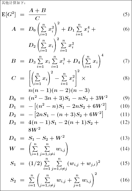
General G 的其他数学计算

用于计算 General G 统计量的其他数学计算