| 标注 | 说明 | 数据类型 |
输入表 | 表格,其中包含具有要标准化的值的字段。 | Table View; Raster Layer; Mosaic Layer |
要标准化的字段 | 包含要标准化的值的字段。 对于每个字段,可以指定输出字段名称。 如果未提供输出字段名称,则该工具将使用字段名称和所选方法来创建输出字段名称。 | Value Table |
标准化方法 (可选) | 指定用于标准化指定字段中包含的值的方法。
| String |
最小值 (可选) | 标准化方法参数的最小值-最大值方法所使用的值,用于指定所提供输出值的比例中的最小值。 | Double |
最大值 (可选) | 标准化方法参数的最小值-最大值方法所使用的值,用于指定所提供输出值的比例中的最大值。 | Double |
派生输出
| 标注 | 说明 | 数据类型 |
| 更新的输入表 | 包含新编码字段的表。 | Table View |

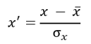
,其中 x' 为标准化值,x 为原始值,x̄ 为均值(平均值),σx 为标准差。
,其中 x’ 为标准化值,x 为原始值,min(x) 为数据的最小值,max(x) 为数据的最大值,a 为用户定义的最小值,b 为用户定义的最大值。
,其中 x' 为标准化值,x 为原始值,max(|x|) 为数据绝对值的最大值。
,其中 x’ 为标准化值,x 为原始值,median(x) 为数据的中位数,IQR(x) 为数据的四分位数范围。