| 标注 | 说明 | 数据类型 |
输入地统计图层 | 要分析的地统计图层。 | Geostatistical Layer |
输出点要素类 (可选) | 将交叉验证统计信息存储在地统计图层中的各个位置。 | Feature Class |
派生输出
| 标注 | 说明 | 数据类型 |
| 计数 | 使用的样本总数。 | 长整型 |
| 平均误差 | 平均误差 - 测量值与预测值之间的平均差值。 | 双精度型 |
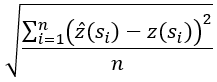
| 均方根 | 均方根误差 - 表示模型预测结果与测量值的接近程度。 | 双精度型 |
| 平均标准误差 | 平均标准误差 - 预测标准误差的平均值。 | 双精度型 |
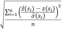
| 平均值标准化误差 | 平均值标准化误差 - 标准误差的平均值。 | 双精度型 |
| 标准化均方根误差 | 标准化均方根误差 - 如果预测标准误差有效,该值应接近 1。 | 双精度型 |
| 位于 90% 间隔内 | 90% 区间 - 是指介于 90% 交叉验证置信区间的点的百分比。该值应接近于 90。 | 双精度型 |
| 位于 95% 间隔内 | 95% 区间 - 是指介于 95% 交叉验证置信区间的点的百分比。该值应接近于 95。 | 双精度型 |
| 平均 CRPS | 平均 CRPS - 所有点的平均连续分级概率评分 (CRPS)。CRPS 是一种诊断方法,用于测量预测的累积分布函数与每个已观测数据值之间的偏差。该值应尽可能小。该诊断方法优于其他交叉验证诊断方法,因为它将数据与整个分布进行比较而不是与单点预测进行比较。该统计的计算方法涉及模拟,因而无法使用简单公式编写。 | 双精度型 |




