协同区位分析工具将使用协同区位商统计数据来测量两类点要素之间的局部空间关联模式。此工具的输出是使用添加的字段(包括协同区位商值和 p 值)进行分析的两个类别之间空间关联可能性的地图制图表达。可以指定一个可选的表格参数,用于报告感兴趣输入要素参数中的每个类别与输入相邻要素参数中表示的每个类别之间的关联。
潜在的应用
以下是协同区位分析工具的潜在应用:
- 是否可能要协同定位某些业务类型(例如咖啡店和零售店)?
- 住宅盗窃的位置是否更可能发生或与某些房屋类型协同定位?
- 您的研究区域中是否存在特定区域,其中餐馆检查不合格与遭到病虫害协同定位?
如何计算协同区位商
将针对在其邻域内找到的相邻类别(类别 B)的协同区位对感兴趣类别(类别 A)中的每个要素进行评估。通常,如果 A 的邻域内 B 点的比例大于 B 的全局比例,则协同区位商将很高。如果 A 的邻域包含 B 以外的许多其他 A 点或许多其他类别,则感兴趣类别(类别 A)与相邻类别(类别 B)之间的协同区位将会较小。
如果将两个不含类别的数据集用作输入类型,则感兴趣的输入要素将被视为类别 A,且输入相邻要素将被视为类别 B。
警告:
此分析的协同区位关系不对称。对类别 A 与类别 B 进行比较时计算的协同区位商值将与对类别 B 与类别 A 进行比较时计算的协同区位商值不同。
注:
如果您的邻域内恰巧具有类别 C,则生成的协同区位商将与仅具有类别 A 和 B 的协同区位商不同。根据您要提出的问题,提取数据的子集以仅包含类别 A 和类别 B 可能非常重要。但是,提取子集时,您将丢失有关当前其他类别的信息。如果您确保某一类别的出现完全不受另一类别的出现的影响,则选择和提取数据的子集将非常重要。
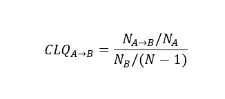
根据感兴趣类别 A 中的点 Ai 到相邻类别 B 计算的局部协同区位商如下所示:
NAi–>B 基于高斯或双平方核函数表示每个 Ai 邻域中类型 B 点数量的加权平均值如下所示:
其中 fij 是一个二进制变量,用于指示点 j 是否为类别 B 点。如果为 true,则其等于 1。否则,其等于 0。核函数方程式如下所示:
注:
如果 wij 值对于双平方核为负,则分配的权重为 0。

还可以计算全球协同区位商,以度量数据集中所有类别之间的空间关联。由此您可以探索数据中的其他关系,因为您可能会在全球范围内找到其他高度协同定位的类别。全球协同区位商方程如下所示:
置换检验用于计算每个感兴趣输入要素的 p 值以确定观察到的协同区位商值是否存在统计显著性。对于每个要素,可以使用其邻域来计算局部协同区位商,对于每个置换检验,所有其他点的类别将在整个研究区域中随机重新排列(保持目标点位置类别不变)。可以使用每个置换检验邻域中的类别,针对每个感兴趣要素来计算新的局部协同区位商。结果为协同区位商值的参考分布,随后会将该参考分布与要素的实际协同区位商值进行比较,以确定在置换检验的随机分布中找到观测值的可能性。通过查看此分布,您可以看到可合理地归因于随机性的协同区位商值的范围。 如果 p 值较小(小于 0.05),则该要素的实际协同区位商具有统计显著性。该工具的默认值为 99 次置换检验;但是,随着置换检验次数的增加,计算的 p 值的精度将提高。
邻域类型
可以通过以下三种方式之一来选择邻域类型: 距离范围将确保研究区域中所有邻域的分析等级均相同。这意味着,密度较高的区域将在分析中考虑的点比稀疏区域更多。K 最近邻选项在其距离方面具有自适应性,并且将确保针对每个要素,每个邻域包含相同数量的相邻要素。您还可以指定由生成空间权重矩阵工具创建的 .swm 文件以其他方式定义空间权重。
使用空间时间窗
如果数据具有日期和时间字段,则可以将分析划分为一系列空间时间窗。通过指定感兴趣时间字段、相邻类别的时间字段和时态关系类型,可以控制所分析邻域中包含的要素。在空间和时间上彼此接近的要素将一起分析,因为所有要素关系都是相对于目标要素的位置和时间戳进行评估的。在以下示例中,“1 公里”距离范围为标有 Jan 31 的要素找到 6 个相邻要素。但是,在底部示例中,“1 公里”距离范围和目标要素之后的 1 天空间时间窗仅找到另外 2 个相邻要素。

假设您正在分析某个区域中的火灾源和露营者位置。如果您仅使用邻域类型的距离范围选项运行了协同区位分析工具以定义要素关系,则结果将为一张地图,其中显示了火灾源点的位置以及其是否与数据集中记录的所有露营者协同定位。如果您通过使用上述参数定义一个空间时间窗,随后再次运行分析,则需要确保一年前出现的露营者位置不会影响您对今年出现的火灾源的分析。了解火灾和露营者的这种时态特征可为如何分配消防资源提供重要指示。
分析结果
运行协同区位分析工具时,该工具可将 6 个字段添加到生成的输出要素。Local Colocation Quotient 字段包含每个感兴趣输入要素的结果商得分,同时还会报告 p-value。局部协同区位商将进行图格化 (LCLQ Bin)、标注 (LCLQ Type),并根据每个要素的 LCLQ Type 显示在地图上。局部协同区位商大于 1 的感兴趣类别(类别 A)要素更可能在其邻域内具有相邻类别(类别 B)要素。协同区位商小于 1 的要素在其邻域内不太可能具有类别 B。如果要素的协同区位商等于 1,则意味着其邻域内的类别比例可以很好地表示整个研究区域中的类别比例。
| 符号 | LCLQ 立方图格 | LCLQ 类型 | 说明 |
|---|---|---|---|
![]() | 0 | 协同定位 - 显著 | 局部协同区位商大于 1,p 值小于 0.05。 |
![]() | 1 | 协同定位 - 不显著 | 局部协同区位商大于 1,p 值大于 0.05。 |
![]() | 2 | 隔离 - 显著 | 局部协同区位商等于或小于 1,p 值小于 0.05。 |
![]() | 3 | 隔离 - 不显著 | 局部协同区位商等于或小于 1,p 值大于 0.05。 |
![]() | 4 | 未定义 | 要素在其等于 0 的邻域或带宽内没有任何其他要素。 |
对于每个要素的邻域,Neighboring Categories 字段可列出在指定邻域内找到的所有类别。Neighbor Prevalence 字段可捕获相邻类别的任何组合在其他感兴趣要素邻域中出现的次数。例如,如果类别 B 显示为相邻类别,则 B 的 Neighbor Prevalence 等于 B 显示为相邻类别的要素数除以感兴趣输入要素的总数。这有助于探索研究区域中此类别组合(或组合子集)的常见程度。下表显示了类别 A 将 100% 出现在邻域中,而 A 和 C 的组合将 20% 出现在邻域中:
| 邻域类别组合 | 相邻要素分布 |
|---|---|
A | 1 |
A | 1 |
A、B | 0.4 |
A、B | 0.4 |
A、C | 0.2 |
还将创建一个散点图,可以在显示局部协同区位商与计算的 p 值之间关系的内容窗格的输出要素下访问此散点图。
其他资源
- Timothy F. Leslie, & Barry J. Kronenfeld (2011). "The Colocation Quotient: A New Measure of Spatial Association Between Categorical Subsets of Points." Geographical Analysis43 (3), 306-326. doi: 10.1111/j.1538-4632.2011.00821.x
- Fahui Wang, Yujie Hu, Shuai Wang & Xiaojuan Li (2017). "Local Indicator of Colocation Quotient with a Statistical Significance Test: Examining Spatial Association of Crime and Facilities." The Professional Geographer69 (1), 22-31. doi: 10.1080/00330124.2016.1157498




