| Label | Explanation | Data Type |
Input features | The 3D point features that contain the field that will be interpolated. The points must be in a projected coordinate system. | Feature Layer |
Value field | The field from the input features containing the measured values that will be interpolated. | Field |
Output netCDF file
| The output netCDF file that will contain the predicted values in a 3D grid. This file can be used as the data source of a voxel layer. | File |
Power (Optional) | The power value that will be used to weight the values of neighboring features when calculating predictions. A higher power results in higher influence to closer points. The value must be between 1 and 100. The default is 2. | Double |
Elevation inflation factor (Optional) | A constant value that is multiplied to the z-coordinates of the input features prior to finding neighbors and calculating distances. For most 3D data, the values of the points change faster vertically than horizontally, and this factor stretches the locations of the points so that one unit of distance vertically is equivalent to one unit of distance horizontally. The locations of the points will be moved back to their original locations before returning the result of the interpolation. If no value is provided, one will be estimated while the tool runs and will be displayed as a geoprocessing message. The estimated value is determined by minimizing the root mean square cross validation error. The value must be between 1 and 1,000. | Double |
Output cross validation feature class (Optional) | A feature class of the cross validation statistics for each input point. The feature class will contain two scatter plots. | Feature Class |
X spacing
(Optional) | The spacing between each gridded point in the x-dimension. The default value creates 40 points along the output x-extent. | Linear Unit |
Y spacing
(Optional) | The spacing between each gridded point in the y-dimension. The default value creates 40 points along the output y-extent. | Linear Unit |
Elevation spacing
(Optional) | The spacing between each gridded point in the elevation (z) dimension. The default value creates 40 points along the output z-extent. | Linear Unit |
Input study area polygons
(Optional) | The polygon features that represent the study area. Only points that are within the study area are saved in the output netCDF file. When visualized as a voxel layer, only voxels within the study area will display in the scene. Points are determined to be inside or outside the study area using only their x- and y-coordinates. | Feature Layer |
Minimum elevation clipping raster (Optional) | The elevation raster that will be used to clip the bottom of the voxel layer. Only voxels above this elevation raster will be assigned predictions. For example, if you use a ground elevation raster, the voxel layer will only display above the ground. It can also be used for bedrock surfaces or the bottom of a shale deposit. The raster must be in a projected coordinate system, and the elevation values must be in the same unit as the vertical unit of the raster. | Raster Layer |
Maximum elevation clipping raster (Optional) | The elevation raster that will be used to clip the top of the voxel layer. Only voxels below this elevation raster will be assigned predictions. For example, if you use a ground elevation raster, the voxel layer will only display below the ground. It can also be used to clip voxels to the top of a restricted airspace. The raster must be in a projected coordinate system, and the elevation values must be in the same unit as the vertical unit of the raster. | Raster Layer |
Search neighborhood (Optional) | Specifies the number and orientation of the neighbors that will be used to predict values at new locations. Standard3D
| Geostatistical Search Neighborhood |
Derived Output
| Label | Explanation | Data Type |
| Count | The total number of samples used. | Long |
| Mean error | The averaged difference between the measured and the predicted values. | Double |
| Root mean square | Indicates how closely the model predicts the measured values. | Double |
| Output voxel layer | A voxel layer of the predicted values. | Voxel Layer |

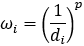
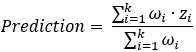
, where k is the number of neighbors, ωi is the weight of neighbor i, and zi is the measured value of neighbor i.
, where di is the 3D Euclidean distance to the prediction location for neighbor i, and p is the power value.