需要 Spatial Analyst 许可。
树状图是显示每对顺序合并类之间的属性距离的图表。 为避免交叉线,图表以图形方式排列,以便要合并的每对类的成员均在图表中相邻。
树状图工具使用等级聚类算法。 该程序首先计算输入特征文件中每对类之间的距离。 然后它迭代合并最近的一对类,并连续合并下一个最接近的类和后续最接近的类,直到合并所有类。 每次合并后,所有类对之间的距离均会更新。 类特征合并的距离用于构建树状图。
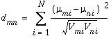
当在距离计算中使用方差选项未被选中时(Python 中 MEAN_ONLY),一对类 m 和 n 之间的距离 dmn 按照它们的平均值之间的距离进行测量:

其中:
m 和 n - 类的 ID
i - 图层编号
µ - 图层 i 中 m 或 n 类的平均值
当方差选项被选中时(Python 中的 VARIANCE),树状图工具将使用以下公式根据它们的均值和方差测量类对之间的距离:

其中 V 是图层 i 中类 m 或 n 的方差。
描述合并类的新统计数据(均值和方差)基于构成合并类的样本的原始均值和方差。 因此,合并类是使用合并的均值和方差生成的。 用于创建合并类的两个特征将被合并类的单个特征替换。 新的平均值特征是根据合并类的所有成员像元在多维属性空间中的位置计算的。 新特征为合并后的类 ID 保留两个输入类中数量较少的一个。
可以使用树状图的比例尺对值级别或每对类合并的距离进行插值。 由于字符大小的限制(图形的粗分辨率),将四舍五入合并级别以进行显示。 但是,合并级别的精确值在与树状图关联的表中显示为 DISTANCE。
在合并一对类之后,将使用方差(而非协方差)进行距离计算。 树状图使用的算法不使用马氏距离来确定类之间的距离。 因此,类与合并类之间的距离可能与基于马氏距离的格网工具(例如编辑特征、最大似然分类和类别概率)的结果不匹配。
通过提供合并或分离数据类所需的信息,树状图可用于减少分析中的统计数据错误分类。 如果分析中的类在统计上过于接近(即,可能难以根据统计数据区分这两个类),可能会导致错误分类。 在这种情况下,请考虑合并类。 类何时应该和不应该合并没有明确的规则。 何时应该合并类? 这取决于研究区域和数据的异质性、尝试将数据分类到的类数量以及目标。 例如,如果研究领域非常多样化,则可能会遇到许多不同的类,因此可能没有必要合并类。 在另一种可能的情况下,数据同质性可能更高,并且您可能试图将数据分为太多类。 在第二种情况下,类在统计上可能过于接近;因此,合并一些类可能是合适的。
如果分析不需要详细的类,您可能希望将这些类合并到更多的常规类中以减少错误分类的概率。 树状图可确定哪些类在统计上最接近,但您可以根据您对该领域的知识和目标来确定何时适合合并类。
例如,如果已将一个类指定为一般湿地,将第二个类指定为沼泽地,则合并两个类可能是合适的。 但是,根据训练样本确定的统计数据在两个类别之间非常相似;因此,这两个类在生成的树状图中将很接近。 如果您只对识别湿地感兴趣,则可能希望将沼泽合并到一般湿地类中。
树状图不仅可以识别哪些类可以合并,还可以识别何时添加类可能有益。 如果一个类在统计上与另一个类相距甚远,您可能需要添加类以进一步细化分类。 例如,您可能已将一个类指定为作物,将第二个类指定为草。 在生成的树状图上,这两个类可能相距甚远。 但是,我们假设您有一个高分辨率的多波段栅格。 如果您正在分析该地区的农业产出,使用更高分辨率的数据,可能将作物和草类细化为特定的作物类型。
示例
在下面的示例中,类 3 和类 5 是属性空间中的最近邻域;因此,它们在 3.443 级别合并。 该值表示相对的相似程度,也可以看成是多维空间中的距离。 将合并这两个类,并将作为一个类进行处理。 计算合并类的统计数据以及合并类到其他类的距离。 然后识别接下来的两个最接近的类。 两位候选项人分别是类 4 和类 6。 它们之间的距离是 3.609,并将被合并。 该过程迭代。 所有类按顺序合并为更大的类,直到所有类合并为一个类。
- 树状图工具对话框中使用的设置:
输入特征文件 - isoclust12.gsg
输出树状图文件 - isodendro.txt
在距离计算中使用方差 - {default}
树状图线宽 - 78
输出树状图文件如下:
Distances between pairs of combined classes (in the sequence of merging):
Remaining Merged Between-Class
Class Class Distance
----------------------------------
3 5 3.442680
4 6 3.608904
7 9 3.899360
2 7 3.795288
3 4 4.883098
2 8 6.073256
1 3 6.257798
1 2 9.350019
----------------------------------
Dendrogram of /discb/topdir/myspace/isoclust12.gsg
C DISTANCE
L
A
S 0 1.0 2.1 3.1 4.1 5.2 6.2 7.2 8.3 9.3
S |-------|-------|-------|-------|-------|-------|-------|-------|------
5 -------------------------|
|----------|
3 -------------------------| |
|----------|
6 ---------------------------| | |
|--------| |-------------------|
4 ---------------------------| | |
| |
1 -----------------------------------------------| |
|-
9 -----------------------------| |
| |
7 ---------------------------------------------| |
| | |
2 ------------------------------| |---------------------|
|
8 ---------------------------------------------|
|-------|-------|-------|-------|-------|-------|-------|-------|------
0 1.0 2.1 3.1 4.1 5.2 6.2 7.2 8.3 9.3