需要 Spatial Analyst 许可。
核密度分析工具用于计算这些要素周围邻域中的要素密度。 可以针对点和线要素计算核密度。
可能的用途包括针对社区规划分析房屋密度或犯罪行为,或探索道路或公共设施管线如何影响野生动物栖息地。 可使用总体字段赋予某些要素比其他要素更大的权重,该字段还允许使用一个点表示多个观察对象。 例如,一个地址可能表示包含 6 个单元的公寓,或者在确定总体犯罪水平时,某些犯罪的权重可能高于其他犯罪。 对于线要素,分车道高速公路可能比狭窄的土路具有更大的影响。
如何计算核密度
对于不同的要素,核密度的计算方式有所不同。
点要素
核密度分析用于计算每个输出栅格像元周围的点要素的密度。
概念上,每个点上方均覆盖着一个平滑曲面。 在点所在位置处表面值最高,随着与点的距离的增大表面值逐渐减小,在与点的距离等于搜索半径的位置处表面值为零。 只能是一个圆形邻域。 曲面与下方的平面所围成的空间的体积等于此点的总体字段值,如果将此字段值指定为 NONE 则体积为 1。 每个输出栅格像元的密度均为叠加在栅格像元中心的所有核表面的值之和。 核函数以 Silverman 的著作(1986 年版,第 76 页,equation 4.5)中描述的四次核函数为基础。
如果总体字段设置使用的是 NONE 之外的值,则每项的值用于确定点被计数的次数。 例如,值 3 会导致点被算作三个点。 这些值可以为整型或浮点型。
默认情况下,单位是根据输入点要素数据的投影定义的线性单位进行选择的,或是在输出坐标系环境设置中以其他方式指定的。
如果选择的是输出面积单位因子,则计算所得的像元密度将乘以相应因子,然后写入到输出栅格。 例如,如果输入单位为米,则输出面积单位将默认为平方千米。 将以米和千米为单位的单位比例因子进行比较的最终结果,将得到相差 1,000,000(1,000 米 x 1,000 米)倍的值。
线要素
核密度分析还可用于计算每个输出栅格像元的邻域内的线状要素的密度。
概念上,每条线上方均覆盖着一个平滑曲面。 其值在线所在位置处最大,随着与线的距离的增大此值逐渐减小,在与线的距离等于指定的搜索半径的位置处此值为零。 由于定义了曲面,因此曲面与下方的平面所围成的空间的体积等于线长度与总体字段值的乘积。 每个输出栅格像元的密度均为叠加在栅格像元中心的所有核表面的值之和。 用于线的核函数是根据 Silverman 著作(1986 年版,第 76 页,equation 4.5)中所述的用于计算点密度的四次核函数改编的。

上图显示了一条线段与覆盖在其上方的核表面。 线段对密度的贡献等于栅格像元中心核表面的值。
默认情况下,单位是根据输入折线要素数据的投影定义的线性单位进行选择的,或是在输出坐标系环境设置中以其他方式指定的。
指定输出面积单位因子后,它会转换长度单位和面积单位。 例如,如果输入单位是米,则输出面积单位将默认为平方千米,而所得到的线密度单位将转换为千米/平方千米。 将以米和千米为单位的单位比例因子相比较,最终结果将是相差 1,000 倍的密度值。
您可通过手动选择适当因子来控制点和线要素的密度单位。 要将密度单位设置为米/平方米(而不是默认的千米/平方千米),请将面积单位设置为平方米。 同样,若要将输出的密度单位设置为英里/平方英里,请将面积单位设置为平方英里。
如果总体字段设置使用的是 NONE 之外的值,则认为线的长度为其实际长度乘以该线的总体字段的值。
计算核密度的公式
以下公式定义如何计算点的核密度以及如何在核密度公式中确定默认搜索半径。
预测点的密度
新 (x,y) 位置的预测密度由以下公式确定:

其中:
- i = 1,…,n 是输入点。 如果它们位于 (x,y) 位置的半径距离内,则仅包括总和中的点。
- popi 是 i 点的总体字段值,它是一个可选参数。
- disti 是点 i 和 (x,y) 位置之间的距离。
然后将计算的密度乘以点数,或者乘以总体字段的总和(如果有)。 这种校正使空间积分等于点数(或总和或总体字段),而非总等于 1。 该实现使用四次核(Silverman,1986)。 需要为要估算密度的每个位置分别计算公式。 由于正在创建栅格,因此计算将应用于输出栅格中每个像元的中心。
默认搜索半径(带宽)
用于确定默认搜索半径(也称为带宽)的算法将执行以下操作:
- 计算输入点的平均中心。 如果提供了总体字段,则此字段和所有以下计算将按该字段中的值加权。
- 计算所有点的(加权)平均中心的距离。
- 计算这些距离的(加权)中值 Dm。
- 计算(加权)标准距离 SD。
有关此内容的详细信息,请参阅标准距离空间统计工具。
- 请使用以下公式来计算带宽。

其中:
- Dm 是(加权)平均中心的(加权)中值距离。
- n 是没有使用总体字段的点数,如果提供了总体字段,则 n 是总体字段值的总和。
- SD 是标准距离。
请注意,方程的 min 部分表示将使用两选项(SD 或
)中计算得出值较小者。
有两种计算标准距离的方法,即未加权和加权。
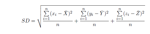
未加权距离

其中:
- x i 、y i 和 z i 是要素 i 的坐标
- {x̄, ȳ, z̄} 表示要素的平均中心
- N 等于要素总数。
加权距离

其中:
- wi 是要素 i 的权重
- {x w, y w, z w} 表示加权平均中心。
方法
这种用于选择搜索半径的方法基于“Silverman 经验规则”带宽估算公式,但该公式经调整已适用于两个维度。 这种计算默认半径的方法通常可避免稀疏数据集中经常出现的点周围的圆环现象,并且防止空间异常值 - 即远离其余点的几个点。
障碍如何影响密度计算
在计算输出栅格中像元的核密度时,障碍会更改要素的影响。 障碍可以是折线或面要素图层。 通过增加要素与正在计算密度的像元之间的距离或从计算中排除要素,它可以通过两种方式影响密度计算。
如果没有障碍,要素与像元之间的距离是最短的距离,即两点之间的直线。 对于通常用折线表示的开放障碍,要素与像元之间的路径会受到障碍的影响。 在这种情况下,要素和像元之间的距离会因绕行障碍而延长,如下图所示。 因此,在估计像元处的密度时,要素的影响会降低。 通过连接一系列直线以从输入点要素到像元围绕障碍来创建障碍周围的路径。 它仍然是障碍周围的最短距离,但比没有障碍时的距离还要长。 对于通常由完全包含一些要素的面表示的封闭障碍,在障碍一侧的像元处进行的密度计算将完全排除障碍另一侧的要素。

与没有障碍的核密度操作相比,具有障碍的核密度操作可以在某些情况下提供更真实准确的结果。 例如,在探索两栖动物的分布密度时,悬崖或道路的存在可能会影响它们的运动。 可以将悬崖或道路用作障碍,以获得更好的密度估计。 同样,如果将穿过城市的河流视为障碍,则对城市犯罪率进行密度分析时所得到的结果可能会有所不同。
下图显示了洛杉矶县深夜交通事故的核密度输出(从洛杉矶县 GIS 数据门户获得的数据)。 没有障碍的密度估计位于左侧 (1),而在道路两侧都有障碍的密度估计位于右侧 (2)。 与使用事故地点之间的最短距离相比,该工具使用障碍(沿道路网络测量的距离)可提供更好的密度估计。

参考资料
Silverman, Bernard W. 1986. Density Estimation for Statistics and Data Analysis. New York: Chapman and Hall.