категория A) индивидуально оценивается на совместное размещение с объектом из Соседней категории (категория B), найденным в ближайшей окрестности. В целом если доля точек B в пределах окрестности A больше, чем общая доля точек B, индекс совместного размещения будет высоким. Если окрестность A содержит много других точек A, или других категорий (отличных от B), совместное размещение Категории интереса (категории A) и Соседней категории (категории B) будет небольшим.
Если два Набора данных без категорий используются в параметре Тип входных данных, Входные объекты интереса будут рассматриваться как категория A, а Входные соседние объекты будут рассматриваться как категория B.
Внимание:
Отношение совместного размещения в этом анализе не симметричное. Значения индекса совместного размещения, вычисленные путем сравнения категории A с категорией B будут отличаться от значений индекса, вычисленных путем сравнения категории B с категорией A.
Примечание:
Также, если у вас есть категория C в окрестности, результирующий индекс совместного размещения тоже будет другим, чем если бы у вас были только категории A и B. В зависимости от поставленного перед вами вопроса, может быть важно извлечь поднабор данных для включения в него только категорий A и B. Тем не менее, при извлечении поднабора вы можете потерять информацию о других представленных категориях. Выбор и извлечение поднабора данных важно в случае, если вы уверенны, что возникновение одной категории абсолютно не влияет на возникновение другой.
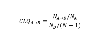
Локальный индекс совместного размещения вычисляемый из точки Ai в Категории интереса A до Соседней категории B представлен следующим образом: 
NAi–>B представляет взвешенное среднее числа точек типа B в окрестности каждой Ai на основе Гауссовой или Биквадратной кернфункции, представленной как: 
Где fij – бинарная переменная, указывающая, относится ли точка j точке категории B. Если да, то ее значение будет равно 1. Если нет – 0. Уравнения кернфункции представлены как: 
Примечание:
Если значение wij отрицательно для Биквадратной кернфункции , связанный вес равен 0.

Глобальный индекс совместного размещения может быть также вычислен для измерения пространственной связи между всеми категориями в наборе данных. Это позволит вам объяснить другие отношения в ваших данных, так как вы сможете выявить другие категории с высокой степенью совместного размещения. Глобальное уравнение индекса совместного размещения выглядит так: 
Перестановки используются для вычисления p-значения каждого Входного объекта интереса, чтобы определить, будет ли значение индекса совместного размещения статистически значимым. Для каждого объекта локальный индекс совместного размещения вычисляется на основе окрестности, а для каждой перестановки категории всех точек перераспределяются случайным образом по всей области изучения (сохраняя постоянной локальную категорию целевой точки). Вычисляется новый индекс совместного размещения для каждого объекта интереса на основе категорий в окрестности для каждой перестановки. Результат референсного распределения значений индекса совместного размещения затем сравнивается с наблюдаемым значением индекса совместного размещения объекта для определения вероятного нахождения наблюдаемого значения в случайном распределении перестановок. Рассматривая распределение, вы можете увидеть диапазон значений индекса совместного размещения, которые действительно являются следствием случайного распределения. Если значение p невелико (менее 0.05) – наблюдаемый индекс совместного размещения статистически значим. По умолчанию инструмент использует 99 перестановок; тем не менее, точность вычисляемого p-значения увеличивается при увеличении числа перестановок.
Тип окрестности
Вы можете выбрать один из трех вариантов Типа окрестности. Диапазон расстояний гарантирует использование единого масштаба анализа для всех окрестностей в области изучения. Это означает, что области с высокой плотностью объектов будут располагать большим числом точек для анализа, нежели области низкой плотности. Использование опции K ближайших соседей позволит меняющееся расстояние окрестности и гарантирует, что в каждой окрестности число соседей для каждого объекта будет одинаковым. Вы также можете указать .swm файл, созданный инструментом Построить матрицу пространственных весов для расчета пространственных весов объектов.
Использование пространственно-временного окна
Если ваши данные имеют поля даты и времени, вы можете выполнять анализ с разбиением на серии пространственно-временных окон. Указав Поле времени интереса, Поле времени соседней категорий и Временной тип отношений, вы можете определять объекты, включенные в окрестность анализа. Объекты, расположенные рядом друг с другом в пространстве и времени, анализируются вместе, так как все взаимоотношения объектов оцениваются относительно местоположения и временной метки целевого объекта. В приведенном примере, в Диапазоне расстояния 1 км найдено 6 соседей для объекта с отметкой Jan 31. Но, в примере ниже, в Диапазоне расстояний 1 км и пространственно-временном окне – 1-день для целевого объекта найдено только 2 других соседа.

Предположим, вы анализировали происхождение лесных пожаров и расположение кемперов в регионе. Если вы запускаете инструмент Анализ совместного размещения, используя только опцию Диапазон расстояния для Типа окрестности, чтобы задать отношения объектов, результатом будет карта местоположений точек источников лесных пожаров с указанием наличия или отсутствия совместного размещения о всеми кемперами в вашем наборе данных. Если вы запустите анализ еще раз, указав пространственно-временное окно с параметрами выше, вы можете быть уверены, что местоположения кемперов, зафиксированные год назад, не участвуют в анализе расположения точек источников пожаров в настоящее время. Понимание этой временной характеристики для анализа источников лесных пожаров в сочетании со стоянками кемперов существенно влияет на то, как вы распределяете ресурсы по борьбе с пожарами.
Интерпретация результатов
Когда инструмент Анализ совместного размещения запускается, он добавляет 6 полей к Выходным объектам. Поле Local Colocation Quotient содержит результирующую оценку индекса Входных объектов интереса, а также p-value. Локальные индексы совместного размещения объединяются в бины (LCLQ Bin), надписываются (LCLQ Type) и отображаются на карте в соответствии с LCLQ Type каждого объекта. Объекты Категории интереса (категории A), с индексом совместного размещения больше 1 с большей вероятностью будут содержать объекты Соседней категории (категории B) в своих окрестностях. Объекты с индексом совместного размещения менее 1, с меньшей вероятностью будут содержать объекты категории B в своих окрестностях. Если индекс совместного размещения объекта равен 1, это означает, что доля категорий в пределах их окрестностей соответствует доле категорий по всей области изучения.
| Символ | Бин LCLQ | Тип COGO | Описание |
|---|---|---|---|
![]() | 0 | Совместно размещены – достоверно | Локальный индекс совместного размещения больше 1, а p-значение меньше 0.05. |
![]() | 1 | Совместно размещены – не достоверно | Локальный индекс совместного размещения больше 1, а p-значение больше 0.05. |
![]() | 2 | Изолированы – достоверно | Локальный индекс совместного размещения меньше или равно 1, а p-значение меньше 0.05. |
![]() | 3 | Изолированы – не достоверно | Локальный индекс совместного размещения меньше или равно 1, а p-значение больше 0.05. |
![]() | 4 | Не определено | Для объекта отсутствуют какие-либо объекты в окрестности или ширина полосы равна 0. |
Для каждой окрестности объекта в поле Neighboring Categories перечисляются все категории, которые присутствуют в указанной окрестности. В поле Neighbor Prevalence указывается, сколько раз какая-либо комбинация соседних категорий появляется в окрестности других объектов интереса. Например, если категория B присутствует как соседняя категория, значение Neighbor Prevalence B равно числу объектов, для которых B определяется как соседняя категория, деленная на общее число Входных объектов интереса. Это может быть полезно для выявления, насколько типична эта комбинация (или поднабор комбинаций) категорий для вашей области изучения. В следующей таблице показано, что категория A появляется в 100 процентах окрестностей, в то время, как комбинации A и C появляются в 20 процентах окрестностей:
| Комбинации соседних категорий | Распространенность в окрестности |
|---|---|
A | 1 |
A | 1 |
A, B | 0.4 |
A, B | 0.4 |
A, C | 0.2 |
Также создается диаграмма рассеяния (точечная), доступ к которой можно получить в панели Содержание под Выходными объектами, и по этой диаграмме можно оценить взаимосвязь Локального индекса совместного размещения и вычисленного p-значения. 
Дополнительные ресурсы
- Timothy F. Leslie, & Barry J. Kronenfeld (2011). "The Colocation Quotient: A New Measure of Spatial Association Between Categorical Subsets of Points." Geographical Analysis43 (3), 306-326. doi: 10.1111/j.1538-4632.2011.00821.x
- Fahui Wang, Yujie Hu, Shuai Wang & Xiaojuan Li (2017). "Local Indicator of Colocation Quotient with a Statistical Significance Test: Examining Spatial Association of Crime and Facilities." The Professional Geographer69 (1), 22-31. doi: 10.1111/-4632.2011.00821.x




