Mit der Spatial Analyst-Lizenz verfügbar.
Mit der 3D Analyst-Lizenz verfügbar.
Kriging ist ein fortschrittliches geostatistisches Verfahren, bei dem anhand einer Gruppe verteilter Punkte mit Z-Werten eine geschätzte Oberfläche erzeugt wird. Anders als bei den übrigen Methoden im Toolset "Interpolation" wird zur effektiven Verwendung des Werkzeugs Kriging eine interaktive Untersuchung des räumlichen Verhaltens des durch die Z-Werte dargestellten Phänomens durchgeführt, bevor Sie die für die Erstellung der Ausgabe-Oberfläche am besten geeignete Schätzmethode auswählen.
Was ist Kriging?
Die Interpolationswerkzeuge IDW (Inverse Distance Weighted) und Spline werden als deterministische Interpolationsmethoden bezeichnet, da sie Standorten Werte basierend auf den umliegend gemessenen Werten und auf ausgewählten mathematischen Formeln zuweisen, welche die Glattheit der sich ergebenden Oberfläche bestimmen. Die zweite Gruppe der Interpolationsmethoden sind die geostatistischen Methoden (z. B. die Kriging-Methode), die auf statistischen Methoden basieren und mit der Autokorrelation – d. h. mit den statistischen Beziehungen zwischen den gemessenen Punkten – arbeiten. Aus diesem Grund sind geostatistische Methoden nicht nur in der Lage, eine vorhergesagte Oberfläche zu erstellen, sondern auch ein gewisses Maß an Gewissheit oder Genauigkeit der Vorhersagen zu liefern.
Bei der Kriging-Methode wird davon ausgegangen, dass die Entfernung oder Richtung zwischen Referenzpunkten eine räumliche Korrelation widerspiegelt, mit deren Hilfe Variationen auf der Oberfläche erklärt werden können. Das Werkzeug Kriging passt eine mathematische Funktion an eine angegebene Anzahl von Punkten bzw. alle Punkte in einem angegebenen Radius an, um den Ausgabewert für jede Position zu bestimmen. "Kriging" ist ein mehrstufiger Prozess, der Folgendes umfasst: die einleitende statistische Analyse der Daten, die Variogramm-Modellierung, die Erstellung der Oberfläche und (optional) die Untersuchung einer Varianzoberfläche. Das Kriging-Verfahren ist am besten geeignet, wenn Sie wissen, dass die Daten eine räumlich korrelierte Entfernungs- oder Richtungstendenz aufweisen. Es wird häufig in der Bodenkunde und Geologie eingesetzt.
Die Kriging-Formel
Beim Kriging werden wie bei der IDW-Methode die umliegend gemessenen Werte gewichtet, um eine Vorhersage für eine nicht gemessene Position abzuleiten. Die allgemeine Formel für beide Interpolatoren wird als gewichtete Summe der Daten gebildet:

- Dabei gilt:
Z(si) = gemessener Wert an der i-ten Position
λi = eine unbekannte Gewichtung für den an der i-ten Position gemessenen Wert
s0 = die vorhergesagte Position
N = die Anzahl der gemessenen Werte
In IDW hängt die Gewichtung λi ausschließlich von der Entfernung zur vorhergesagten Position ab. Die Gewichtungen bei der Kriging-Methode basieren jedoch nicht nur auf der Entfernung zwischen den gemessenen Punkten und der vorhergesagten Position, sondern auch auf der gesamten räumlichen Verteilung der gemessenen Punkte. Um mit der räumlichen Anordnung in den Gewichtungen arbeiten zu können, muss die räumliche Autokorrelation quantifiziert werden. Beim normalen Kriging hängt die Gewichtung λi von einem an die gemessenen Punkte angepassten Modell, der Entfernung zur vorhergesagten Position und den räumlichen Beziehungen unter den um die vorhergesagte Position herum gemessenen Werten ab. In den folgenden Abschnitten wird erklärt, wie die allgemeine Kriging-Formel zum Erstellen einer Karte der vorhergesagten Oberfläche und einer Karte der Genauigkeit der Vorhersagen verwendet wird.
Erstellen einer vorhergesagten Oberflächenkarte mithilfe der Kriging-Methode
Um mithilfe der Kriging-Interpolationsmethode eine Vorhersage treffen zu können, müssen zwei Tasks ausgeführt werden:
- Feststellen der Abhängigkeitsregeln.
- Treffen der Vorhersagen.
Für die Durchführung dieser beiden Tasks sieht die Kriging-Methode eine zweistufige Vorgehensweise vor:
- Erstellen der Variogramme und Kovarianzfunktionen zur Schätzung der statistischen Abhängigkeitswerte (d. h. der räumlichen Autokorrelation), die vom Autokorrelationsmodell abhängig sind (Modellanpassung).
- Vorhersagen der unbekannten Werte (Treffen einer Vorhersage)
Aufgrund dieser beiden unterschiedlichen Aufgabenstellungen sagt man, dass die Kriging-Methode die Daten zweimal verwendet: einmal zum Schätzen der räumlichen Autokorrelation der Daten und ein zweites Mal zum Treffen der Vorhersagen.
Variographie
Die Anpassung eines Modells bzw. die räumliche Modellierung wird auch als Strukturanalyse oder Variographie bezeichnet. Bei der räumlichen Modellierung der Struktur der gemessenen Punkte beginnen Sie mit einem Diagramm des empirischen Semivariogramms, das mit der folgenden Gleichung für alle Positionspaare berechnet wurde, die durch die Entfernung h getrennt sind:
SemivariogramM(Entfernungh) = 0,5 * Durchschnitt((Werti – Wertj)2)Die Formel umfasst das Berechnen der quadrierten Differenz zwischen den Werten der Positionspaare.
Die folgende Abbildung veranschaulicht die Paarbildung eines Punktes (dem roten Punkt) mit allen anderen gemessenen Positionen. Dieser Prozess wird für jeden gemessenen Punkt fortgesetzt.

Häufig weist jedes Positionspaar eine eindeutige Entfernung auf, und oft gibt es viele Punktepaare. Das schnelle Zeichnen aller Paare ist dann nicht mehr realisierbar. Anstatt jedes Paar zu zeichnen, werden die Paare in so genannte Lag-Bins gruppiert. Berechnen Sie beispielsweise die durchschnittliche Semivarianz für alle Punktepaare, die mehr als 40, jedoch weniger als 50 Meter voneinander entfernt sind. Das empirische Semivariogramm ist ein Diagramm der durchschnittlichen Semivariogrammwerte auf der Y-Achse und der Entfernung auf der X-Achse (siehe Abbildung unten).

Die räumliche Autokorrelation quantifiziert ein Grundprinzip der Geographie: näher beieinander liegende Dinge sind sich ähnlicher als weiter voneinander entfernt liegende Dinge. Aus diesem Grund müssen Positionspaare, die sich näher sind (ganz links auf der X-Achse der Semivariogrammwolke), ähnlichere Werte aufweisen (unten auf der Y-Achse der Semivariogrammwolke). Je weiter Positionspaare auseinander liegen (weiter rechts auf der X-Achse der Semivariogrammwolke), desto unähnlicher werden sie und weisen eine höhere quadrierte Differenz auf (weiter oben auf der Y-Achse der Semivariogrammwolke).
Anpassen eines Modells an das empirische Semivariogramm
Der nächste Schritt besteht im Anpassen eines Modells an die Punkte, die das empirische Semivariogramm bilden. Die Semivariogramm-Modellierung ist ein wichtiger Schritt zwischen der räumlichen Beschreibung und der räumlichen Vorhersage. Der Hauptzweck der Kriging-Methode ist die Vorhersage von Attributwerten an nicht erfassten Positionen. Das empirische Semivariogramm stellt Informationen zur räumlichen Autokorrelation von Datasets bereit. Es bietet jedoch keine Informationen zu sämtlichen möglichen Richtungen und Entfernungen. Aus diesem Grund und zum Sicherstellen, dass Kriging-Vorhersagen positive Kriging-Varianzen aufweisen, muss ein Modell – d. h. eine kontinuierliche Funktion oder Kurve – an das empirische Semivariogramm angepasst werden. Abstrakt ähnelt dies einer Regressionsanalyse, bei der eine durchgezogene Linie oder Kurve an die Datenpunkte angepasst wird.
Wählen Sie zum Anpassen eines Modells an das empirische Semivariogramm eine Funktion, die als Modell dienen soll, z. B. einen sphärischen Typ, der zuerst ansteigt und sich dann über größere Entfernungen über einen bestimmten Bereich hinaus einpendelt (siehe das sphärische Modell unten). Es gibt Abweichungen der Punkte im empirischen Semivariogramm-Modell vom Modell. Einige Punkte liegen über, andere unter der Modellkurve. Doch wenn Sie die Entfernungen der Punkte über der Linie bzw. unter der Linie addieren, sollten die beiden Werte ähnlich sein. Sie können aus vielen Semivariogramm-Modellen auswählen.
Semivariogramm-Modelle
Das Werkzeug Kriging bietet die folgenden Funktionen zum Modellieren des empirischen Semivariogramms:
- Kreisförmig
- Sphärisch
- Exponentiell
- Gauß
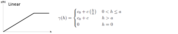
- Linear
Das ausgewählte Modell beeinflusst die Vorhersage unbekannter Werte, insbesondere wenn die Form der Kurve nahe dem Ursprung signifikant differiert. Je steiler die Kurve nahe dem Ursprung ist, desto mehr Einfluss haben die nächsten Nachbarn auf die Vorhersage. Aus diesem Grund ist die Ausgabe-Oberfläche weniger glatt. Jedes Modell wurde konzipiert, um verschiedene Typen von Phänomenen präziser anzupassen.
Die Abbildungen unten zeigen zwei gängige Modelle und beschreiben, wie sich die Funktionen unterscheiden.
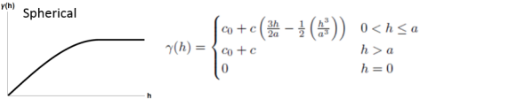
Beispiel für ein sphärisches Modell
Dieses Modell zeigt eine progressive Abnahme der räumlichen Autokorrelation (und gleichzeitig einen Anstieg der Semivarianz) bis zu einer bestimmten Entfernung, über die hinaus die Autokorrelation 0 ist. Das sphärische Modell ist eines der am häufigsten verwendeten Modelle.

Beispiel für ein exponentiales Modell
Dieses Modell wird angewendet, wenn die räumliche Autokorrelation mit steigender Entfernung exponentiell abnimmt. Hier wird die Autokorrelation nur bei einer unendlichen Entfernung vollständig aufgehoben. Das exponentiale Modell ist ebenfalls gängig. Die Wahl des Modells basiert auf der räumlichen Autokorrelation der Daten und auf dem Vorwissen zum jeweils modellierten Phänomen.

Weitere mathematische Modelle sind nachstehend abgebildet.
Die Parameter "Major range", "Partial sill" und "Nugget" eines Semivariogramms
Wie bereits erwähnt, stellt das Semivariogramm die räumliche Autokorrelation der gemessenen Referenzpunkte dar. Aufgrund eines Grundprinzips der Geographie (Dinge, die näher beieinander liegen, sind sich ähnlicher) haben gemessene Punkte, die dicht beisammen sind, im Allgemeinen eine kleinere quadrierte Differenz als die Punkte, die weiter entfernt sind. Nachdem alle Positionspaare nach der Ablage in Lag-Bins gezeichnet wurden, wird ein Modell durch diese angepasst. Die Begriffe "Major range", "Partial sill" und "Nugget" werden häufig zum Beschreiben dieser Modelle verwendet.
"Major range" und "Partial sill"
Wenn Sie das Modell eines Semivariogramms betrachten, werden Sie bemerken, dass das Modell ab einer bestimmten Entfernung abflacht. Die Entfernung, an der das Modell zuerst abflacht, wird als "Major range" bezeichnet. Referenzpositionen, die durch Entfernungen getrennt sind, die innerhalb des Bereiches liegen, sind räumlich korreliert, Positionen außerhalb des Bereiches dagegen nicht.

Der Wert, bei dem das Semivariogramm den Bereich erreicht (den Wert auf der Y-Achse), wird als "Partial sill" bezeichnet. Ein "Partial Sill" ergibt sich aus "Sill" minus "Nugget". Das Nugget wird im folgenden Abschnitt beschrieben.
Nugget
Theoretisch beträgt bei einer Trennungsentfernung von Null (z. B. Lag = 0) der Semivariogrammwert 0. Bei einer unendlich kleinen Trennungsentfernung weist das Semivariogramm jedoch oft einen Nugget-Effekt auf, d. h. einen Wert größer als 0. Wenn das Semivariogramm-Modell die Y-Achse bei 2 schneidet, beträgt der Nugget-Wert 2.
Der Nugget-Effekt beruht auf Messfehlern und räumlichen Schwankungen bei Entfernungen, die kleiner als das Abtastintervall sind (oder auf beidem). Der Messfehler tritt aufgrund eines in Messgeräten inhärenten Fehlers auf. Natürliche Phänomene können bei verschiedenen Maßstäben räumlich variieren. Variationen bei Mikromaßstäben, die kleiner als die Abtastschrittweiten sind, erscheinen als Teil des Nugget-Effekts. Vor der Datenerfassung sollten Sie sich mit den Maßstäben räumlicher Variation, an denen Sie interessiert sind, vertraut machen.
Treffen einer Vorhersage
Nachdem Sie die Abhängigkeiten bzw. Autokorrelation in Ihren Daten offen gelegt (siehe Abschnitt Variographie oben) und die erste Nutzung der Daten – zum Berechnen von Entfernungen und Modellieren der räumlichen Autokorrelation – abgeschlossen haben, können Sie mithilfe des angepassten Modells eine Vorhersage treffen. Anschließend kann auf das empirische Semivariogramm verzichtet werden.
Sie können nun die Daten erneut für Vorhersagen verwenden. Wie bei der IDW-Interpolation werden bei der Kriging-Interpolation Gewichtungen anhand benachbarter gemessener Werte zugewiesen, um nicht gemessene Positionen vorherzusagen. Wie bei der IDW-Interpolation haben gemessene Werte in unmittelbarer Nähe der nicht gemessenen Positionen den meisten Einfluss. Beim Kriging-Verfahren sind die Gewichtungen für die umgebenden gemessenen Punkte jedoch differenzierter als beim IDW-Verfahren. IDW arbeitet mit einem einfachen auf der Entfernung basierenden Algorithmus. Die Kriging-Gewichtungen stammen dagegen aus einem Semivariogramm, das durch Untersuchen der räumlichen Merkmale der Daten entwickelt wurde. Um eine kontinuierliche Oberfläche des Phänomens zu erstellen, werden basierend auf dem Semivariogramm und der räumlichen Anordnung in der Nähe gemessener Werte Vorhersagen zu allen Positionen oder Zellenmittelpunkten im Untersuchungsgebiet getroffen.
Kriging-Methoden
Es gibt zwei Kriging Methoden: "Ordinary" und "Universal".
Kriging mit der Option "Ordinary" ist die allgemeinste und am häufigsten verwendete Kriging-Methode und die Programmvoreinstellung. Sie geht von der Annahme aus, dass der konstante Mittelwert unbekannt ist. Diese Annahme ist meist richtig, es sei denn, sie wird durch eine wissenschaftliche Begründung widerlegt.
Beim Kriging mit der Option "Universal" wird von einem vorrangigen Trend in den Daten ausgegangen (z. B. eine vorherrschende Windrichtung) und es kann durch eine deterministische Funktion, z. B. ein Polynom, modelliert werden. Dieses Polynom wird von den Ausgangsmesspunkten subtrahiert, die Autokorrelation wird aus den Zufallsfehlern modelliert. Ist das Modell an die Zufallsfehler angepasst, wird vor dem Treffen einer Vorhersage das Polynom wieder zu den Vorhersagen addiert, um aussagekräftige Ergebnisse zu erzielen. Kriging mit der Option "Universal" sollte nur verwendet werden, wenn Sie wissen, dass in den Daten ein Trend vorhanden ist und Sie eine wissenschaftliche Erklärung dafür geben können.
Semivariogramme
Kriging ist ein komplexes Verfahren, für das ein größeres Wissen um räumliche Statistik erforderlich ist als im Rahmen dieses Themas vermittelt werden kann. Bevor Sie die Funktion "Kriging" verwenden, müssen Sie mit den Grundlagen dieses Verfahrens gut vertraut sein und sicherstellen, dass Ihre Daten für die Modellierung mit dieser Methode geeignet sind. Wenn Sie mit diesem Verfahren nicht besonders vertraut sind, empfehlen wir ausdrücklich, sich mit den Referenzen am Ende dieses Themas zu beschäftigen.
Kriging basiert auf der regionalisierten Variablentheorie, die davon ausgeht, dass die räumliche Variation in dem durch die Z-Werte repräsentierten Phänomen auf der gesamten Oberfläche statistisch homogen ist (was beispielsweise bedeutet, dass dasselbe Variationsmuster an allen Positionen der Oberfläche beobachtet werden kann). Diese Hypothese der räumlichen Homogenität ist von fundamentaler Bedeutung für die regionalisierte Variablentheorie.
Mathematisches Modell
Nachstehend finden Sie die allgemeinen Formen und Gleichungen des zum Beschreiben der Semivarianz verwendeten mathematischen Modells.





Referenzen
Burrough, P. A. Principles of Geographical Information Systems for Land Resources Assessment. New York: Oxford University Press. 1986.
Heine, G. W. "A Controlled Study of Some Two-Dimensional Interpolation Methods." COGS Computer Contributions 3 (Nr. 2): 60–72. 1986.
McBratney, A. B. und R. Webster. "Choosing Functions for Semi-variograms of Soil Properties and Fitting Them to Sampling Estimates." Journal of Soil Science 37: 617–639. 1986.
Oliver, M. A. "Kriging: A Method of Interpolation for Geographical Information Systems." International Journal of Geographic Information Systems 4: 313–332. 1990.
Press, W. H., S. A. Teukolsky, W. T. Vetterling und B. P. Flannery. Numerical Recipes in C: The Art of Scientific Computing. New York: Cambridge University Press. 1988.
Royle, A. G., F. L. Clausen und P. Frederiksen. "Practical Universal Kriging and Automatic Contouring." Geoprocessing 1: 377–394. 1981.