需要 Spatial Analyst 许可。
时空核密度工具将核密度计算从分析输入要素的相对位置和量值扩展为包含其他维度,例如时间和深度(高程)。 由此产生的输出结果利用多重核函数识别单位面积的大小,从而为每个输入点拟合出一个平滑的锥形曲面。
与其他密度工具比较
密度分析是许多空间分析和地统计分析的关键。 示例包括以下内容:
- 人口统计研究
- 专注力、暴露度和弹性研究
- 制定政策,帮助确定任何特定地点或社区对任何特定服务的需求,例如医疗保健设施、紧急服务、基础设施和道路网络
还可以使用其他计算密度的工具,包括核密度分析、点密度分析和线密度分析。 这些工具计算要素周围邻域中要素(点或线)的密度。 然而,他们没有考虑其他维度。
时空核密度工具分析空间和时间上发生的事件或事件的密度,并且能够考虑高程值。 通过将高程和时间纳入方程,该工具扩展了对所研究现象的空间和时间分布、模式和趋势的理解。
时空核密度的主要优点
时空核密度工具将核密度估算的概念与时间分析相结合,提供对模式的全面理解。 与其他形式的密度估算相比,该工具具有以下一些优势:
- 同时分析不同高程事件的空间和时间维度。 这提供了对模式的更全面的理解,并帮助确定随着时间、空间和高程的变化,事件在不同区域中出现的高度集中或低度集中的区域。
- 考虑时间方面来分析事件密度如何随时间变化。 这对于研究动态现象特别有用,例如犯罪模式、疾病爆发或交通流。
- 同时考虑高程和时间方面,能够分析不同高程下事件密度如何随时间变化。 这对于研究地球科学中的动态现象特别有用,例如气压、臭氧密度、污染物、空气和水成分、水盐度、溶解氧水平、水电导率、水压和温度。
- 提供参数选择的灵活性,包括核类型、搜索半径(带宽)、高程和时间单位的选择。 可以根据特定需求和数据特征定制分析,从而获得更准确、更有意义的结果。
- 利用 ArcGIS Pro 现有功能来分析和可视化多维栅格数据,并提供各种可视化选项,以多维数据的 Esri 云栅格格式 (CRF) 格式作为默认输出栅格。 这对于分离特定维度或可视化以及帮助识别跨时空数据中的热点、趋势和模式特别有益,有助于更好地做出决策和理解时空关系。
该工具可以让您更细致地了解事件模式。 可以应用于各个领域,包括犯罪分析、疾病绘图、交通规划、环境监测、海洋学和大气科学。 凭借对空间和时间的分析能力,这款多功能工具能够帮助理解复杂现象。 不过,具体优势和适用性可能会因数据的性质和分析目标而异。
时空核密度的计算原理
时空核密度工具使用具有高程和时间数据的点要素来计算每个输出栅格像元周围点要素的核密度。
概念上,每个点上方均覆盖着一个平滑曲面。 该技术与点输入的核密度工具的工作原理类似。 点位置处的表面值最高,随着距离该点位置的不断变远而不断减小,直到距离值达到搜索半径参数值,表面值为零。 由于输入数据类型是点,因此只能是圆形邻域。 表面下的体积等于该点的总体字段参数值,如果指定为 NONE,则等于 1。 每个输出栅格像元的密度均为叠加在栅格像元中心的所有核表面的值之和。 核函数以 Silverman 的著作(1986 年版,第 76 页,equation 4.5)中描述的四次核函数为基础。
公式如下:

其中:
- i = 1,…,n 是输入点。
- f(j) 是每个像元中心的密度。
- dij 是事件点与像元中心之间的距离。
- h 是搜索半径。
如果总体字段参数设置使用的是 NONE 之外的值,则每项的值用于确定点被计数的次数。 例如,值 3 会导致点被算作三个点。 这些值可以为整型或浮点型。
默认情况下,单位是根据输入点要素数据的投影定义的线性单位进行选择的,或是在输出坐标系环境设置中以其他方式指定的。
如果选择的是输出面积单位参数因子,则计算所得的像元密度将乘以相应因子,然后写入到输出栅格。 例如,如果输入单位为米,则输出面积单位将默认为平方千米。 将以米和千米为单位的单位比例因子进行比较的最终结果,将得到相差 1,000,000(1,000 米 x 1,000 米)倍的值。
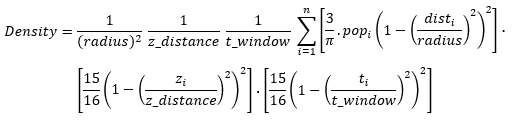
预测某一位置的密度
新 (x,y) 位置的预测密度由以下公式确定:

其中:
- i = 1,…,n 是输入点。 对于 disti < radius,如果它们位于 (x,y) 位置的半径距离内,则仅包括总和中的点。
- popi 是 i 点的总体字段值。 这是可选参数。
- disti 是点 i 和 (x,y) 位置之间的距离。
- radius 是围绕 (x,y) 位置定义的搜索半径。
然后将计算的密度乘以点数,或者乘以总体字段的总和(如果有)。 这种校正使空间积分等于点数(或总和或总体字段),而非总等于 1。 该实现使用四次核(Silverman,1986)。 为要估算密度的每个位置分别计算公式。 由于正在创建栅格,因此计算将应用于输出栅格中每个像元的中心。
时间和高程
密度可以跨时间、跨高程或同时跨时间和高程计算。 使用时间维度来分析确定时间范围内的模式和趋势。 使用高程维度来解释地形对事件分布的影响。
下文将详细介绍这些维度的参数和使用的公式。
(x,y) 点随时间变化的核密度
要在该工具的计算中包含时间维度,需要确定开始时间、结束时间和时间间隔。
开始时间参数指定要计算密度的时间段的开始时间。 可以是特定日期(例如 12/31/2023)或时间(3:45:45 PM),或日期和时间一起(12/31/2023 3:45:45 PM)。 开始时间为计算设置搜索时间窗口 (t_window) 的下限。
结束时间参数指定密度计算的时间段的结束时间。 与开始时间类似,可以是特定的日期或时间,也可以是日期和时间一起。 结束时间为计算设置搜索时间窗口 (t_window) 的上限。
时间间隔参数指定分析中使用的时间间隔的颗粒度。 用于指定每个时间间隔的长度,例如 1 小时、1 天或 1 个月。 时间间隔将开始时间和结束时间之内的时间范围划分为更小的时段以进行密度计算。 间隔单位可以是秒、分钟、小时、天或周。
该工具根据指定的开始时间、结束时间和时间间隔,计算每个时间间隔内以及指定时间范围内的事件密度。 通过根据指定的时间间隔将开始时间和结束时间之内的时间范围划分为更小的时段,该工具可以计算每个时间间隔内的事件密度。 这样可以更详细地分析事件密度如何随时间变化。 例如,如果时间间隔设置为 1 小时,时间范围为上午 9:00 到下午 5:00,则该工具将计算每小时内的事件密度(上午 9:00-10:00、上午 10:00-11:00 等),提供对事件发生的时间模式的见解。
为了计算 (x,y) 点上随时间变化的核密度,使用空间核 k(x,y) 和时间核 k(t)。 由此得出以下随时间变化的核密度公式:

其中:
- 对于 disti < radius,如果它们位于 (x,y) 位置的半径距离内,则仅包括总和中的点。
- 对于 ti < t_window,仅当时间位于搜索时间窗口内时,才会将其包含在计算中。
- popi 是 i 点的总体字段值。 这是可选参数。
- disti 是点 i 和 (x,y) 位置之间的距离。
- radius 是围绕 (x,y) 位置定义的搜索半径。
- ti 是时间窗口 (t_window) 内计算的每个间隔的时间。
- t_window 是搜索时间窗口。
(x,y) 不同高程的核密度
高程参数用于分析空间和高程上发生的事件或现象的密度。 该工具考虑了事件的空间位置以及事件发生的高程高度。 要在此工具中计算高程尺寸,您需要指定三个参数:最小高程、最大高程和高程间隔。
最小高程参数指定要进行密度计算的高程范围内的最低高程值。 设置分析的高程范围的下限。
最大高程参数指定所需高程范围内的最大高程值。 与最小高程类似,该参数用于设置分析的高程范围的上限。
高程间隔参数指定分析中使用的高程间隔的颗粒度。 指定每个高程间隔的长度,例如 100 米、500 米或 1 公里。 高程间隔将最小和最大高程之间的高程范围划分为更小的段以进行密度计算。
通过指定最小高程、最大高程和高程间隔,该工具可以计算每个高程间隔内以及指定高程范围内的事件密度。
为了计算 (x,y) 点上高程的核密度,使用空间核 k(x,y) 和高程核 k(z)。 由此得出以下随时间变化的核密度公式:

其中:
- 对于 disti < radius,如果它们位于 (x,y) 位置的半径距离内,则仅包括总和中的点。
- 对于 zi < z_distance,仅当高程点位于高程的搜索半径内时,才会将其包含在计算中。
- popi 是 i 点的总体字段值。 这是可选参数。
- disti 是点 i 和 (x,y) 位置之间的距离。
- radius 是围绕 (x,y) 位置定义的搜索半径。
- zi 是在高程窗口内计算的每个间隔的高程。
- z_distance 是高程的搜索半径。
(x,y) 不同高程和时间的核密度
核密度可在高程和时间维度上进行分析。 为此,您需要指定六个参数:最小高程、最大高程、高程间隔、开始时间、结束时间和时间间隔。
为了计算 (x,y) 点上不同高程和时间的核密度,使用以下公式:

其中:
- 对于 disti < radius,如果它们位于 (x,y) 位置的半径距离内,则仅包括总和中的点。
- 对于 zi < z_distance,仅当高程点位于高程的搜索半径内时,才会将其包含在计算中。
- 对于 ti < t_window,仅当时间位于搜索时间窗口内时,才会将其包含在计算中。
- popi 是 i 点的总体字段值。 这是可选参数。
- disti 是点 i 和 (x,y) 位置之间的距离。
- radius 是围绕 (x,y) 位置定义的搜索半径。
- zi 是在高程窗口内计算的每个间隔的高程。
- z_distance 是高程的搜索半径。
- ti 是时间窗口 (t_window) 内计算的每个间隔的时间。
- t_window 是搜索时间窗口。
搜索窗口参数
搜索半径(或核密度工具中提到的带宽)确定每个事件对密度计算的影响程度或范围。 它在定义分析的空间和时间范围方面起着至关重要的作用。 有关详细信息,请参阅核密度工具帮助中的默认搜索半径(带宽)。
在时空核密度工具中,您可以分别指定三种维度的搜索半径:(x, y)、高程 (z) 和时间 (t)。
x 和 y 的搜索半径
搜索半径(x 和 y)参数指定在 x 和 y 维度上事件对密度计算产生影响的距离范围。 搜索半径可以与输入数据采用相同的单位,也可以用米、公里或度等单位指定。
指定较大的搜索半径将导致更平滑的密度表面,因为事件距离特定位置越远,对密度值产生的影响越大。
高程的搜索半径
搜索半径 (z) 参数确定在高程维度上事件对密度计算产生影响的垂直距离。 可以用米、英尺等单位指定,也可以与输入数据的高程单位相同。
与 x 和 y 搜索半径类似,指定较大的高程搜索半径将导致更平滑的密度表面,因为事件距特定位置的垂直距离越大,对密度值产生的影响越大。
时间的搜索半径
搜索时间窗口 (t)参数定义了在时间维度上事件对密度计算产生影响的时间范围。 可以通过小时、天或月等单位指定。 时间窗口设置了每个事件的持续时间,在此持续时间内发生的事件将对特定位置和时间的密度计算提供帮助。
结果的细节和平滑度
通过调整核参数选项卡下的搜索半径值,可以控制生成的密度表面的细节级别和平滑度。 较小的搜索半径或带宽将捕捉到更局部的模式,而较大的搜索半径或带宽将捕捉到更广泛的趋势和模式。
要选择合适的搜索半径或带宽值,需要仔细考虑数据的特征和分析目标。 使用不同的值进行试验并评估所得的密度表面,有助于找到最适合特定分析的参数。
搜索半径计算
确定默认搜索半径的算法操作如下:
- 计算输入点的平均中心。 如果提供了总体字段,则此字段和所有以下计算将按该字段中的值加权。
- 计算所有点的加权平均中心的距离。
- 计算这些距离的加权中值 Dm。
- 计算加权标准距离 SD。
注:
有关如何计算标准距离的详细信息,请参阅空间统计工具箱帮助中的标准距离的工作原理。
(x,y) 的默认搜索半径由以下公式确定:

其中:
- SD 是标准距离。
- Dm 是(加权)平均中心的(加权)中值距离。
- 如果未指定总体字段参数值,则 n 为点数。 如果提供了总体字段参数值,则 n 是字段值的总和。
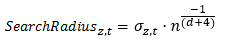
高程 (z_distance) 和时间窗口 (t_window) 的默认搜索半径由以下公式确定:

其中:
- σz,t 是 z 和 t 维度点分布的标准偏差。
- 如果未指定总体字段参数值,则 n 为点数。 如果提供了总体字段参数值,则 n 是字段值的总和。
- d 是分析维度。 默认值为 1。
标准距离计算
有两种计算标准距离的方法,即未加权和加权。
未加权距离由以下公式确定:

其中:
- xi、yi 和 zi 是要素 i 的坐标。
- {x̄, ȳ, z̄} 表示要素的平均中心。
- n 等于要素总数。
加权距离由以下公式确定:

其中:
- wi 是要素 i 的权重。
- xi、yi 和 zi 是要素 i 的坐标。
- {X̄w, Ȳw, Z̄w} 表示要素的加权平均中心。
多维栅格高程和时间间隔
时空核密度工具的输出是一个多维栅格,其中每个高程和时间间隔都有单独的切片。 如果提供了高程和时间输入数据,则使用以下公式计算输出栅格中的切片总数:

其中:
- Zmax 表示最大高程。
- Zmin 表示最小高程。
- 高程间隔是多维栅格输出中高程切片之间的间隔。
- Tmax 表示结束时间。
- Tmin 表示开始时间。
- 实践间隔是多维栅格输出中时间切片之间的间隔。
如果在输出参数组中没有为时间或高程定义间隔,则在对任意一个输入变量进行操作时,默认切片数为 20 个。 对于同时使用高程和时间的操作,输出栅格中的默认切片数为 400。
平面和测地线方法对密度的影响
密度的计算将根据平面或测地空间参考系统的选择而变化。
如果要使用精确保持正确距离和面积的投影在局部比例上执行分析,则方法参数的平面选项是合适的。 默认情况下,该工具使用平面距离。
如果要在区域或大范围内执行分析,例如使用 Web 墨卡托或任何地理坐标系时,则测地线选项适用。 这种方法考虑到椭球体的曲率,并可以正确处理两极和国际日期变更线附近的数据。 测地线方法总能得出更准确的结果,推荐使用。
平面距离和测地线距离之间的差异与距源的距离成比例增大。 如果您在较小规模的区域内工作(例如城市或县),则与在国家/地区规模的区域内相比,平面和测地线之间的差异将成比例减小。 研究区域大小的影响和地图工程畸变会相互作用,导致畸变进一步增大。 对于 Web 墨卡托之类的投影,在距离畸变相同的情况下,越靠近极点,可以分析的区域越小。
要了解测地距离和平面距离在距离计算中的差异,请参阅测地距离与平面距离。
输出密度类型
结果值参数提供了两个用于计算和可视化输出密度类型的选项:密度和预期计数。
如果选择密度设置,输出栅格中的单元格值表示每单位面积的计算密度值。
如果选中预期计数设置,则这些值表示每个像元区域的预期事件数。 用于计算计数的公式如下:
- 仅使用 x,y 平面上的半径,计数 = 密度 × 面积。
- 使用高程,计数 = 密度 × 面积 × 高程间隔。
- 使用时间,计数 = 密度 × 面积 × 时间间隔。
- 同时使用时间和高程,计数 = 密度 × 面积 × 高程间隔 × 时间间隔。
需要强调的是,这些公式假定输出栅格单元、高程区间和时间区间内的密度不变。 为了生成可靠的预期计数,应仔细考虑选择单元大小、高程间隔和时间间隔参数值。
可能的应用
该工具的潜在应用包括以下情景:
- 使用高程和时间了解海洋表面和水的成分。 例如,检查海洋中盐度、水温或溶解氧水平等参数随时间的变化。
- 了解大气条件。 例如,检查一天或一年中不同时间某个地理单位的 PM2.5 读数的密度变化。
- 应用该工具的功能,利用时间来了解不同时期的疾病爆发、犯罪密度或无家可归人口。
- 分析不同地点和高程高度的大气中悬浮空气颗粒的成分。 例如,检查 PM2.5 成分随时间的变化,深入了解空气污染模式并识别潜在的污染源。
其他资源
Härdle, W. K., Müller, M, Sperlich, S., and Werwatz, A. Nonparametric and semiparametric models (Vol. 1). Berlin: Springer, 2004.
Hu, Y., Wang, F., Guin, C., and Zhu, H. "A spatio-temporal kernel density estimation framework for predictive crime hotspot mapping and evaluation." Applied geography, 99, 2018, 89-97.
Nakaya, T., and Yano, K. "Visualising crime clusters in a space‐time cube: An exploratory data analysis approach using space time kernel density estimation and scan statistics." Transactions in GIS, 14(3), 2010, 223-239.
Silverman, B. W. Density Estimation for Statistics and Data Analysis. New York: Chapman and Hall, 1986.