需要 Spatial Analyst 许可。
了解地形的多样化特征对于从水文研究到山体滑坡易感性评估等广泛的应用至关重要。 其中一个应用是将地形分类为地貌。 地貌是地形的自然形状,例如山谷或山峰。
在各种地形分类技术中,Geomorphon 方法(Jasiewicz 和 Stepiski,2013)使用高程差异和可见性概念,根据地形数据来识别地貌。 Geomorphon 地貌工具应用这些概念以确定代表地形区域的独特模式。
Geomorphon 方法总共可以识别 498 种独特的模式。 某些地貌形态描述的是自然环境中看不到的地貌,而另一些描述的是相同的地貌类型。 因此,地貌形态与地貌类型之间存在多对一类型的匹配。 识别出地貌形态后,即可使用查找表将其与地貌进行匹配。
Geomorphon 地貌工具逻辑
Geomorphon 地貌工具使用 Geomorphon 方法将地形分类为地貌。
对于输入栅格中的每个像元,该工具将执行以下操作:
- 设置分析区域。 使用搜索距离和跳过距离参数确定分析区域。
- 使用局部三元模式 (LTP) 获取地貌形态模式。 要确定 8 个主方向的局部三元模式 (LTP),需要延伸视线并根据天底角和天顶角对其进行分类。
- 将 LTP 变换为以 3 为基数的数字,用于记录独特的模式或地貌形态。 存储目标像元的该值。
- 使用查找表将地貌形态模式与 10 种最常见的地貌之一进行匹配。
下面的各部分将对每个步骤进行更详细的说明。
设置分析区域以计算地貌形态模式
该工具的分析区域是用于计算目标像元处的地貌形态模式的地形区域。 它定义了该工具用于确定地貌形态模式的相邻像元。
分析区域由搜索距离和跳过距离参数确定。 搜索距离参数可确定覆盖区域的范围。 跳过距离参数用于标识将排除在分类之外的目标像元周围的区域。 下图显示了一个分析区域的示例,该区域由 3 个像元的搜索距离和 1 个像元的跳过距离定义。 通过将每个像元中心和目标像元之间的距离与搜索距离值进行比较来确定要处理的像元。 如果搜索距离值较大,则将对该像元进行处理。

指定较大的搜索距离值可能会概化周围地形。 较小的值将捕获结果中的更多细节。 增大跳过距离值有助于降低来自附近像元的噪声,这些噪声可能代表错误的高程值,或者可能不会提供有关高程差异的附加信息。
这两个参数还可以帮助根据地形要素的大小识别地形要素。 为此,请将这些参数调整为代表您要分类的值。 设置这些参数的一些常规准则如下:
- 使用输入像元大小的 50 到 100 倍作为搜索距离参数的值以标识较宽或较大的地形要素,例如河流。 标识较宽或较大的地形要素也会在此过程中标识较小的地形要素,但根据跳过距离参数值,可能无法对其进行标识。 因此,建议一次更改一个参数以找到每个参数的最佳值。
- 使用输入像元大小的 5 到 15 倍来标识较窄或较小的地形要素,例如狭窄的溪流。
- 使用更小的值来标识非常狭窄的地形要素,例如山脊线。
获取地貌形态模式
设置分析区域后,下一步便是根据局部三元模式( (LTP) 计算地貌形态模式。
使用天顶角和天底角确定局部三元模式
首先,LTP 相当于为 8 个主方向中的每个主方向分配值 0、1 或 -1。 将为给定方向分配的值由天顶角和天底角之间的差值决定。
天顶角 Z 是天顶方向(正上方)与沿正在进行分析的方向延伸到分析区域边界的视线之间形成的夹角。 此线代表可从目标像元看到的一切。
天底角 N 的定义方式类似。 对应于天底方向(正下方)与假设视线之间形成的角度,该假设视线再次沿区域内的最低高程到达分析区域边界。
图 2 显示了在一个方向(例如北向)分析的地形的高程剖面图,以及使用各自视线定义的每个角度。

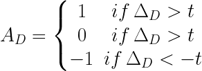
确定以上两个角度后,即可使用平坦地形角度阈值来确定要分配给分析方向的 LTP 值。 数学表达式如下所示:

其中,
- AD 是分配给分析方向的值。
- ΔD 是天底角与天顶角 Z 和 N 之间的差值。
- t 为平坦地形角度阈值。
平坦地形角度阈值是一个以度为单位的值,可用于设置将被分类为平坦的地形的限制。 按照图 2 中所示的相同示例,如果指定平坦地形角度阈值为 1(t = 1 度),则将为分析方向分配值 1。 这是因为 90° - 45° = 45° > 1°。
在每个主方向上顺时针重复相同的过程。
为目标像元构造地貌形态模式
为 8 个方向中的每个方向分配值后,将结果串连为一个 8 元组(8 个元素),并将其存储在目标像元中。 一个 8 元组示例为 (0, -1, 0, 1, 0, 0, 1, 1)。 为了便于存储,可将元组变换为三进制(基数为 3)形式的数字。 此结果为地貌形态模式。
可能的地貌形态模式的总数为 6561 (38)。 由于其中许多模式是通过旋转或反射其他模式而产生的,因此总数可以减少为 498 个。
将地貌形态模式与地貌类型相匹配
该工具使用查找表将地貌形态模式与特定的地貌类型进行匹配,遵循 Jasiewicz 和 Stepinski (2013) 提出的论点。 该表将地貌形态模式与 10 种最常见的地貌之一进行匹配。

如果地貌形态模式的定义变化不大,则可以将多种不同的地貌形态模式与特定地貌相匹配。 可接受的变化是创建查找表的必要假设。

仅山峰和凹坑地貌类型与唯一地貌形态模式相匹配。 对于山峰地貌类型 (-1, -1, -1, -1, -1, -1, -1, -1),目标像元周围的所有像元基本上都较低。 同样,对于凹坑地貌类型 (1, 1, 1, 1, 1, 1, 1, 1),目标像元周围的所有像元基本上都较高。
最终地貌和地貌形态栅格结果
最后一步是将匹配结果存储在输出地貌栅格参数值中。 地貌形态模式为可选输出,可用于进一步分析或诊断。
参考资料
Jasiewicz, Juroslav and Tomasz F. Stepinski. 2013. "Geomorphons - a pattern recognition approach to classification and mapping of landforms." Geomorphology Volume 182, January 15, pp. 147–56. https://doi.org/10.1016/j.geomorph.2012.11.005