获得 Image Analyst 许可后可用。
概述
用于面向多维栅格中一个或多个变量估计每个像素沿维度的趋势。
注释
受支持的多维栅格数据集包括云栅格格式 (CRF)、多维镶嵌数据集或者由 netCDF、GRIB 或 HDF 格式文件生成的多维栅格图层。
该工具可用于沿线性、谐波或多项式趋势线拟合数据,也可用于使用 Mann-Kendall 或 Seasonal-Kendall 测试执行趋势检测。
使用此函数生成的输出趋势栅格可用作使用趋势预测函数的输入。
Mann-Kendall 和 Seasonal-Kendall 测试可用于确定数据中是否存在单调性趋势。 上述测试为非参数测试,这意味着它们不会假设具体的数据分布。 Mann-Kendall 测试不会考虑序列相关性或季节性影响。 如果数据为季节性数据,则 Seasonal-Kendall 测试更为适合。
如果使用该工具执行 Mann-Kendall 或 Seasonal-Kendall 测试,则输出将为五波段栅格,如下所示:
- 波段 1 = Sen 斜率
- 波段 2 = p 值
- 波段 3 = Mann-Kendall 得分 (S)
- 波段 4 = S 方差
- 波段 5 = Z 得分
Mann-Kendall 或 Seasonal-Kendall 测试的输出可用于确定多维时间序列中的哪些像素具有统计显著性趋势。 您可以将此信息与线性、谐波或多项式趋势分析结合使用,以提取时间序列中的重要趋势。 您可以生成包含像素(像素带有显著 p 值)的掩膜,将该掩膜应用于多维栅格,以及将此掩膜多维栅格用作工具的输入,以执行线性、谐波或多项式趋势分析。
有三个趋势线选项可用于沿维度拟合变量值的趋势:线性、多项式和谐波。 三个趋势拟合选项如下所述。

对于线性趋势分析,输出为三波段栅格,如下所示:
- 波段 1 = 斜率
- 波段 2 = 截距
- 波段 3 = 均方根误差 (RMSE) 或最佳拟合线周围的误差
对于多项式趋势分析,输出中的波段数取决于多项式阶数。 二阶多项式拟合将生成四波段栅格,如下所示:
- 波段 1 = Polynomial_2
- 波段 2 = Polynomial_1
- 波段 3 = Polynomial_0
- 波段 4 = RMSE
三阶多项式拟合将生成五波段栅格,如下所示:
- 波段 1 = Polynomial_3
- 波段 2 = Polynomial_2
- 波段 3 = Polynomial_1
- 波段 4 = Polynomial_0
- 波段 5 = RMSE
对于谐波趋势分析,输出中的波段数取决于谐波频率。 当频率设置为 1 时,输出将为五波段栅格,如下所示:
- 波段 1 = 斜率
- 波段 2 = 截距
- 波段 3 = Harmonic_sin1
- 波段 4 = Harmonic_cos1
- 波段 5 = RMSE
当频率设置为 2 时,输出将为七波段栅格,如下所示
- 波段 1 = 斜率
- 波段 2 = 截距
- 波段 3 = Harmonic_sin1
- 波段 4 = Harmonic_cos1
- 波段 5 = Harmonic_sin2
- 波段 6 = Harmonic_cos2
- 波段 7 = RMSE
谐波趋势分析的周期长度参数用于表示您希望在一天或全年的数据中看到的周期数量和周期长度。例如,如果您希望数据在一年中经历两个变化周期,则周期长度将为 182.5 天或 0.5 年。如果您每三小时采集一次温度数据,并且每天存在一个变化周期,则周期长度将为 1 天。
谐波趋势分析的频率参数用于描述谐波模型以拟合至数据。如果频率设置为 1,则将使用线性和一阶谐波曲线的组合来拟合模型。如果频率为 2,则将使用线性、一阶谐波和二阶谐波曲线的组合来拟合数据。如果频率为 3,则将使用附加的三阶谐波曲线对数据进行建模,依此类推。
可以生成模型拟合优度统计数据作为可选输出。 可以计算并符号化均方根误差 (RMSE)、R 平方值和趋势斜率 p 值。 可以使用 RGB 符号系统来符号化输出趋势栅格图层,并指定统计数据为红色、绿色和蓝色波段。
参数
| 参数 | 描述 |
|---|---|
栅格 | 输入多维栅格。 |
维度名称 | 将沿此维度为分析中所选的一个或多个变量提取趋势。 |
趋势类型 | 指定用于拟合沿维度像素值的线的类型。
|
谐波频率 | 趋势拟合中使用的频率。 此参数将指定一年中的周期频率。 默认值为 1 或每年一个谐波周期。 该参数仅包含在谐波回归的趋势分析中。 |
周期长度 | 要进行建模的周期性变化的长度。 其单位为天,与输入数据的时间单位无关。 例如,叶绿度通常在一年中具有一个较强的变化周期,因此周期长度为 365.25,即使输入数据为每月绿度也是如此。 每小时温度数据在一天中具有一个较强的变化周期,因此周期长度为 1。 对于每年周期变化的数据,默认长度为 365.25 天。 |
周期单位 | 指定用于谐波周期长度的时间单位。
|
多项式阶数 | 趋势拟合中使用的多项式阶数。 此参数将指定多项式的阶。 默认值为 2 或二阶多项式。 该参数仅包含在多项式回归的趋势分析中。 |
忽略 NoData | 指定分析中是否忽略 NoData 值。
|
RMSE | 指定是否生成趋势拟合线的均方根误差 (RMSE)。
|
R 平方 | 指定是否为趋势拟合线计算 R 平方拟合优度统计数据。
|
斜率系数的 P 值 | 指定是否为趋势线的斜率系数计算 p 值统计数据。
|
季节性期间 | 指定在执行 Seasonal-Kendall 测试时用于季节性期间长度的时间单位。
|
回归类型
以下列出了每个趋势选项的回归方程。
- 线性 - 线性趋势线是最佳拟合直线,可用于估计简单的线性关系。 线性趋势可突出显示以稳定速率增加或减少的变化率。 线性趋势线的公式如下:

- y = 像素变量值。
- x = 维度值。
- ß0 = y 截距。
- ß1 = 线性斜率或变化率。
ß1 > 0 表示增加趋势。
ß1 < 0 表示减少趋势。
- 多项式 - 多项式趋势线是一条曲线,可用于波动的数据。 在这种情况下,多项式的阶数值用于指示发生的最大波动数。 多项式趋势线的公式如下:

- y = 像素变量值
- x = 维度值
- ß0, ß1, ß2, ß3, ..., ßn = 常系数
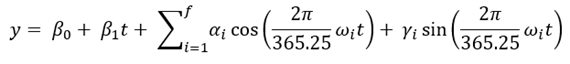
- 谐波 - 谐波趋势线是周期性重复的曲线,最适用于描述遵循周期性模式的数据,例如季节性温度变化。 谐波趋势线的公式如下:

- y = 像素变量值
- t = 儒略日
- ß0 = y 截距
- ß1 = 变化率
- α, γ = 年际或年内变化的系数
- ω = i
- f = 谐波频率